| CMS-HIN-23-011 ; CERN-EP-2024-057 | ||
| Overview of high-density QCD studies with the CMS experiment at the LHC | ||
| CMS Collaboration | ||
| 17 May 2024 | ||
| Physics Reports 1115 (2025) 219 | ||
| Abstract: We review key measurements performed by CMS in the context of its heavy ion physics program, using event samples collected in 2010-2018 with several collision systems and energies. These studies provide detailed macroscopic and microscopic probes of the quark-gluon plasma (QGP) created at the LHC energies, a medium characterized by the highest temperature and smallest baryon-chemical potential ever reached in the laboratory. Numerous observables related to high-density quantum chromodynamics (QCD) were studied, leading to some of the most impactful and qualitatively novel results in the 40-year history of the field. Using a dedicated high-multiplicity trigger in the first pp run, CMS discovered that small collision systems can exhibit signs of collectivity, a generic phenomenon with significant implications and presently understood to affect essentially all soft physics processes. This observation opened new paths to understand how fluidity and plasma properties emerge in QCD matter as a function of system size. Measurements of jet quenching have reached a completely new level of detail by directly assessing, for the first time, the medium modification of parton showers, as opposed to simply observing leading hadrons or di-hadrons. The first fully reconstructed beauty hadron and heavy-flavor jet nuclear modifications were also measured. The large size of the event samples, the precision of the measurements, and the extension of the probed kinematical phase space, allowed many other hard probes of the QGP medium to be explored in detail, leading to multiple groundbreaking findings. In particular, the seminal measurements of bottomonium suppression patterns answer fundamental questions that have been actively pursued, both theoretically and experimentally, by the community since the mid-1980s. We conclude by outlining the opportunities offered by the continuation of this physics program at the LHC. | ||
| Links: e-print arXiv:2405.10785 [hep-ex] (PDF) ; CDS record ; inSPIRE record ; CADI line (restricted) ; | ||
| Figures | |
|
png pdf |
Figure 1:
Integrated luminosity delivered to the CMS experiment with PbPb and pPb collisions at $ \sqrt{\smash[b]{s_{_{\mathrm{NN}}}}}= $ 5.02 [48] and 8.16 TeV [49], respectively, as a function of time during the LHC Run 2 period. The years of data collection shown correspond to 2015 (purple), 2016 (orange), and 2018 (navy blue). This plot shows the proton-equivalent luminosity, i.e.,, the values for the PbPb data have been scaled by $ A^2=208^2 $ and the values for the pPb data by $ A= $ 208. |
|
png pdf |
Figure 2:
A simplified sketch of the acceptance in $ \eta $ and $ \phi $ for the tracking, calorimetry (ECAL, HCAL, CASTOR, and ZDC) and muon identification (``Muons'') components of the CMS detector. In the lower section, the central elements (that is, excluding ZDC and CASTOR) are arranged based on their proximity to the beam, with the tracker being the closest element of the central detectors, and the muon detectors positioned farthest away. The size of a jet cone with $ R = $ 0.5 (to be discussed in Section 2.10) is also depicted for illustration. Figure adapted from Ref. [4]. |
|
png pdf |
Figure 3:
An almost head-on collision event selected from the 2018 PbPb data set. The yellow lines show the huge number of charged-particle tracks and the two cones show nearly back-to-back candidate jets originating from bottom quarks. Figure adapted from Ref. [81]. |
|
png pdf |
Figure 4:
Left: Efficiency for the 50 GeV single-jet trigger as a function of the corrected leading jet transverse momentum in PbPb collisions at 2.76 TeV. Right: Efficiency for the 15 GeV photon trigger as a function of the corrected photon transverse energy in PbPb collisions at 2.76 TeV. Figure adapted from Ref. [108,109] |
|
png pdf |
Figure 4-a:
Left: Efficiency for the 50 GeV single-jet trigger as a function of the corrected leading jet transverse momentum in PbPb collisions at 2.76 TeV. Right: Efficiency for the 15 GeV photon trigger as a function of the corrected photon transverse energy in PbPb collisions at 2.76 TeV. Figure adapted from Ref. [108,109] |
|
png pdf |
Figure 4-b:
Left: Efficiency for the 50 GeV single-jet trigger as a function of the corrected leading jet transverse momentum in PbPb collisions at 2.76 TeV. Right: Efficiency for the 15 GeV photon trigger as a function of the corrected photon transverse energy in PbPb collisions at 2.76 TeV. Figure adapted from Ref. [108,109] |
|
png pdf |
Figure 5:
The L1 and HLT trigger efficiencies for the high-multiplicity triggers as functions of $ N_\text{trk}^\text{offline} $ for 5.02 TeV pPb collision data taking in the year of 2013. Figure adapted from Ref. [110] |
|
png pdf |
Figure 5-a:
The L1 and HLT trigger efficiencies for the high-multiplicity triggers as functions of $ N_\text{trk}^\text{offline} $ for 5.02 TeV pPb collision data taking in the year of 2013. Figure adapted from Ref. [110] |
|
png pdf |
Figure 5-b:
The L1 and HLT trigger efficiencies for the high-multiplicity triggers as functions of $ N_\text{trk}^\text{offline} $ for 5.02 TeV pPb collision data taking in the year of 2013. Figure adapted from Ref. [110] |
|
png pdf |
Figure 6:
Charged hadron multiplicity density at mid-rapidity ($ \mathrm{d} N_{\text{ch}} / \mathrm{d} \eta |_{\eta=0} $) as a function of centrality class in PbPb collisions at $ \sqrt{\smash[b]{s_{_{\mathrm{NN}}}}}= $ 2.76 TeV from the CMS (solid circles) and ALICE [121] (open squares) experiments. The inner green band shows the measurement uncertainties affecting the scale of the measured distribution, while the outer grey band represents the full systematic uncertainty, i.e.,, affecting both the scale and the slope. Figure adapted from Ref. [111] |
|
png pdf |
Figure 7:
Muon reconstruction and identification efficiencies as functions of the simulated muon pseudorapidity and $ p_{\mathrm{T}} $ in pPb (left) and PbPb (right) collisions. The lines delimit the acceptance regions used for physics analyses: the red curves for measurements not relying on a dedicated muon trigger while the green ones are for analyses using the muon trigger information, i.e.,, for most of the quarkonia results presented in this paper. Figure adapted from Ref. [51] |
|
png pdf |
Figure 8:
Isolated photon detection efficiency in $ |\eta| < $ 1.44 as a function of $ E_{\mathrm{T}}^{\gamma} $ obtained from MC simulations. Left: PbPb collisions in the 0-10% centrality range. Right: pp collisions. Both the PbPb and pp collisions are at 5.02 TeV. The different colors represent efficiencies reached for successive application of the listed selection criteria: ratio of HCAL over ECAL energies $ H/E < $ 0.1, EM shower shape variable $ \sigma_{\eta\eta} < $ 0.01, isolation variable $ I < $ 1 GeV, and electron rejection criterion. Figure adapted from Ref. [135] |
|
png pdf |
Figure 9:
Left: Distribution of PF pseudotowers in $ \eta-\phi $ in a single central (top 3%) event in PbPb collisions before subtraction, with the $ z $ axis showing the corresponding tower energy per unit tower area. Right: The same event after full subtraction with flow modulation is applied. Figure adapted from Ref. [142]. |
|
png pdf |
Figure 10:
Distribution of $ \rho $, the UE energy per unit area, as a function of centrality, found using the central-$ \eta $ strip of PF pseudotowers. Figure adapted from Ref. [142]. |
|
png pdf |
Figure 11:
Performance of jet reconstruction in the HI environment for jet distance parameters of $ R= $ 0.2 (left) and $ R= $ 1.0 (right). The jet energy scale is shown in the upper panels, while the jet energy resolution is plotted in the lower panels. Figure adapted from Ref. [143] |
|
png pdf |
Figure 12:
Multiplicity distribution of the b-tagged jets in a top quark pair enriched final state using PbPb collisions. The distribution of the main background is taken from the data. Backgrounds and $ \mathrm{t} \overline{\mathrm{t}} $ signal are shown with the filled histograms and data are shown with the markers. The vertical bars on the markers represent the statistical uncertainties in data. The hatched regions show the uncertainties in the sum of $ \mathrm{t} \overline{\mathrm{t}} $ signal and backgrounds. The lower panel displays the ratio of the data to the predictions with bands representing the uncertainties in the predictions. Figure adapted from Ref. [149] |
|
png pdf |
Figure 13:
The differential cross sections (left) and forward-backward ratio for decay muon yields (right) for the process $ \mathrm{W^+}\to\mu^{+}\nu_{\!\mu} $ versus muon pseudorapidity in the center-of-mass frame ($ \eta_{\mathrm{CM}} $). Black horizontal lines above and below the data points represent the quadrature sum of statistical and systematic uncertainties, whereas the vertical bars show the statistical uncertainties only. The NLO calculations with CT14 PDF, and CT14+nCTEQ15 and CT14+EPPS16 nPDFs are displayed, including their 68% confidence interval uncertainty bands. The ratios of data, CT14+nCTEQ15 and CT14+EPPS16 with respect to CT14 are shown in the lower left panel. A global integrated luminosity uncertainty of 3.5% in the cross section is not shown. (Figure compiled from Ref. [154].) |
|
png pdf |
Figure 13-a:
The differential cross sections (left) and forward-backward ratio for decay muon yields (right) for the process $ \mathrm{W^+}\to\mu^{+}\nu_{\!\mu} $ versus muon pseudorapidity in the center-of-mass frame ($ \eta_{\mathrm{CM}} $). Black horizontal lines above and below the data points represent the quadrature sum of statistical and systematic uncertainties, whereas the vertical bars show the statistical uncertainties only. The NLO calculations with CT14 PDF, and CT14+nCTEQ15 and CT14+EPPS16 nPDFs are displayed, including their 68% confidence interval uncertainty bands. The ratios of data, CT14+nCTEQ15 and CT14+EPPS16 with respect to CT14 are shown in the lower left panel. A global integrated luminosity uncertainty of 3.5% in the cross section is not shown. (Figure compiled from Ref. [154].) |
|
png pdf |
Figure 13-b:
The differential cross sections (left) and forward-backward ratio for decay muon yields (right) for the process $ \mathrm{W^+}\to\mu^{+}\nu_{\!\mu} $ versus muon pseudorapidity in the center-of-mass frame ($ \eta_{\mathrm{CM}} $). Black horizontal lines above and below the data points represent the quadrature sum of statistical and systematic uncertainties, whereas the vertical bars show the statistical uncertainties only. The NLO calculations with CT14 PDF, and CT14+nCTEQ15 and CT14+EPPS16 nPDFs are displayed, including their 68% confidence interval uncertainty bands. The ratios of data, CT14+nCTEQ15 and CT14+EPPS16 with respect to CT14 are shown in the lower left panel. A global integrated luminosity uncertainty of 3.5% in the cross section is not shown. (Figure compiled from Ref. [154].) |
|
png pdf |
Figure 14:
Differential cross section for the Drell-Yan process measured in the muon channel as a function of the dimuon invariant mass (upper) and the forward-backward ratios for 15 $ < m_{\mu^{+}\mu^{-}} < $ 60 GeV (lower left) and 60 $ < m_{\mu^{+}\mu^{-}} < $ 120 GeV (lower right). Error bars represent the total measurement uncertainty. Theory predictions from the POWHEG NLO generator using the CT14 PDF (blue), or the CT14+EPPS16 (red) or CT14+nCTEQ15WZ (green) nPDF sets are shown. The standard deviation of the nPDF uncertainties are shown by the boxes. Ratios of theory predictions over data are shown in the lower panels. Figure adapted from Ref. [166] |
|
png pdf |
Figure 14-a:
Differential cross section for the Drell-Yan process measured in the muon channel as a function of the dimuon invariant mass (upper) and the forward-backward ratios for 15 $ < m_{\mu^{+}\mu^{-}} < $ 60 GeV (lower left) and 60 $ < m_{\mu^{+}\mu^{-}} < $ 120 GeV (lower right). Error bars represent the total measurement uncertainty. Theory predictions from the POWHEG NLO generator using the CT14 PDF (blue), or the CT14+EPPS16 (red) or CT14+nCTEQ15WZ (green) nPDF sets are shown. The standard deviation of the nPDF uncertainties are shown by the boxes. Ratios of theory predictions over data are shown in the lower panels. Figure adapted from Ref. [166] |
|
png pdf |
Figure 14-b:
Differential cross section for the Drell-Yan process measured in the muon channel as a function of the dimuon invariant mass (upper) and the forward-backward ratios for 15 $ < m_{\mu^{+}\mu^{-}} < $ 60 GeV (lower left) and 60 $ < m_{\mu^{+}\mu^{-}} < $ 120 GeV (lower right). Error bars represent the total measurement uncertainty. Theory predictions from the POWHEG NLO generator using the CT14 PDF (blue), or the CT14+EPPS16 (red) or CT14+nCTEQ15WZ (green) nPDF sets are shown. The standard deviation of the nPDF uncertainties are shown by the boxes. Ratios of theory predictions over data are shown in the lower panels. Figure adapted from Ref. [166] |
|
png pdf |
Figure 14-c:
Differential cross section for the Drell-Yan process measured in the muon channel as a function of the dimuon invariant mass (upper) and the forward-backward ratios for 15 $ < m_{\mu^{+}\mu^{-}} < $ 60 GeV (lower left) and 60 $ < m_{\mu^{+}\mu^{-}} < $ 120 GeV (lower right). Error bars represent the total measurement uncertainty. Theory predictions from the POWHEG NLO generator using the CT14 PDF (blue), or the CT14+EPPS16 (red) or CT14+nCTEQ15WZ (green) nPDF sets are shown. The standard deviation of the nPDF uncertainties are shown by the boxes. Ratios of theory predictions over data are shown in the lower panels. Figure adapted from Ref. [166] |
|
png pdf |
Figure 15:
Top quark pair production cross section in pp and pPb collisions as a function of the center-of-mass energy per nucleon pair; the CMS results at different center-of-mass energies in the dilepton and semileptonic channels. The measurements are compared to the NNLO+NNLL QCD theory predictions [172,173,174]. (Figure adapted from Ref. [171].) |
|
png pdf |
Figure 16:
The ratio of the dijet $ \eta $ spectra for pPb and pp data in a selection of $ p_\mathrm{T}^{\text{ave}} $ ranges. Theoretical predictions are from the NLO pQCD calculations of DSSZ [175] and EPS09 [176] are shown. Red boxes and bars indicate the systematic and statistical uncertainties in data, respectively. Green and blue boxes represent nPDF uncertainties. Figure adapted from Ref. [177] |
|
png pdf |
Figure 17:
The ratio of theoretical predictions to CMS data for the ratio of the pPb to pp dijet $ \eta $ spectra for 115 $ < p_\mathrm{T}^{\text{ave}} < $ 150 GeV. Theoretical predictions are from the NLO pQCD calculations of DSSZ [175], EPS09 [176], nCTEQ15 [158], and EPPS16 [157] nPDFs, using CT14 [156] as the baseline PDFs. Red boxes indicate the total uncertainties in data and the error bars on the points represent nPDF uncertainties. Figure adapted from Ref. [177] |
|
png pdf |
Figure 18:
Schematic representation of the phase space regions, in the $ x $ and $ Q^2 $ plane, covered by the CMS measurements of dijets (green area) and electroweak bosons (blue area). They cover a much higher $ Q^2 $ region than previous measurements from fixed-target experiments also included in the EPPS21 analysis [161] (orange area). |
|
png pdf |
Figure 19:
The photon $ R_{\mathrm{AA}} $ versus photon $ E_{\mathrm{T}}^{\gamma} $ in four centrality ranges for 5.02 TeV PbPb collisions. The error bars indicate the statistical uncertainties and the systematic uncertainty, excluding $ T_{\mathrm{AA}} $ uncertainties, are shown by the colored boxes. The $ T_{\mathrm{AA}} $ uncertainties are common to all points in a given centrality range, and are indicated by a gray box on the left side of each panel. Similarly, a 2.3% pp collision integrated luminosity uncertainty is shown with a brown box. Figure adapted from Ref. [135] |
|
png pdf |
Figure 20:
Normalized yields (per $ \mathrm{N}\mathrm{N} $ integrated luminosity and per unit rapidity) of $ \mathrm{W}\to\mu\nu $ production in 2.76 TeV PbPb collisions, shown for inclusive W (red), $ \mathrm{W^+} $ (violet), and $ \mathrm{W^-} $ (green). The open symbols at $ N_\text{part}= $ 120 represent values for MB collisions. At $ N_\text{part} = $ 2 the corresponding cross sections, divided by the muon pseudorapidity acceptance $ \Delta\eta $, for pp collisions at the same energy are displayed. For clarity the $ \mathrm{W^+} $ and $ \mathrm{W^-} $ points are slightly shifted horizontally. Error bars represent statistical uncertainties and horizontal lines show systematic uncertainties. Figure adapted from Ref. [183] |
|
png pdf |
Figure 21:
The $ T_{\mathrm{AA}} $-normalized yields of Z bosons versus centrality for 5.02 TeV PbPb collisions. The error bars, open boxes, and solid gray boxes represent the statistical, systematic, and $ T_{\mathrm{AA}} $ uncertainties, respectively. The value of the 0-90% data (pink) and the scaled HG-PYTHIA model (green) are displayed. The width of the bands represents the contribution from the total 0-90% data point uncertainty. Figure adapted from Ref. [185] |
|
png pdf |
Figure 21-a:
The $ T_{\mathrm{AA}} $-normalized yields of Z bosons versus centrality for 5.02 TeV PbPb collisions. The error bars, open boxes, and solid gray boxes represent the statistical, systematic, and $ T_{\mathrm{AA}} $ uncertainties, respectively. The value of the 0-90% data (pink) and the scaled HG-PYTHIA model (green) are displayed. The width of the bands represents the contribution from the total 0-90% data point uncertainty. Figure adapted from Ref. [185] |
|
png pdf |
Figure 21-b:
The $ T_{\mathrm{AA}} $-normalized yields of Z bosons versus centrality for 5.02 TeV PbPb collisions. The error bars, open boxes, and solid gray boxes represent the statistical, systematic, and $ T_{\mathrm{AA}} $ uncertainties, respectively. The value of the 0-90% data (pink) and the scaled HG-PYTHIA model (green) are displayed. The width of the bands represents the contribution from the total 0-90% data point uncertainty. Figure adapted from Ref. [185] |
|
png pdf |
Figure 22:
A comparison of results from the ALICE [187], ATLAS [188], and CMS [185] Collaborations for Z and W production in PbPb collisions. The data have been normalized so that the most central data point equals unity to enable comparison of the shape of the distribution. The left (right) panel shows data for $ \mathrm{W^-} $ ($ \mathrm{W^+} $) and Z bosons. For the ATLAS W data, the error bars represent the combined statistical and systematic uncertainty, while the boxes show $ T_{\mathrm{AA}} $-related uncertainties. For all other data sets, the error bars display statistical uncertainties and the boxes show combined systematic and $ T_{\mathrm{AA}} $ uncertainties. |
|
png pdf |
Figure 22-a:
A comparison of results from the ALICE [187], ATLAS [188], and CMS [185] Collaborations for Z and W production in PbPb collisions. The data have been normalized so that the most central data point equals unity to enable comparison of the shape of the distribution. The left (right) panel shows data for $ \mathrm{W^-} $ ($ \mathrm{W^+} $) and Z bosons. For the ATLAS W data, the error bars represent the combined statistical and systematic uncertainty, while the boxes show $ T_{\mathrm{AA}} $-related uncertainties. For all other data sets, the error bars display statistical uncertainties and the boxes show combined systematic and $ T_{\mathrm{AA}} $ uncertainties. |
|
png pdf |
Figure 22-b:
A comparison of results from the ALICE [187], ATLAS [188], and CMS [185] Collaborations for Z and W production in PbPb collisions. The data have been normalized so that the most central data point equals unity to enable comparison of the shape of the distribution. The left (right) panel shows data for $ \mathrm{W^-} $ ($ \mathrm{W^+} $) and Z bosons. For the ATLAS W data, the error bars represent the combined statistical and systematic uncertainty, while the boxes show $ T_{\mathrm{AA}} $-related uncertainties. For all other data sets, the error bars display statistical uncertainties and the boxes show combined systematic and $ T_{\mathrm{AA}} $ uncertainties. |
|
png pdf |
Figure 23:
Forward jet differential cross section, where forward jet is in the proton-going direction, as a function of jet energy in pPb collisions at 5.02 TeV. The kinematics of the collision allows us to probe the small-$ x $ wave function in the Pb nucleus with a high-$ x $ parton from the proton. This measurement is compared with different Monte Carlo event generators, EPOS-LHC [123], HIJING [124], and QGSJETII-04 [199] (left) and predictions of the KATIE [200] and AAMQS [201] saturation models (right). Figure adapted from Ref. [202] |
|
png pdf |
Figure 23-a:
Forward jet differential cross section, where forward jet is in the proton-going direction, as a function of jet energy in pPb collisions at 5.02 TeV. The kinematics of the collision allows us to probe the small-$ x $ wave function in the Pb nucleus with a high-$ x $ parton from the proton. This measurement is compared with different Monte Carlo event generators, EPOS-LHC [123], HIJING [124], and QGSJETII-04 [199] (left) and predictions of the KATIE [200] and AAMQS [201] saturation models (right). Figure adapted from Ref. [202] |
|
png pdf |
Figure 23-b:
Forward jet differential cross section, where forward jet is in the proton-going direction, as a function of jet energy in pPb collisions at 5.02 TeV. The kinematics of the collision allows us to probe the small-$ x $ wave function in the Pb nucleus with a high-$ x $ parton from the proton. This measurement is compared with different Monte Carlo event generators, EPOS-LHC [123], HIJING [124], and QGSJETII-04 [199] (left) and predictions of the KATIE [200] and AAMQS [201] saturation models (right). Figure adapted from Ref. [202] |
|
png pdf |
Figure 24:
(Left) Forward jet differential cross section, where the forward jet is in the Pb-going direction, as a function of the jet energy in pPb collisions at 5.02 TeV. The kinematic properties of the collision probe the small-$ x $ wave function of the proton with a high-$ x $ parton from the Pb nucleus. The data are compared with different Monte Carlo event generators: EPOS-LHC [123], HIJING [124], and QGSJETII-04 [199]. (Right) The ratio of the inclusive jet cross sections; the numerator (denominator) of the ratio corresponds to the case where the jet is measured in the proton-going (Pb-going) direction. Figure adapted from Ref. [202] |
|
png pdf |
Figure 24-a:
(Left) Forward jet differential cross section, where the forward jet is in the Pb-going direction, as a function of the jet energy in pPb collisions at 5.02 TeV. The kinematic properties of the collision probe the small-$ x $ wave function of the proton with a high-$ x $ parton from the Pb nucleus. The data are compared with different Monte Carlo event generators: EPOS-LHC [123], HIJING [124], and QGSJETII-04 [199]. (Right) The ratio of the inclusive jet cross sections; the numerator (denominator) of the ratio corresponds to the case where the jet is measured in the proton-going (Pb-going) direction. Figure adapted from Ref. [202] |
|
png pdf |
Figure 24-b:
(Left) Forward jet differential cross section, where the forward jet is in the Pb-going direction, as a function of the jet energy in pPb collisions at 5.02 TeV. The kinematic properties of the collision probe the small-$ x $ wave function of the proton with a high-$ x $ parton from the Pb nucleus. The data are compared with different Monte Carlo event generators: EPOS-LHC [123], HIJING [124], and QGSJETII-04 [199]. (Right) The ratio of the inclusive jet cross sections; the numerator (denominator) of the ratio corresponds to the case where the jet is measured in the proton-going (Pb-going) direction. Figure adapted from Ref. [202] |
|
png pdf |
Figure 25:
Forward jet differential cross section, where the forward jet ($ -6.6 < \eta < - $5.2) is in the $ \mathrm{p} $-going direction, as a function of the jet energy in pPb collisions at 5.02 TeV. The kinematics of the collision allows us to probe the small-$ x $ wave function of the Pb nucleus with a high-$ x $ parton from the proton. The data points are from Ref. [202], with the error bars denoting the total uncertainty in the measurement. Figure adapted from Ref. [203] |
|
png pdf |
Figure 26:
The cross section in the $ {\gamma\mathrm{p}} $ center-of-mass frame $ \sigma(\gamma^{*}\mathrm{p} \to \phi (770) ^0 \mathrm{p}) $ for exclusive $ \phi (770) ^0 $ VM photoproduction as a function of $ W_{{\gamma\mathrm{p}}} $. CMS measurements during Run 2 extend up to $ W_{{\gamma\mathrm{p}}} = $ 1 TeV. The CMS data points are from Ref. [209]. The H1 and ZEUS data in electron-proton collisions are shown in the same panel. The data points are compared to predictions from PYTHIA8 [117] and STARLIGHT [115]. Figure adapted from Ref. [209] |
|
png pdf |
Figure 27:
Photoproduction cross section in the photon-proton center-of-mass frame $ \sigma(\gamma^* \mathrm{p} \to \Upsilon{\textrm{(1S)}} \mathrm{p}) $ for exclusive $ \Upsilon{\textrm{(1S)}} $ VM photoproduction as a function of $ W_{{\gamma\mathrm{p}}} $. The data are compared with different calculations with different implementations of nonlinear evolution in the parton distributions. Figure adapted from Ref. [208] |
|
png pdf |
Figure 28:
Differential $ \mathrm{J}/\psi $ meson photoproduction cross section as a function of rapidity in PbPb collisions at $ \sqrt{\smash[b]{s_{_{\mathrm{NN}}}}} = $ 2.76 TeV measured by ALICE [211,212] and CMS [213]. Data are compared with the leading twist [214] and the impulse approximation [214,215] predictions. The leading twist approximation is a perturbative QCD calculation that takes into account nuclear shadowing effects from multinucleon interference. Figure adapted from Ref. [213] |
|
png pdf |
Figure 29:
The left panel shows the correlation between energy distributions of the Minus and Plus ZDC detectors (one entry per event), while the right panel shows a multi-Gaussian function fit to the Minus ZDC energy distribution. The different ``peaks'' in the ZDC energy distribution can be assigned to different forward neutron multiplicities, the first peak is detector noise, which corresponds to no detected neutrons, the second peak can be associated with one neutron, and so on. Figure adapted from Ref. [218] |
|
png pdf |
Figure 29-a:
The left panel shows the correlation between energy distributions of the Minus and Plus ZDC detectors (one entry per event), while the right panel shows a multi-Gaussian function fit to the Minus ZDC energy distribution. The different ``peaks'' in the ZDC energy distribution can be assigned to different forward neutron multiplicities, the first peak is detector noise, which corresponds to no detected neutrons, the second peak can be associated with one neutron, and so on. Figure adapted from Ref. [218] |
|
png pdf |
Figure 29-b:
The left panel shows the correlation between energy distributions of the Minus and Plus ZDC detectors (one entry per event), while the right panel shows a multi-Gaussian function fit to the Minus ZDC energy distribution. The different ``peaks'' in the ZDC energy distribution can be assigned to different forward neutron multiplicities, the first peak is detector noise, which corresponds to no detected neutrons, the second peak can be associated with one neutron, and so on. Figure adapted from Ref. [218] |
|
png pdf |
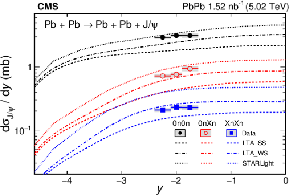
Figure 30:
The differential coherent $ \mathrm{J}/\psi $ meson photoproduction cross section as a function of rapidity, in different neutron multiplicity classes (left): 0 $ \mathrm{n}0\mathrm{n} $, 0 $ \mathrm{n}\mathrm{X}\mathrm{n} $ and $ \mathrm{X}\mathrm{n}\mathrm{X}\mathrm{n} $ ($ \mathrm{X} \geq $ 1); (right): $ \mathrm{A}\mathrm{n}\mathrm{A}\mathrm{n} $ (inclusive in the number of neutrons detected in the ZDC). The small vertical bars and shaded boxes represent the statistical and systematic uncertainties, respectively. The horizontal bars represent the bin widths. Theoretical predictions from LTA weak/strong shadowing [216], color dipole models (CD_BGK, CD_BGW, and CD_IIM) [220], and STARLIGHT [115] are shown. Figure adapted from Ref. [221] |
|
png pdf |
Figure 30-a:
The differential coherent $ \mathrm{J}/\psi $ meson photoproduction cross section as a function of rapidity, in different neutron multiplicity classes (left): 0 $ \mathrm{n}0\mathrm{n} $, 0 $ \mathrm{n}\mathrm{X}\mathrm{n} $ and $ \mathrm{X}\mathrm{n}\mathrm{X}\mathrm{n} $ ($ \mathrm{X} \geq $ 1); (right): $ \mathrm{A}\mathrm{n}\mathrm{A}\mathrm{n} $ (inclusive in the number of neutrons detected in the ZDC). The small vertical bars and shaded boxes represent the statistical and systematic uncertainties, respectively. The horizontal bars represent the bin widths. Theoretical predictions from LTA weak/strong shadowing [216], color dipole models (CD_BGK, CD_BGW, and CD_IIM) [220], and STARLIGHT [115] are shown. Figure adapted from Ref. [221] |
|
png pdf |
Figure 30-b:
The differential coherent $ \mathrm{J}/\psi $ meson photoproduction cross section as a function of rapidity, in different neutron multiplicity classes (left): 0 $ \mathrm{n}0\mathrm{n} $, 0 $ \mathrm{n}\mathrm{X}\mathrm{n} $ and $ \mathrm{X}\mathrm{n}\mathrm{X}\mathrm{n} $ ($ \mathrm{X} \geq $ 1); (right): $ \mathrm{A}\mathrm{n}\mathrm{A}\mathrm{n} $ (inclusive in the number of neutrons detected in the ZDC). The small vertical bars and shaded boxes represent the statistical and systematic uncertainties, respectively. The horizontal bars represent the bin widths. Theoretical predictions from LTA weak/strong shadowing [216], color dipole models (CD_BGK, CD_BGW, and CD_IIM) [220], and STARLIGHT [115] are shown. Figure adapted from Ref. [221] |
|
png pdf |
Figure 31:
Total coherent $ \mathrm{J}/\psi $ meson photoproduction cross section as a function of $ W^{\mathrm{Pb}}_{\gamma\mathrm{N}} $ in PbPb UPCs at $ \sqrt{\smash[b]{s_{_{\mathrm{NN}}}}} = $ 5.02 TeV. The vertical bars and the shaded and open boxes represent the statistical, experimental, and theoretical (photon flux) uncertainties, respectively. The predictions from various theoretical calculations [214,223,224,216,225,220] are shown by the curves. Figure adapted from Ref. [221] |
|
png pdf |
Figure 31-a:
Total coherent $ \mathrm{J}/\psi $ meson photoproduction cross section as a function of $ W^{\mathrm{Pb}}_{\gamma\mathrm{N}} $ in PbPb UPCs at $ \sqrt{\smash[b]{s_{_{\mathrm{NN}}}}} = $ 5.02 TeV. The vertical bars and the shaded and open boxes represent the statistical, experimental, and theoretical (photon flux) uncertainties, respectively. The predictions from various theoretical calculations [214,223,224,216,225,220] are shown by the curves. Figure adapted from Ref. [221] |
|
png pdf |
Figure 31-b:
Total coherent $ \mathrm{J}/\psi $ meson photoproduction cross section as a function of $ W^{\mathrm{Pb}}_{\gamma\mathrm{N}} $ in PbPb UPCs at $ \sqrt{\smash[b]{s_{_{\mathrm{NN}}}}} = $ 5.02 TeV. The vertical bars and the shaded and open boxes represent the statistical, experimental, and theoretical (photon flux) uncertainties, respectively. The predictions from various theoretical calculations [214,223,224,216,225,220] are shown by the curves. Figure adapted from Ref. [221] |
|
png pdf |
Figure 31-c:
Total coherent $ \mathrm{J}/\psi $ meson photoproduction cross section as a function of $ W^{\mathrm{Pb}}_{\gamma\mathrm{N}} $ in PbPb UPCs at $ \sqrt{\smash[b]{s_{_{\mathrm{NN}}}}} = $ 5.02 TeV. The vertical bars and the shaded and open boxes represent the statistical, experimental, and theoretical (photon flux) uncertainties, respectively. The predictions from various theoretical calculations [214,223,224,216,225,220] are shown by the curves. Figure adapted from Ref. [221] |
|
png pdf |
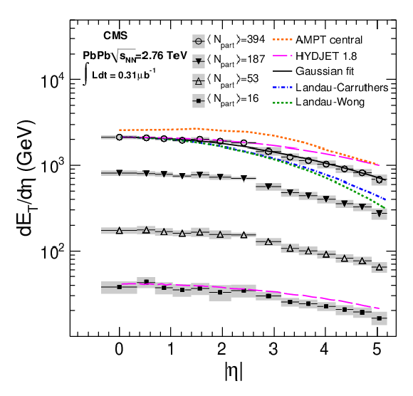
Figure 32:
Distributions $ (\mathrm{d}N_{\text{ch}}/\mathrm{d}\eta)/(N_\text{part}/2) $ in 2.76 TeV PbPb (top left) and $ \mathrm{d}N_{\text{ch}}/\mathrm{d}\eta $ in 5.44 TeV XeXe (top right) collisions, and $ \mathrm{d}E_{\mathrm{T}}/\mathrm{d}\eta $ in 2.76 TeV PbPb collisions (bottom) as functions of $ \eta $ in various centrality bins. The inner green band in the left panel shows the measurement uncertainties affecting the scale of the measured distribution, while the outer gray band shows the full systematic uncertainty, i.e., affecting both the scale and the slope. Figure adapted from Refs. [111,231,232] |
|
png pdf |
Figure 32-a:
Distributions $ (\mathrm{d}N_{\text{ch}}/\mathrm{d}\eta)/(N_\text{part}/2) $ in 2.76 TeV PbPb (top left) and $ \mathrm{d}N_{\text{ch}}/\mathrm{d}\eta $ in 5.44 TeV XeXe (top right) collisions, and $ \mathrm{d}E_{\mathrm{T}}/\mathrm{d}\eta $ in 2.76 TeV PbPb collisions (bottom) as functions of $ \eta $ in various centrality bins. The inner green band in the left panel shows the measurement uncertainties affecting the scale of the measured distribution, while the outer gray band shows the full systematic uncertainty, i.e., affecting both the scale and the slope. Figure adapted from Refs. [111,231,232] |
|
png pdf |
Figure 32-b:
Distributions $ (\mathrm{d}N_{\text{ch}}/\mathrm{d}\eta)/(N_\text{part}/2) $ in 2.76 TeV PbPb (top left) and $ \mathrm{d}N_{\text{ch}}/\mathrm{d}\eta $ in 5.44 TeV XeXe (top right) collisions, and $ \mathrm{d}E_{\mathrm{T}}/\mathrm{d}\eta $ in 2.76 TeV PbPb collisions (bottom) as functions of $ \eta $ in various centrality bins. The inner green band in the left panel shows the measurement uncertainties affecting the scale of the measured distribution, while the outer gray band shows the full systematic uncertainty, i.e., affecting both the scale and the slope. Figure adapted from Refs. [111,231,232] |
|
png pdf |
Figure 32-c:
Distributions $ (\mathrm{d}N_{\text{ch}}/\mathrm{d}\eta)/(N_\text{part}/2) $ in 2.76 TeV PbPb (top left) and $ \mathrm{d}N_{\text{ch}}/\mathrm{d}\eta $ in 5.44 TeV XeXe (top right) collisions, and $ \mathrm{d}E_{\mathrm{T}}/\mathrm{d}\eta $ in 2.76 TeV PbPb collisions (bottom) as functions of $ \eta $ in various centrality bins. The inner green band in the left panel shows the measurement uncertainties affecting the scale of the measured distribution, while the outer gray band shows the full systematic uncertainty, i.e., affecting both the scale and the slope. Figure adapted from Refs. [111,231,232] |
|
png pdf |
Figure 33:
Average $ \mathrm{d}N_{\text{ch}}/\mathrm{d}\eta $ at midrapidity normalised by $ \langle N_\text{part}\rangle $, shown as a function of $ \langle N_\text{part}\rangle $ (left) and $ \langle N_\text{part}\rangle/2A $ (right), where $ A $ is the mass number of the nuclei. Figure adapted from Ref. [231] |
|
png pdf |
Figure 33-a:
Average $ \mathrm{d}N_{\text{ch}}/\mathrm{d}\eta $ at midrapidity normalised by $ \langle N_\text{part}\rangle $, shown as a function of $ \langle N_\text{part}\rangle $ (left) and $ \langle N_\text{part}\rangle/2A $ (right), where $ A $ is the mass number of the nuclei. Figure adapted from Ref. [231] |
|
png pdf |
Figure 33-b:
Average $ \mathrm{d}N_{\text{ch}}/\mathrm{d}\eta $ at midrapidity normalised by $ \langle N_\text{part}\rangle $, shown as a function of $ \langle N_\text{part}\rangle $ (left) and $ \langle N_\text{part}\rangle/2A $ (right), where $ A $ is the mass number of the nuclei. Figure adapted from Ref. [231] |
|
png pdf |
Figure 34:
Normalized charged-particle pseudorapidity (left, figure adapted from Ref. [111]) and transverse energy density (right, figure adapted from Ref. [232]) at $ \eta= $ 0 as functions of center-of-mass energy, from various experiments. The fits to power-law functions are shown by lines. |
|
png pdf |
Figure 34-a:
Normalized charged-particle pseudorapidity (left, figure adapted from Ref. [111]) and transverse energy density (right, figure adapted from Ref. [232]) at $ \eta= $ 0 as functions of center-of-mass energy, from various experiments. The fits to power-law functions are shown by lines. |
|
png pdf |
Figure 34-b:
Normalized charged-particle pseudorapidity (left, figure adapted from Ref. [111]) and transverse energy density (right, figure adapted from Ref. [232]) at $ \eta= $ 0 as functions of center-of-mass energy, from various experiments. The fits to power-law functions are shown by lines. |
|
png pdf |
Figure 35:
The 2D (left) and 1D $ \Delta\phi $ (right) two-particle correlation functions for 1 $ < p_{\mathrm{T}} < $ 3 GeV in 0-0.2% central PbPb collisions at $ \sqrt{\smash[b]{s_{_{\mathrm{NN}}}}} = $ 2.76 TeV. Figure adapted from Ref. [243] |
|
png pdf |
Figure 35-a:
The 2D (left) and 1D $ \Delta\phi $ (right) two-particle correlation functions for 1 $ < p_{\mathrm{T}} < $ 3 GeV in 0-0.2% central PbPb collisions at $ \sqrt{\smash[b]{s_{_{\mathrm{NN}}}}} = $ 2.76 TeV. Figure adapted from Ref. [243] |
|
png pdf |
Figure 35-b:
The 2D (left) and 1D $ \Delta\phi $ (right) two-particle correlation functions for 1 $ < p_{\mathrm{T}} < $ 3 GeV in 0-0.2% central PbPb collisions at $ \sqrt{\smash[b]{s_{_{\mathrm{NN}}}}} = $ 2.76 TeV. Figure adapted from Ref. [243] |
|
png pdf |
Figure 36:
Left: the $ v_2 $ to $ v_6 $ values as functions of $ p_{\mathrm{T}} $ in 0-0.2% central PbPb collisions at $ \sqrt{\smash[b]{s_{_{\mathrm{NN}}}}} = $ 2.76 TeV. Right: Comparison of $ p_{\mathrm{T}} $-integrated (0.3-3.0 GeV) $ v_{n} $ data with VISH2+1D hydrodynamic calculations for Glauber initial condition with $ \eta/s= $ 0.08 (blue) and MC-KLN initial condition with $ \eta/s= $ 0.2 (green), in 0-0.2% central PbPb collisions at $ \sqrt{\smash[b]{s_{_{\mathrm{NN}}}}} = $ 2.76 TeV. Error bars denote the statistical uncertainties, while the shaded color bands correspond to the systematic uncertainties. Figure adapted from Ref. [243] |
|
png pdf |
Figure 36-a:
Left: the $ v_2 $ to $ v_6 $ values as functions of $ p_{\mathrm{T}} $ in 0-0.2% central PbPb collisions at $ \sqrt{\smash[b]{s_{_{\mathrm{NN}}}}} = $ 2.76 TeV. Right: Comparison of $ p_{\mathrm{T}} $-integrated (0.3-3.0 GeV) $ v_{n} $ data with VISH2+1D hydrodynamic calculations for Glauber initial condition with $ \eta/s= $ 0.08 (blue) and MC-KLN initial condition with $ \eta/s= $ 0.2 (green), in 0-0.2% central PbPb collisions at $ \sqrt{\smash[b]{s_{_{\mathrm{NN}}}}} = $ 2.76 TeV. Error bars denote the statistical uncertainties, while the shaded color bands correspond to the systematic uncertainties. Figure adapted from Ref. [243] |
|
png pdf |
Figure 36-b:
Left: the $ v_2 $ to $ v_6 $ values as functions of $ p_{\mathrm{T}} $ in 0-0.2% central PbPb collisions at $ \sqrt{\smash[b]{s_{_{\mathrm{NN}}}}} = $ 2.76 TeV. Right: Comparison of $ p_{\mathrm{T}} $-integrated (0.3-3.0 GeV) $ v_{n} $ data with VISH2+1D hydrodynamic calculations for Glauber initial condition with $ \eta/s= $ 0.08 (blue) and MC-KLN initial condition with $ \eta/s= $ 0.2 (green), in 0-0.2% central PbPb collisions at $ \sqrt{\smash[b]{s_{_{\mathrm{NN}}}}} = $ 2.76 TeV. Error bars denote the statistical uncertainties, while the shaded color bands correspond to the systematic uncertainties. Figure adapted from Ref. [243] |
|
png pdf |
Figure 37:
Representative final unfolded $ p(v_2) $ distributions (closed black circles) in three centrality bins (15-20%, 30-35%, and 55-60%). Respective observed $ p(v_2^\text{obs}) $ distributions (open black squares) are shown to illustrate the statistical resolution present in each centrality bin prior to unfolding. Distributions are fitted with Bessel-Gaussian and elliptic power functions to infer information on the underlying $ p(\varepsilon_2) $ distributions. Figure adapted from Ref. [245] |
|
png pdf |
Figure 38:
Centrality dependence of the $ v_2 $, $ v_3 $, and $ v_4 $ harmonic coefficients from two-particle correlations method for 0.3 $ < p_{\mathrm{T}} < $ 3.0 GeV for $ \mathrm{Xe}\mathrm{Xe} $ collisions at $ \sqrt{\smash[b]{s_{_{\mathrm{NN}}}}}= $ 5.44 TeV and PbPb collisions at 5.02 TeV. The lower panels show the ratio of the results for the two systems. Theoretical predictions from Ref. [252] are compared to the data. The model calculation is done for the $ p_{\mathrm{T}} $ range 0.2 $ < p_{\mathrm{T}} < $ 5.0 GeV. Figure adapted from Ref. [253] |
|
png pdf |
Figure 39:
The $ p_{\mathrm{T}} $-dependent factorization ratios, $ r_2 $ and $ r_3 $, as functions of event multiplicity in pPb and PbPb collisions. The lines represent different hydrodynamics calculations. Figure adapted from Ref. [244] |
|
png pdf |
Figure 40:
The $ p_{\mathrm{T}} $-dependent factorization ratios, $ r_2(p_{\mathrm{T}}) $, in very central (0-0.2% centrality) PbPb collisions. The lines represent hydrodynamics calculations for different initial conditions and different values of $ \eta/s $. Figure adapted from Ref. [244] |
|
png pdf |
Figure 41:
Left: illustration of flow event plane decorrelations as functions of rapidity in the wounded nucleon picture (or ``torqued QGP fireball'') [259] and 3D color glass condensate model [260]. Right: measurement of elliptic flow decorrelations as functions of pseudorapidity in 0-5% central PbPb collisions at 2.76 TeV from CMS [244], with comparison to theoretical calculations [259,260]. |
|
png pdf |
Figure 42:
The $ {F}^{{\eta}}_{\mathrm{N}} $ parameter as a function of event multiplicity in PbPb collisions at $ \sqrt{\smash[b]{s_{_{\mathrm{NN}}}}}= $ 2.76 TeV for $ n= $ 2-4 and pPb collisions at $ \sqrt{\smash[b]{s_{_{\mathrm{NN}}}}} = $ 5.02 TeV for $ n= $ 2. Figure adapted from Ref. [244] |
|
png pdf |
Figure 43:
Nonlinear-response coefficients, $ \chi_{422} $, $ \chi_{523} $, $ \chi_{6222} $, $ \chi_{633} $, and $ \chi_{7223} $ at 2.76 and 5.02 TeV, as functions of centrality. The results are compared with predictions from a hydrodynamics $ + $ hadronic cascade hybrid approach with the IP-Glasma initial conditions using $ \eta/s = $ 0.095 [267] at 5.02 TeV and from iEBE-VISHNU hydrodynamics with the KLN initial conditions using $ \eta/s = $ 0, 0.08, and 0.2 [262] at 2.76 TeV. Figure adapted from Ref. [268] |
|
png pdf |
Figure 43-a:
Nonlinear-response coefficients, $ \chi_{422} $, $ \chi_{523} $, $ \chi_{6222} $, $ \chi_{633} $, and $ \chi_{7223} $ at 2.76 and 5.02 TeV, as functions of centrality. The results are compared with predictions from a hydrodynamics $ + $ hadronic cascade hybrid approach with the IP-Glasma initial conditions using $ \eta/s = $ 0.095 [267] at 5.02 TeV and from iEBE-VISHNU hydrodynamics with the KLN initial conditions using $ \eta/s = $ 0, 0.08, and 0.2 [262] at 2.76 TeV. Figure adapted from Ref. [268] |
|
png pdf |
Figure 43-b:
Nonlinear-response coefficients, $ \chi_{422} $, $ \chi_{523} $, $ \chi_{6222} $, $ \chi_{633} $, and $ \chi_{7223} $ at 2.76 and 5.02 TeV, as functions of centrality. The results are compared with predictions from a hydrodynamics $ + $ hadronic cascade hybrid approach with the IP-Glasma initial conditions using $ \eta/s = $ 0.095 [267] at 5.02 TeV and from iEBE-VISHNU hydrodynamics with the KLN initial conditions using $ \eta/s = $ 0, 0.08, and 0.2 [262] at 2.76 TeV. Figure adapted from Ref. [268] |
|
png pdf |
Figure 43-c:
Nonlinear-response coefficients, $ \chi_{422} $, $ \chi_{523} $, $ \chi_{6222} $, $ \chi_{633} $, and $ \chi_{7223} $ at 2.76 and 5.02 TeV, as functions of centrality. The results are compared with predictions from a hydrodynamics $ + $ hadronic cascade hybrid approach with the IP-Glasma initial conditions using $ \eta/s = $ 0.095 [267] at 5.02 TeV and from iEBE-VISHNU hydrodynamics with the KLN initial conditions using $ \eta/s = $ 0, 0.08, and 0.2 [262] at 2.76 TeV. Figure adapted from Ref. [268] |
|
png pdf |
Figure 44:
Top left: Illustration of a typical BEC as functions of $ q_\text{inv} $, for pp collisions at 13 TeV, for opposite-sign pairs (no BEC), used to estimate the background contribution, and for same-sign pairs, together with the fits to both cases. Top right: Results for femtoscopic correlations of unidentified charged hadrons from pp collisions at various LHC energies and in different multiplicity ranges. Bottom: The plot shows results for identified pions (filled markers) and kaons (open markers) for different colliding systems and at several LHC energies. The error bars correspond to the statistical uncertainties, the colored boxes to the systematic uncertainties. The lines are cubic spline interpolations, added to guide the eye. Figure adapted from Ref. [276,277,278] |
|
png pdf |
Figure 44-a:
Top left: Illustration of a typical BEC as functions of $ q_\text{inv} $, for pp collisions at 13 TeV, for opposite-sign pairs (no BEC), used to estimate the background contribution, and for same-sign pairs, together with the fits to both cases. Top right: Results for femtoscopic correlations of unidentified charged hadrons from pp collisions at various LHC energies and in different multiplicity ranges. Bottom: The plot shows results for identified pions (filled markers) and kaons (open markers) for different colliding systems and at several LHC energies. The error bars correspond to the statistical uncertainties, the colored boxes to the systematic uncertainties. The lines are cubic spline interpolations, added to guide the eye. Figure adapted from Ref. [276,277,278] |
|
png pdf |
Figure 44-b:
Top left: Illustration of a typical BEC as functions of $ q_\text{inv} $, for pp collisions at 13 TeV, for opposite-sign pairs (no BEC), used to estimate the background contribution, and for same-sign pairs, together with the fits to both cases. Top right: Results for femtoscopic correlations of unidentified charged hadrons from pp collisions at various LHC energies and in different multiplicity ranges. Bottom: The plot shows results for identified pions (filled markers) and kaons (open markers) for different colliding systems and at several LHC energies. The error bars correspond to the statistical uncertainties, the colored boxes to the systematic uncertainties. The lines are cubic spline interpolations, added to guide the eye. Figure adapted from Ref. [276,277,278] |
|
png pdf |
Figure 44-c:
Top left: Illustration of a typical BEC as functions of $ q_\text{inv} $, for pp collisions at 13 TeV, for opposite-sign pairs (no BEC), used to estimate the background contribution, and for same-sign pairs, together with the fits to both cases. Top right: Results for femtoscopic correlations of unidentified charged hadrons from pp collisions at various LHC energies and in different multiplicity ranges. Bottom: The plot shows results for identified pions (filled markers) and kaons (open markers) for different colliding systems and at several LHC energies. The error bars correspond to the statistical uncertainties, the colored boxes to the systematic uncertainties. The lines are cubic spline interpolations, added to guide the eye. Figure adapted from Ref. [276,277,278] |
|
png pdf |
Figure 45:
Left: Results for $ R_\text{inv} $ are shown as a function of $ k_{\mathrm{T}} $ for pp collisions at different energies and multiplicity ranges. Figure adapted from Ref. [277,278] Right: Similarly, $ R_\text{inv} $ values versus $ k_{\mathrm{T}} $ are shown for pPb collisions at 5.02 TeV. The error bars correspond to the statistical uncertainties, the colored boxes to the systematic uncertainties. The lines are cubic spline interpolations, added to guide the eye. Figure adapted from Ref. [277] |
|
png pdf |
Figure 45-a:
Left: Results for $ R_\text{inv} $ are shown as a function of $ k_{\mathrm{T}} $ for pp collisions at different energies and multiplicity ranges. Figure adapted from Ref. [277,278] Right: Similarly, $ R_\text{inv} $ values versus $ k_{\mathrm{T}} $ are shown for pPb collisions at 5.02 TeV. The error bars correspond to the statistical uncertainties, the colored boxes to the systematic uncertainties. The lines are cubic spline interpolations, added to guide the eye. Figure adapted from Ref. [277] |
|
png pdf |
Figure 45-b:
Left: Results for $ R_\text{inv} $ are shown as a function of $ k_{\mathrm{T}} $ for pp collisions at different energies and multiplicity ranges. Figure adapted from Ref. [277,278] Right: Similarly, $ R_\text{inv} $ values versus $ k_{\mathrm{T}} $ are shown for pPb collisions at 5.02 TeV. The error bars correspond to the statistical uncertainties, the colored boxes to the systematic uncertainties. The lines are cubic spline interpolations, added to guide the eye. Figure adapted from Ref. [277] |
|
png pdf |
Figure 45-c:
Left: Results for $ R_\text{inv} $ are shown as a function of $ k_{\mathrm{T}} $ for pp collisions at different energies and multiplicity ranges. Figure adapted from Ref. [277,278] Right: Similarly, $ R_\text{inv} $ values versus $ k_{\mathrm{T}} $ are shown for pPb collisions at 5.02 TeV. The error bars correspond to the statistical uncertainties, the colored boxes to the systematic uncertainties. The lines are cubic spline interpolations, added to guide the eye. Figure adapted from Ref. [277] |
|
png pdf |
Figure 46:
Left: The femtoscopic Bertsch-Pratt radius components in different directions ($ R_\text{S} $, $ R_\text{L} $, $ R_\text{O} $) are shown as functions of multiplicity for charged hadrons from pp collisions at 7 TeV. Middle: The three variables are shown for pions from the pPb and PbPb systems at 2.76 and 5.02 TeV, respectively. The lines are cubic spline interpolations, added to guide the eye. A similar tendency of increasing radius parameters with multiplicity is seen in each of the three directions, for all cases. Right: The variation of these components with $ k_{\mathrm{T}} $ is shown for charged hadrons from pp collisions at 7 TeV. (Figures adapted from Ref. [277]). |
|
png pdf |
Figure 46-a:
Left: The femtoscopic Bertsch-Pratt radius components in different directions ($ R_\text{S} $, $ R_\text{L} $, $ R_\text{O} $) are shown as functions of multiplicity for charged hadrons from pp collisions at 7 TeV. Middle: The three variables are shown for pions from the pPb and PbPb systems at 2.76 and 5.02 TeV, respectively. The lines are cubic spline interpolations, added to guide the eye. A similar tendency of increasing radius parameters with multiplicity is seen in each of the three directions, for all cases. Right: The variation of these components with $ k_{\mathrm{T}} $ is shown for charged hadrons from pp collisions at 7 TeV. (Figures adapted from Ref. [277]). |
|
png pdf |
Figure 46-b:
Left: The femtoscopic Bertsch-Pratt radius components in different directions ($ R_\text{S} $, $ R_\text{L} $, $ R_\text{O} $) are shown as functions of multiplicity for charged hadrons from pp collisions at 7 TeV. Middle: The three variables are shown for pions from the pPb and PbPb systems at 2.76 and 5.02 TeV, respectively. The lines are cubic spline interpolations, added to guide the eye. A similar tendency of increasing radius parameters with multiplicity is seen in each of the three directions, for all cases. Right: The variation of these components with $ k_{\mathrm{T}} $ is shown for charged hadrons from pp collisions at 7 TeV. (Figures adapted from Ref. [277]). |
|
png pdf |
Figure 46-c:
Left: The femtoscopic Bertsch-Pratt radius components in different directions ($ R_\text{S} $, $ R_\text{L} $, $ R_\text{O} $) are shown as functions of multiplicity for charged hadrons from pp collisions at 7 TeV. Middle: The three variables are shown for pions from the pPb and PbPb systems at 2.76 and 5.02 TeV, respectively. The lines are cubic spline interpolations, added to guide the eye. A similar tendency of increasing radius parameters with multiplicity is seen in each of the three directions, for all cases. Right: The variation of these components with $ k_{\mathrm{T}} $ is shown for charged hadrons from pp collisions at 7 TeV. (Figures adapted from Ref. [277]). |
|
png pdf |
Figure 47:
Left: Event geometry of one peripheral PbPb and one central pPb event using MC Glauber simulation at at $ \sqrt{\smash[b]{s_{_{\mathrm{NN}}}}} = $ 5.02 TeV. The red and black arrows point in the direction of the reaction and participant plane angle, respectively. Right: The cosine of the relative angle between the reaction plane and the participant plane. Figure adapted from Ref. [309] |
|
png pdf |
Figure 47-a:
Left: Event geometry of one peripheral PbPb and one central pPb event using MC Glauber simulation at at $ \sqrt{\smash[b]{s_{_{\mathrm{NN}}}}} = $ 5.02 TeV. The red and black arrows point in the direction of the reaction and participant plane angle, respectively. Right: The cosine of the relative angle between the reaction plane and the participant plane. Figure adapted from Ref. [309] |
|
png pdf |
Figure 47-b:
Left: Event geometry of one peripheral PbPb and one central pPb event using MC Glauber simulation at at $ \sqrt{\smash[b]{s_{_{\mathrm{NN}}}}} = $ 5.02 TeV. The red and black arrows point in the direction of the reaction and participant plane angle, respectively. Right: The cosine of the relative angle between the reaction plane and the participant plane. Figure adapted from Ref. [309] |
|
png pdf |
Figure 48:
Left: the difference of the opposite sign (OS) and same sign (SS) three-particle correlators as a function of $ N_\text{trk}^\text{offline} $ in pPb and PbPb collisions at $ \sqrt{\smash[b]{s_{_{\mathrm{NN}}}}} = $ 5.02 TeV. Figure adapted from Ref. [309] Right: ratio of $ \Delta\gamma_{112} $ and $ \Delta\gamma_{123} $ to the product of $ v_{n} $ and $ \delta $ in pPb collisions for the Pb-going direction at $ \sqrt{\smash[b]{s_{_{\mathrm{NN}}}}} = $ 8.16 TeV and PbPb collisions at 5.02 TeV. Figure adapted from Ref. [311] |
|
png pdf |
Figure 48-a:
Left: the difference of the opposite sign (OS) and same sign (SS) three-particle correlators as a function of $ N_\text{trk}^\text{offline} $ in pPb and PbPb collisions at $ \sqrt{\smash[b]{s_{_{\mathrm{NN}}}}} = $ 5.02 TeV. Figure adapted from Ref. [309] Right: ratio of $ \Delta\gamma_{112} $ and $ \Delta\gamma_{123} $ to the product of $ v_{n} $ and $ \delta $ in pPb collisions for the Pb-going direction at $ \sqrt{\smash[b]{s_{_{\mathrm{NN}}}}} = $ 8.16 TeV and PbPb collisions at 5.02 TeV. Figure adapted from Ref. [311] |
|
png pdf |
Figure 48-b:
Left: the difference of the opposite sign (OS) and same sign (SS) three-particle correlators as a function of $ N_\text{trk}^\text{offline} $ in pPb and PbPb collisions at $ \sqrt{\smash[b]{s_{_{\mathrm{NN}}}}} = $ 5.02 TeV. Figure adapted from Ref. [309] Right: ratio of $ \Delta\gamma_{112} $ and $ \Delta\gamma_{123} $ to the product of $ v_{n} $ and $ \delta $ in pPb collisions for the Pb-going direction at $ \sqrt{\smash[b]{s_{_{\mathrm{NN}}}}} = $ 8.16 TeV and PbPb collisions at 5.02 TeV. Figure adapted from Ref. [311] |
|
png pdf |
Figure 49:
Upper limits of the fraction of $ v_2 $-independent $ \gamma_{112} $ correlator component as a function of $ N_\text{trk}^\text{offline} $ in pPb collisions at $ \sqrt{\smash[b]{s_{_{\mathrm{NN}}}}} = $ 8.16 TeV and PbPb collisions at 5.02 TeV. Figure adapted from Ref. [311] |
|
png pdf |
Figure 49-a:
Upper limits of the fraction of $ v_2 $-independent $ \gamma_{112} $ correlator component as a function of $ N_\text{trk}^\text{offline} $ in pPb collisions at $ \sqrt{\smash[b]{s_{_{\mathrm{NN}}}}} = $ 8.16 TeV and PbPb collisions at 5.02 TeV. Figure adapted from Ref. [311] |
|
png pdf |
Figure 49-b:
Upper limits of the fraction of $ v_2 $-independent $ \gamma_{112} $ correlator component as a function of $ N_\text{trk}^\text{offline} $ in pPb collisions at $ \sqrt{\smash[b]{s_{_{\mathrm{NN}}}}} = $ 8.16 TeV and PbPb collisions at 5.02 TeV. Figure adapted from Ref. [311] |
|
png pdf |
Figure 50:
Left: The normalized difference in $ v_{n} $, $ (v^{-}_{n} - v^{+}_{n})/(v^{-}_{n} + v^{+}_{n}) $, for $ n= $ 2 and 3, as a function of true event charge asymmetry for the 30-40% centrality class in PbPb collisions at $ \sqrt{\smash[b]{s_{_{\mathrm{NN}}}}} = $ 5.02 TeV. Right: The linear slope parameters, $ {r}^{\text{norm}}_2 $ and $ {r}^{\text{norm}}_3 $, as functions of the centrality class in PbPb collisions. Figure adapted from Ref. [318] |
|
png pdf |
Figure 50-a:
Left: The normalized difference in $ v_{n} $, $ (v^{-}_{n} - v^{+}_{n})/(v^{-}_{n} + v^{+}_{n}) $, for $ n= $ 2 and 3, as a function of true event charge asymmetry for the 30-40% centrality class in PbPb collisions at $ \sqrt{\smash[b]{s_{_{\mathrm{NN}}}}} = $ 5.02 TeV. Right: The linear slope parameters, $ {r}^{\text{norm}}_2 $ and $ {r}^{\text{norm}}_3 $, as functions of the centrality class in PbPb collisions. Figure adapted from Ref. [318] |
|
png pdf |
Figure 50-b:
Left: The normalized difference in $ v_{n} $, $ (v^{-}_{n} - v^{+}_{n})/(v^{-}_{n} + v^{+}_{n}) $, for $ n= $ 2 and 3, as a function of true event charge asymmetry for the 30-40% centrality class in PbPb collisions at $ \sqrt{\smash[b]{s_{_{\mathrm{NN}}}}} = $ 5.02 TeV. Right: The linear slope parameters, $ {r}^{\text{norm}}_2 $ and $ {r}^{\text{norm}}_3 $, as functions of the centrality class in PbPb collisions. Figure adapted from Ref. [318] |
|
png pdf |
Figure 51:
Difference of $ v_2 $ between $ \mathrm{D^0} $ and $ \overline{\mathrm{D}}^{0} $ mesons as a function of rapidity. The average value ($ \Delta v_2^{\text{Avg}} $) is extracted by fitting the data considering the statistical uncertainties only. The systematic uncertainty of the $ \Delta v_2^{\text{Avg}} $ is estimated by shifting the each point up and down by its systematic uncertainty. Figure adapted from Ref. [146] |
|
png pdf |
Figure 52:
An ``unrolled'' calorimeter display of energy deposition in an event containing an unbalanced dijet pair in a $ \sqrt{\smash[b]{s_{_{\mathrm{NN}}}}}= $ 2.76 TeV PbPb collision, as recorded by the CMS detector in 2010. The tower-by-tower transverse energy sum combining the measurement in electromagnetic and hadronic calorimeters is plotted as a function of $ \eta $ and $ \phi $. The fully corrected transverse momenta of the unbalanced dijet pair are labeled and their position in $ \eta-\phi $ indicated with the red-highlighted constituent towers. Figure adapted from Ref. [108] |
|
png pdf |
Figure 53:
The $ A_{\mathrm{J}} $ distributions for jet pairs with a leading jet of $ p_{\mathrm{T,1}} > $ 120 GeV and subleading jet of $ p_{\mathrm{T,2}} > $ 30 GeV, presented for different event centrality classes. The dijet pair is required to fulfill a back-to-back requirement in azimuthal angle of $ \Delta\phi_{\mathrm{1,2}} > 2\pi/ $ 3. Black filled points represent the PbPb data, while the red hatched histogram shows the PYTHIA HYDJET simulation results. The open blue circles in the upper left panel are the results from $ \sqrt{\smash[b]{s}} = $ 2.76 TeV pp collisions, acting as an unquenched reference in conjunction with the simulations. Vertical bars represent statistical uncertainties only. Figure adapted from Ref. [329] |
|
png pdf |
Figure 54:
The $ \langle p_{\mathrm{T}}^{\shortparallel}\hspace{-1.02em}/\kern 0.5em\rangle $ values as a function of $ A_{\mathrm{J}} $ for tracks with $ p_{\mathrm{T}} > $ 0.5 GeV. Dijets are selected with $ p_{\mathrm{T,1}} > $ 120 GeV, $ p_{\mathrm{T,2}} > $ 50 GeV, and $ \Delta\phi_{\mathrm{1,2}} > 2\pi/ $ 3. The left panels are for peripheral, 30-100% centrality events, and the right panels are for central, 0-30% events. The upper row shows the results in PYTHIA HYDJET simulation (lacking quenching) while the lower row shows the result in PbPb data. Both data and simulation are for $ \sqrt{\smash[b]{s_{_{\mathrm{NN}}}}} = $ 2.76 TeV. Solid circles show the total average $ p_{\mathrm{T}}^{\shortparallel}\hspace{-1.02em}/\kern 0.5em $ while individual color-filled histograms show contributions from particles of $ p_{\mathrm{T}} $ ranging from 0.5-1.0 GeV to larger than 8.0 GeV. Vertical bars represent statistical uncertainties while the horizontal bars surrounding the solid black circles represent systematic uncertainties. Figure adapted from Ref. [108] |
|
png pdf |
Figure 55:
Inclusive jet $ R_{\mathrm{AA}} $ plotted as a function of the jet $ p_{\mathrm{T}} $ for $ |\eta| < $ 2.0. Each panel corresponds to a different centrality class (upper left) 70-90%, (upper middle) 50-70%, (upper right) 30-50%, (lower left) 10-30%, (lower middle) 5-10%, and (lower right) 0-5%. Results for three jet distance parameters, $ R = $ 0.2, 0.3, and 0.4, are overlaid as red stars, black diamonds, and blue crosses, respectively. Vertical bars (typically smaller than the markers) represent the statistical uncertainty, while horizontal bars around each point are the nonglobal systematic uncertainties. Finally, the combined global systematic uncertainty coming from $ T_{\mathrm{AA}} $ and the integrated luminosity measurement is plotted as a shaded green bar on the horizontal black-dashed unity line. Figure adapted from Ref. [332] |
|
png pdf |
Figure 56:
Jet $ R_{\mathrm{AA}} $ in the 0-10% centrality class as a function of jet $ p_{\mathrm{T}} $ for jets with $ |\eta| < $ 2.0. Each panel corresponds to a different distance parameter $ R $, as indicated. Filled red circle markers represent the data, with vertical red lines representing statistical uncertainties and horizontal red lines representing bin widths. The shaded red boxes around the points represent systematic uncertainties. Integrated luminosity (for pp collisions) and $ \langle T_{\mathrm{AA}} \rangle $ (for PbPb collisions) global uncertainties are shown as shaded boxes around the dashed horizontal line for $ R_{\mathrm{AA}} = $ 1. Predictions for the HYBRID [335,336], MARTINI [337], LBT [338], and CCNU [339,340,341] models are plotted for comparison. Figure adapted from Ref. [143] |
|
png pdf |
Figure 57:
Measurements of $ R_{\mathrm{AA}} $ in central heavy ion collisions at four different center-of-mass energies, for neutral pions (SPS, RHIC), charged hadrons ($ h^{\pm} $) (SPS, RHIC), and charged particles (LHC). Data are taken from Refs. [343,344,345,346,347,348,349,350,351]. Predictions of six models for $ \sqrt{\smash[b]{s_{_{\mathrm{NN}}}}}= $ 5.02 TeV PbPb collisions are shown [352,335,353,354,41,355]. The error bars represent the statistical uncertainties and the yellow boxes around the 5.02 TeV CMS data show systematic uncertainties. The $ T_{\mathrm{AA}} $ uncertainties, which are small, are not shown. Figure adapted from Ref. [351] |
|
png pdf |
Figure 57-a:
Measurements of $ R_{\mathrm{AA}} $ in central heavy ion collisions at four different center-of-mass energies, for neutral pions (SPS, RHIC), charged hadrons ($ h^{\pm} $) (SPS, RHIC), and charged particles (LHC). Data are taken from Refs. [343,344,345,346,347,348,349,350,351]. Predictions of six models for $ \sqrt{\smash[b]{s_{_{\mathrm{NN}}}}}= $ 5.02 TeV PbPb collisions are shown [352,335,353,354,41,355]. The error bars represent the statistical uncertainties and the yellow boxes around the 5.02 TeV CMS data show systematic uncertainties. The $ T_{\mathrm{AA}} $ uncertainties, which are small, are not shown. Figure adapted from Ref. [351] |
|
png pdf |
Figure 57-b:
Measurements of $ R_{\mathrm{AA}} $ in central heavy ion collisions at four different center-of-mass energies, for neutral pions (SPS, RHIC), charged hadrons ($ h^{\pm} $) (SPS, RHIC), and charged particles (LHC). Data are taken from Refs. [343,344,345,346,347,348,349,350,351]. Predictions of six models for $ \sqrt{\smash[b]{s_{_{\mathrm{NN}}}}}= $ 5.02 TeV PbPb collisions are shown [352,335,353,354,41,355]. The error bars represent the statistical uncertainties and the yellow boxes around the 5.02 TeV CMS data show systematic uncertainties. The $ T_{\mathrm{AA}} $ uncertainties, which are small, are not shown. Figure adapted from Ref. [351] |
|
png pdf |
Figure 58:
The charged-particle $ R_{\mathrm{AA}}^{*} $ for $ \mathrm{Xe}\mathrm{Xe} $ collisions at $ \sqrt{\smash[b]{s_{_{\mathrm{NN}}}}}= $ 5.44 TeV [127] and $ R_{\mathrm{AA}} $ for PbPb collisions at 5.02 TeV [351]. The asterisk in $ R_{\mathrm{AA}}^{*} $ indicates that the 5.44 TeV pp reference has been calculated by extrapolating a measured 5.02 TeV pp spectrum. The solid pink and open blue boxes represent the systematic uncertainties of the $ \mathrm{Xe}\mathrm{Xe} $ and PbPb data, respectively. The left panel shows the result as a function of particle $ p_{\mathrm{T}} $ for a 0-5% centrality selection. In the right panel, the results for the 6.4 $ < p_{\mathrm{T}} < $ 7.2 GeV range are plotted as functions of average $ N_\text{part} $. Figure adapted from Refs. [351,127] |
|
png pdf |
Figure 58-a:
The charged-particle $ R_{\mathrm{AA}}^{*} $ for $ \mathrm{Xe}\mathrm{Xe} $ collisions at $ \sqrt{\smash[b]{s_{_{\mathrm{NN}}}}}= $ 5.44 TeV [127] and $ R_{\mathrm{AA}} $ for PbPb collisions at 5.02 TeV [351]. The asterisk in $ R_{\mathrm{AA}}^{*} $ indicates that the 5.44 TeV pp reference has been calculated by extrapolating a measured 5.02 TeV pp spectrum. The solid pink and open blue boxes represent the systematic uncertainties of the $ \mathrm{Xe}\mathrm{Xe} $ and PbPb data, respectively. The left panel shows the result as a function of particle $ p_{\mathrm{T}} $ for a 0-5% centrality selection. In the right panel, the results for the 6.4 $ < p_{\mathrm{T}} < $ 7.2 GeV range are plotted as functions of average $ N_\text{part} $. Figure adapted from Refs. [351,127] |
|
png pdf |
Figure 58-b:
The charged-particle $ R_{\mathrm{AA}}^{*} $ for $ \mathrm{Xe}\mathrm{Xe} $ collisions at $ \sqrt{\smash[b]{s_{_{\mathrm{NN}}}}}= $ 5.44 TeV [127] and $ R_{\mathrm{AA}} $ for PbPb collisions at 5.02 TeV [351]. The asterisk in $ R_{\mathrm{AA}}^{*} $ indicates that the 5.44 TeV pp reference has been calculated by extrapolating a measured 5.02 TeV pp spectrum. The solid pink and open blue boxes represent the systematic uncertainties of the $ \mathrm{Xe}\mathrm{Xe} $ and PbPb data, respectively. The left panel shows the result as a function of particle $ p_{\mathrm{T}} $ for a 0-5% centrality selection. In the right panel, the results for the 6.4 $ < p_{\mathrm{T}} < $ 7.2 GeV range are plotted as functions of average $ N_\text{part} $. Figure adapted from Refs. [351,127] |
|
png pdf |
Figure 59:
Comparison between charged-hadron $ v_2 $ results from various methods as a function of $ p_{\mathrm{T}} $ in six centrality selections from 0-5% to 50-60%. The vertical bars represent the statistical uncertainties, while the shaded boxes represent systematic uncertainties. Figure adapted from Ref. [361] |
|
png pdf |
Figure 60:
The dijet $ v_2 $ (left), $ v_3 $ (middle), and $ v_4 $ (right) measured as functions of collision centrality in 5.02 TeV PbPb collisions. The dijet $ v_2 $ results are compared to CMS high-$ p_{\mathrm{T}} $ hadron $ v_2 $ results. The shaded boxes represent systematic uncertainties, while the vertical bars show statistical uncertainties. Figure adapted from Ref. [363] |
|
png pdf |
Figure 61:
Feynman diagrams depicting two leading-order processes producing a photon or a Z boson with a jet balancing the transverse momentum in the final state. The first diagram shows the outgoing jet to be initiated by a quark, while the other shows the outgoing jet to be initiated by a gluon. These rare hard scatterings have been used to study jet quenching in a number of CMS analyses [364]. |
|
png pdf |
Figure 62:
The $ p_{\mathrm{T}} $ balancing observable $ x_{\mathrm{J}}\gamma $ for $ \gamma+\text{jet} $ pairs is plotted as a function of centrality class panel-by-panel, with the leftmost panel corresponding to the 50-100% peripheral selection, progressing to the 0-10% central selection in the rightmost panel. The distribution is normalized by the number of photons in a pp reference (open markers) and PbPb (full markers) data, per centrality class. Vertical lines display the statistical uncertainties while the shaded bars around the points (red for PbPb, green for pp) show the systematic uncertainties. The statistical uncertainties of the pp data are smaller than the markers for many data points. Figure adapted from Ref. [364] |
|
png pdf |
Figure 63:
Relative contributions of fragmentation (red), photon+quark jet (grey), and photon+gluon jet (blue) processes to the production of isolated photons in PYTHIA8 events. The requirement of an isolated photon in the event increases the fraction of quark-initiated jets relative to an inclusive jet sample. Figure adapted from Ref. [364] |
|
png pdf |
Figure 64:
Results for the gluon-like jet fractions in pp and PbPb data shown for different track $ p_{\mathrm{T}} $ threshold values and event centrality selections in PbPb collisions. The systematic and statistical uncertainties are represented by the shaded regions and vertical bars, respectively. The predictions for the gluon jet fractions from PYTHIA 6 are shown in dashed red lines. Figure adapted from Ref. [377] |
|
png pdf |
Figure 65:
Dijet imbalance for inclusive (left) dijets and b dijets (center) in pp collisions and for different centrality selections of 5.02 TeV PbPb collisions. The right panel shows the difference in the $ \langle x_{\mathrm{J}} \rangle $ values between PbPb and the smeared pp reference. Systematic uncertainties are shown as shaded boxes and statistical uncertainties are displayed as vertical lines. Figure adapted from Ref. [330] |
|
png pdf |
Figure 65-a:
Dijet imbalance for inclusive (left) dijets and b dijets (center) in pp collisions and for different centrality selections of 5.02 TeV PbPb collisions. The right panel shows the difference in the $ \langle x_{\mathrm{J}} \rangle $ values between PbPb and the smeared pp reference. Systematic uncertainties are shown as shaded boxes and statistical uncertainties are displayed as vertical lines. Figure adapted from Ref. [330] |
|
png |
Figure 65-b:
Dijet imbalance for inclusive (left) dijets and b dijets (center) in pp collisions and for different centrality selections of 5.02 TeV PbPb collisions. The right panel shows the difference in the $ \langle x_{\mathrm{J}} \rangle $ values between PbPb and the smeared pp reference. Systematic uncertainties are shown as shaded boxes and statistical uncertainties are displayed as vertical lines. Figure adapted from Ref. [330] |
|
png pdf |
Figure 66:
Left: Observed and postfit predicted BDT discriminator distributions in the $ \mathrm{e}^\pm\mu^\mp $ final state separately in the 0b-, 1b-, and 2b-tagged jet multiplicity categories. The data are shown with markers, and the signal and background processes with filled histograms. The vertical bars on the markers represent the statistical uncertainties in data. The hatched regions show the uncertainties in the sum of $ \mathrm{t} \overline{\mathrm{t}} $ signal and backgrounds. The lower panel displays the ratio between the data and the predictions, including the $ \mathrm{t} \overline{\mathrm{t}} $ signal, with bands representing the uncertainties in the postfit predictions. Right: Inclusive $ \mathrm{t} \overline{\mathrm{t}} $ cross sections measured with two methods in the combined $ \mathrm{e}^\pm\mu^\mp $, $ \mu^{+}\mu^{-} $, and $ \mathrm{e}^+\mathrm{e}^- $ final states in PbPb collisions at $ \sqrt{\smash[b]{s_{_{\mathrm{NN}}}}}= $ 5.02 TeV, and pp results at $ \sqrt{\smash[b]{s}}= $ 5.02 TeV (scaled by $ A^2 $). The measurements are compared with theoretical predictions at NNLO+NNLL accuracy in QCD. The inner (outer) experimental uncertainty bars include statistical (statistical and systematic, added in quadrature) uncertainties. The inner (outer) theoretical uncertainty bands correspond to nPDF or PDF (PDF and scale, added in quadrature) uncertainties. Figure adapted from Ref. [149] |
|
png pdf |
Figure 66-a:
Left: Observed and postfit predicted BDT discriminator distributions in the $ \mathrm{e}^\pm\mu^\mp $ final state separately in the 0b-, 1b-, and 2b-tagged jet multiplicity categories. The data are shown with markers, and the signal and background processes with filled histograms. The vertical bars on the markers represent the statistical uncertainties in data. The hatched regions show the uncertainties in the sum of $ \mathrm{t} \overline{\mathrm{t}} $ signal and backgrounds. The lower panel displays the ratio between the data and the predictions, including the $ \mathrm{t} \overline{\mathrm{t}} $ signal, with bands representing the uncertainties in the postfit predictions. Right: Inclusive $ \mathrm{t} \overline{\mathrm{t}} $ cross sections measured with two methods in the combined $ \mathrm{e}^\pm\mu^\mp $, $ \mu^{+}\mu^{-} $, and $ \mathrm{e}^+\mathrm{e}^- $ final states in PbPb collisions at $ \sqrt{\smash[b]{s_{_{\mathrm{NN}}}}}= $ 5.02 TeV, and pp results at $ \sqrt{\smash[b]{s}}= $ 5.02 TeV (scaled by $ A^2 $). The measurements are compared with theoretical predictions at NNLO+NNLL accuracy in QCD. The inner (outer) experimental uncertainty bars include statistical (statistical and systematic, added in quadrature) uncertainties. The inner (outer) theoretical uncertainty bands correspond to nPDF or PDF (PDF and scale, added in quadrature) uncertainties. Figure adapted from Ref. [149] |
|
png pdf |
Figure 66-b:
Left: Observed and postfit predicted BDT discriminator distributions in the $ \mathrm{e}^\pm\mu^\mp $ final state separately in the 0b-, 1b-, and 2b-tagged jet multiplicity categories. The data are shown with markers, and the signal and background processes with filled histograms. The vertical bars on the markers represent the statistical uncertainties in data. The hatched regions show the uncertainties in the sum of $ \mathrm{t} \overline{\mathrm{t}} $ signal and backgrounds. The lower panel displays the ratio between the data and the predictions, including the $ \mathrm{t} \overline{\mathrm{t}} $ signal, with bands representing the uncertainties in the postfit predictions. Right: Inclusive $ \mathrm{t} \overline{\mathrm{t}} $ cross sections measured with two methods in the combined $ \mathrm{e}^\pm\mu^\mp $, $ \mu^{+}\mu^{-} $, and $ \mathrm{e}^+\mathrm{e}^- $ final states in PbPb collisions at $ \sqrt{\smash[b]{s_{_{\mathrm{NN}}}}}= $ 5.02 TeV, and pp results at $ \sqrt{\smash[b]{s}}= $ 5.02 TeV (scaled by $ A^2 $). The measurements are compared with theoretical predictions at NNLO+NNLL accuracy in QCD. The inner (outer) experimental uncertainty bars include statistical (statistical and systematic, added in quadrature) uncertainties. The inner (outer) theoretical uncertainty bands correspond to nPDF or PDF (PDF and scale, added in quadrature) uncertainties. Figure adapted from Ref. [149] |
|
png pdf |
Figure 67:
Upper: Fragmentation functions as a function of $ \xi $ in bins of PbPb centrality (left-to-right: 50-100%, 30-50%, 10-30%, and 0-10%) with the result from pp reference data overlaid. Lower: Ratios of the PbPb fragmentation functions over those for the pp reference. Jets are selected in the $ p_{\mathrm{T}} $ range 150 to 300 GeV and tracks with $ p_{\mathrm{T}} > $ 1 GeV. Vertical bars and shaded boxes represent the statistical and systematic uncertainties, respectively. Figure adapted from Ref. [382] |
|
png pdf |
Figure 67-a:
Upper: Fragmentation functions as a function of $ \xi $ in bins of PbPb centrality (left-to-right: 50-100%, 30-50%, 10-30%, and 0-10%) with the result from pp reference data overlaid. Lower: Ratios of the PbPb fragmentation functions over those for the pp reference. Jets are selected in the $ p_{\mathrm{T}} $ range 150 to 300 GeV and tracks with $ p_{\mathrm{T}} > $ 1 GeV. Vertical bars and shaded boxes represent the statistical and systematic uncertainties, respectively. Figure adapted from Ref. [382] |
|
png pdf |
Figure 67-b:
Upper: Fragmentation functions as a function of $ \xi $ in bins of PbPb centrality (left-to-right: 50-100%, 30-50%, 10-30%, and 0-10%) with the result from pp reference data overlaid. Lower: Ratios of the PbPb fragmentation functions over those for the pp reference. Jets are selected in the $ p_{\mathrm{T}} $ range 150 to 300 GeV and tracks with $ p_{\mathrm{T}} > $ 1 GeV. Vertical bars and shaded boxes represent the statistical and systematic uncertainties, respectively. Figure adapted from Ref. [382] |
|
png pdf |
Figure 68:
Comparison of $ \gamma $-tagged fragmentation functions in centrality bins 10-30% (left) and 0-10% (right) as a function of the observables $ \xi^{\text{jet}} $ (upper), defined in Eq. (21), and $ \xi^{\gamma}_{\mathrm{T}} $ (lower), defined in Eq. (22). For comparison, curves from the theoretical models SCETG [352], CoLBT-hydro [383,384,385], and HYBRID [386] are overlaid. The widths of the bands represent variations of the coupling strength in the SCETG case and of the dimensionless parameter $ \kappa $ in the HYBRID case. Vertical bars and shaded boxes represent the statistical and systematic uncertainties, respectively. Figure adapted from Ref. [387] |
|
png pdf |
Figure 68-a:
Comparison of $ \gamma $-tagged fragmentation functions in centrality bins 10-30% (left) and 0-10% (right) as a function of the observables $ \xi^{\text{jet}} $ (upper), defined in Eq. (21), and $ \xi^{\gamma}_{\mathrm{T}} $ (lower), defined in Eq. (22). For comparison, curves from the theoretical models SCETG [352], CoLBT-hydro [383,384,385], and HYBRID [386] are overlaid. The widths of the bands represent variations of the coupling strength in the SCETG case and of the dimensionless parameter $ \kappa $ in the HYBRID case. Vertical bars and shaded boxes represent the statistical and systematic uncertainties, respectively. Figure adapted from Ref. [387] |
|
png pdf |
Figure 68-b:
Comparison of $ \gamma $-tagged fragmentation functions in centrality bins 10-30% (left) and 0-10% (right) as a function of the observables $ \xi^{\text{jet}} $ (upper), defined in Eq. (21), and $ \xi^{\gamma}_{\mathrm{T}} $ (lower), defined in Eq. (22). For comparison, curves from the theoretical models SCETG [352], CoLBT-hydro [383,384,385], and HYBRID [386] are overlaid. The widths of the bands represent variations of the coupling strength in the SCETG case and of the dimensionless parameter $ \kappa $ in the HYBRID case. Vertical bars and shaded boxes represent the statistical and systematic uncertainties, respectively. Figure adapted from Ref. [387] |
|
png pdf |
Figure 69:
The angular jet momentum distribution $ P(\Delta r) $ of jets in pp (upper) and PbPb (middle) collisions. The PbPb results are shown for different centrality regions. The lower row shows the ratio between PbPb and pp data for the indicated intervals of $ p_{\mathrm{T}}^{\text{trk}} $. The shaded bands show the total systematic uncertainties. Figure adapted from Ref. [396] |
|
png pdf |
Figure 70:
Ratio of the differential jet shape for jets associated with an isolated photon for 5.02 TeV 0-10% PbPb collisions and pp reference data. The measurement is performed using jets having $ p_{\mathrm{T}}^\text{jet} > $ 30 GeV and tracks with $ p_{\mathrm{T}}^{\text{trk}} > $ 1 GeV. Figure adapted from Ref. [401] |
|
png pdf |
Figure 71:
Distribution of the ratio of the groomed jet splitting fraction in central PbPb data compared to a pp reference. Each panel corresponds to a different jet $ p_{\mathrm{T}} $ range and the different colored lines and bands are predictions from MC models. Statistical and systematic uncertainties in the data are shown by vertical bars and shaded boxes, respectively. Figure adapted from Ref. [405] |
|
png pdf |
Figure 71-a:
Distribution of the ratio of the groomed jet splitting fraction in central PbPb data compared to a pp reference. Each panel corresponds to a different jet $ p_{\mathrm{T}} $ range and the different colored lines and bands are predictions from MC models. Statistical and systematic uncertainties in the data are shown by vertical bars and shaded boxes, respectively. Figure adapted from Ref. [405] |
|
png pdf |
Figure 71-b:
Distribution of the ratio of the groomed jet splitting fraction in central PbPb data compared to a pp reference. Each panel corresponds to a different jet $ p_{\mathrm{T}} $ range and the different colored lines and bands are predictions from MC models. Statistical and systematic uncertainties in the data are shown by vertical bars and shaded boxes, respectively. Figure adapted from Ref. [405] |
|
png pdf |
Figure 72:
Distribution of the ratio of the groomed jet mass, $ M_{\mathrm{g}} $, in central PbPb data compared to the pp reference for two different grooming criteria in four ranges of jet $ p_{\mathrm{T}} $. The left panel shows more stringent grooming criteria, while the right panel shows the same measurement for the default grooming requirements. The different lines represent MC predictions; they show deviations from the data at larger masses. Statistical and systematic uncertainties in the data are shown by vertical bars and shaded boxes, respectively. Figure adapted from Ref. [407] |
|
png pdf |
Figure 72-a:
Distribution of the ratio of the groomed jet mass, $ M_{\mathrm{g}} $, in central PbPb data compared to the pp reference for two different grooming criteria in four ranges of jet $ p_{\mathrm{T}} $. The left panel shows more stringent grooming criteria, while the right panel shows the same measurement for the default grooming requirements. The different lines represent MC predictions; they show deviations from the data at larger masses. Statistical and systematic uncertainties in the data are shown by vertical bars and shaded boxes, respectively. Figure adapted from Ref. [407] |
|
png pdf |
Figure 72-b:
Distribution of the ratio of the groomed jet mass, $ M_{\mathrm{g}} $, in central PbPb data compared to the pp reference for two different grooming criteria in four ranges of jet $ p_{\mathrm{T}} $. The left panel shows more stringent grooming criteria, while the right panel shows the same measurement for the default grooming requirements. The different lines represent MC predictions; they show deviations from the data at larger masses. Statistical and systematic uncertainties in the data are shown by vertical bars and shaded boxes, respectively. Figure adapted from Ref. [407] |
|
png pdf |
Figure 73:
Nuclear modification factors of inclusive charged particles, prompt $ \mathrm{D^0} $ and $ {\mathrm{B}^{+}} $, and nonprompt $ \mathrm{D^0} $ and $ \mathrm{J}/\psi $ mesons, as a function of their $ p_{\mathrm{T}} $ in PbPb collisions. Figure adapted from Ref. [351,409,410,411,412] |
|
png pdf |
Figure 73-a:
Nuclear modification factors of inclusive charged particles, prompt $ \mathrm{D^0} $ and $ {\mathrm{B}^{+}} $, and nonprompt $ \mathrm{D^0} $ and $ \mathrm{J}/\psi $ mesons, as a function of their $ p_{\mathrm{T}} $ in PbPb collisions. Figure adapted from Ref. [351,409,410,411,412] |
|
png pdf |
Figure 73-b:
Nuclear modification factors of inclusive charged particles, prompt $ \mathrm{D^0} $ and $ {\mathrm{B}^{+}} $, and nonprompt $ \mathrm{D^0} $ and $ \mathrm{J}/\psi $ mesons, as a function of their $ p_{\mathrm{T}} $ in PbPb collisions. Figure adapted from Ref. [351,409,410,411,412] |
|
png pdf |
Figure 74:
Left: Azimuthal anisotropy coefficient $ v_2 $ of inclusive charged particles, prompt $ \mathrm{D^0} $, and nonprompt $ \mathrm{D^0} $ and $ \mathrm{J}/\psi $ mesons as a function of $ p_{\mathrm{T}} $ in PbPb collisions. Right: Prompt $ \mathrm{D^0} $ meson \vtwo2, \vtwo4 and their ratio as functions of centrality. Figure adapted from Ref. [361,147,146,148,413] |
|
png pdf |
Figure 74-a:
Left: Azimuthal anisotropy coefficient $ v_2 $ of inclusive charged particles, prompt $ \mathrm{D^0} $, and nonprompt $ \mathrm{D^0} $ and $ \mathrm{J}/\psi $ mesons as a function of $ p_{\mathrm{T}} $ in PbPb collisions. Right: Prompt $ \mathrm{D^0} $ meson \vtwo2, \vtwo4 and their ratio as functions of centrality. Figure adapted from Ref. [361,147,146,148,413] |
|
png pdf |
Figure 74-b:
Left: Azimuthal anisotropy coefficient $ v_2 $ of inclusive charged particles, prompt $ \mathrm{D^0} $, and nonprompt $ \mathrm{D^0} $ and $ \mathrm{J}/\psi $ mesons as a function of $ p_{\mathrm{T}} $ in PbPb collisions. Right: Prompt $ \mathrm{D^0} $ meson \vtwo2, \vtwo4 and their ratio as functions of centrality. Figure adapted from Ref. [361,147,146,148,413] |
|
png pdf |
Figure 75:
Distributions of $ \mathrm{D^0} $ mesons in jets, as a function of the distance from the jet axis. The ratios of the $ \mathrm{D^0} $ meson radial distributions in PbPb and pp data are shown in the middle panel, whereas in the lower panel the ratios of the $ \mathrm{D^0} $ meson radial distributions of pp over the two MC event generators are presented. Figure adapted from Ref. [421] |
|
png pdf |
Figure 75-a:
Distributions of $ \mathrm{D^0} $ mesons in jets, as a function of the distance from the jet axis. The ratios of the $ \mathrm{D^0} $ meson radial distributions in PbPb and pp data are shown in the middle panel, whereas in the lower panel the ratios of the $ \mathrm{D^0} $ meson radial distributions of pp over the two MC event generators are presented. Figure adapted from Ref. [421] |
|
png pdf |
Figure 75-b:
Distributions of $ \mathrm{D^0} $ mesons in jets, as a function of the distance from the jet axis. The ratios of the $ \mathrm{D^0} $ meson radial distributions in PbPb and pp data are shown in the middle panel, whereas in the lower panel the ratios of the $ \mathrm{D^0} $ meson radial distributions of pp over the two MC event generators are presented. Figure adapted from Ref. [421] |
|
png pdf |
Figure 75-c:
Distributions of $ \mathrm{D^0} $ mesons in jets, as a function of the distance from the jet axis. The ratios of the $ \mathrm{D^0} $ meson radial distributions in PbPb and pp data are shown in the middle panel, whereas in the lower panel the ratios of the $ \mathrm{D^0} $ meson radial distributions of pp over the two MC event generators are presented. Figure adapted from Ref. [421] |
|
png pdf |
Figure 76:
The $ p_{\mathrm{T}} $-differential cross sections for prompt $ \Lambda_{c}^{+} $ baryon production in pp collisions, together with model calculations. Figure adapted from Ref. [422] |
|
png pdf |
Figure 77:
Left: The ratio of $ \mathrm{B}_{s}^{0} $ and $ {\mathrm{B}^{+}} $ production yields as a function of $ p_{\mathrm{T}} $ in pp and PbPb collisions, together with model calculations. Right: The nuclear modification factor of $ \mathrm{B}_{c}^{+} $ and other hadrons in PbPb collisions. Figure adapted from Ref. [428,429] |
|
png pdf |
Figure 77-a:
Left: The ratio of $ \mathrm{B}_{s}^{0} $ and $ {\mathrm{B}^{+}} $ production yields as a function of $ p_{\mathrm{T}} $ in pp and PbPb collisions, together with model calculations. Right: The nuclear modification factor of $ \mathrm{B}_{c}^{+} $ and other hadrons in PbPb collisions. Figure adapted from Ref. [428,429] |
|
png pdf |
Figure 77-b:
Left: The ratio of $ \mathrm{B}_{s}^{0} $ and $ {\mathrm{B}^{+}} $ production yields as a function of $ p_{\mathrm{T}} $ in pp and PbPb collisions, together with model calculations. Right: The nuclear modification factor of $ \mathrm{B}_{c}^{+} $ and other hadrons in PbPb collisions. Figure adapted from Ref. [428,429] |
|
png pdf |
Figure 78:
The yield ratio $ \rho^{\mathrm{Pb}\mathrm{Pb}} $ of prompt \HepParticleResonanceX3872 over $\psi \text{(2S) } $ production in pp and PbPb collisions as a function of $ p_{\mathrm{T}} $. Figure adapted from Ref. [431] |
|
png pdf |
Figure 79:
Upper: Nuclear modification factors, as a function of the mean number of participants, for the promptly-produced $ \mathrm{J}/\psi $ and $\psi \text{(2S) } $ mesons (left), as well as for the $ \Upsilon{\textrm{(1S)}} $, $ \Upsilon{\textrm{(2S)}} $, and $ \Upsilon{\textrm{(3S)}} $ (right), as measured from pp and PbPb data at 5.02 TeV. Lower: Corresponding \PGyP2S/ $ \mathrm{J}/\psi $ (left) and $ \Upsilon{\textrm{(3S)}} $/$ \Upsilon{\textrm{(2S)}} $ (right) double-ratios. Figure adapted from Ref. [412,470,471] |
|
png pdf |
Figure 80:
The dimuon invariant mass distribution measured in PbPb collisions when integrating over the full kinematic range of $ p_{\mathrm{T}} < $ 30 GeV and $ |y| < $ 2.4. The solid curves show the fit results, and the orange dashed and blue dash-dotted curves display the three $ \Upsilon $ states and the background, respectively. The inset shows the region around the $ \Upsilon{\textrm{(3S)}} $ meson mass. Figure adapted from Ref. [470] |
|
png pdf |
Figure 81:
Normalized $ z $ distribution of $ \mathrm{J}/\psi $ mesons in jets measured in pp collisions at 5.02 TeV, compared to prompt and nonprompt $ \mathrm{J}/\psi $ in PYTHIA8. Figure adapted from Ref. [473] |
|
png pdf |
Figure 82:
Nuclear modification factors $ R_{\mathrm{AA}} $ for the promptly-produced $ \mathrm{J}/\psi $, as a function of $ p_{\mathrm{T}} $, compared with $ \mathrm{D^0} $ mesons (left) and as a function of $ z $ (right), as measured from pp and PbPb data at 5.02 TeV. Figure adapted from Ref. [409,412,473] |
|
png pdf |
Figure 82-a:
Nuclear modification factors $ R_{\mathrm{AA}} $ for the promptly-produced $ \mathrm{J}/\psi $, as a function of $ p_{\mathrm{T}} $, compared with $ \mathrm{D^0} $ mesons (left) and as a function of $ z $ (right), as measured from pp and PbPb data at 5.02 TeV. Figure adapted from Ref. [409,412,473] |
|
png pdf |
Figure 82-b:
Nuclear modification factors $ R_{\mathrm{AA}} $ for the promptly-produced $ \mathrm{J}/\psi $, as a function of $ p_{\mathrm{T}} $, compared with $ \mathrm{D^0} $ mesons (left) and as a function of $ z $ (right), as measured from pp and PbPb data at 5.02 TeV. Figure adapted from Ref. [409,412,473] |
|
png pdf |
Figure 83:
The prompt $ \mathrm{J}/\psi $ $ v_2 $ as a function of $ p_{\mathrm{T}} $ (left) and $ N_\text{part} $ (right), in PbPb collisions at 5.02 TeV. Figure adapted from Ref. [413] |
|
png pdf |
Figure 84:
Left: Pseudorapidity density of charged hadrons in the range $ |\eta_{\mathrm{lab}}| < $ 2.4 in pPb collisions at 8.16 TeV. The results are compared to predictions from the MC event generators EPOS LHC [476,123] (v3400), HIJING [124] (versions 1.3 [477] and 2.1 [478]), and DPMJET-III [479], as well as from the KLN model [257]. The shaded boxes around the data points indicate their systematic uncertainties. The proton beam goes in the positive $ \eta_{\mathrm{lab}} $ direction. Right: Comparison of the measured density at midrapidity, scaled by $ N_\text{part} $ in pPb [480,481], $ \mathrm{p}\mathrm{Au} $ [482], $ \text{dAu} $ [483,484,485] and central heavy ion collisions [234,486,487,488,489,490,491,492,493,494,495,111,484,496,497], as well as NSD [239,498,238,497,499,236,235] and inelastic [500,238,237,234,501] pp collisions. The dashed curves, included to guide the eye, are from Refs. [237,494]. |
|
png pdf |
Figure 84-a:
Left: Pseudorapidity density of charged hadrons in the range $ |\eta_{\mathrm{lab}}| < $ 2.4 in pPb collisions at 8.16 TeV. The results are compared to predictions from the MC event generators EPOS LHC [476,123] (v3400), HIJING [124] (versions 1.3 [477] and 2.1 [478]), and DPMJET-III [479], as well as from the KLN model [257]. The shaded boxes around the data points indicate their systematic uncertainties. The proton beam goes in the positive $ \eta_{\mathrm{lab}} $ direction. Right: Comparison of the measured density at midrapidity, scaled by $ N_\text{part} $ in pPb [480,481], $ \mathrm{p}\mathrm{Au} $ [482], $ \text{dAu} $ [483,484,485] and central heavy ion collisions [234,486,487,488,489,490,491,492,493,494,495,111,484,496,497], as well as NSD [239,498,238,497,499,236,235] and inelastic [500,238,237,234,501] pp collisions. The dashed curves, included to guide the eye, are from Refs. [237,494]. |
|
png pdf |
Figure 84-b:
Left: Pseudorapidity density of charged hadrons in the range $ |\eta_{\mathrm{lab}}| < $ 2.4 in pPb collisions at 8.16 TeV. The results are compared to predictions from the MC event generators EPOS LHC [476,123] (v3400), HIJING [124] (versions 1.3 [477] and 2.1 [478]), and DPMJET-III [479], as well as from the KLN model [257]. The shaded boxes around the data points indicate their systematic uncertainties. The proton beam goes in the positive $ \eta_{\mathrm{lab}} $ direction. Right: Comparison of the measured density at midrapidity, scaled by $ N_\text{part} $ in pPb [480,481], $ \mathrm{p}\mathrm{Au} $ [482], $ \text{dAu} $ [483,484,485] and central heavy ion collisions [234,486,487,488,489,490,491,492,493,494,495,111,484,496,497], as well as NSD [239,498,238,497,499,236,235] and inelastic [500,238,237,234,501] pp collisions. The dashed curves, included to guide the eye, are from Refs. [237,494]. |
|
png pdf |
Figure 85:
Average transverse momentum of identified charged hadrons in the range $ |y| < $ 1 as a function of the corrected track multiplicity for $ |\eta| < $ 2.4, for pp collisions (open symbols) at several energies [502] and for pPb collisions (filled symbols) at $ \sqrt{\smash[b]{s_{_{\mathrm{NN}}}}} = $ 5.02 TeV. Left: Results compared to predictions from event generators. Right: Comparison of pp, pPb, and PbPb data. The ranges of $ \langle p_{\mathrm{T}}\rangle $ values measured by ALICE in various centrality PbPb collisions at $ \sqrt{\smash[b]{s_{_{\mathrm{NN}}}}}= $ 2.76 TeV [503] are indicated with horizontal bands. |
|
png pdf |
Figure 85-a:
Average transverse momentum of identified charged hadrons in the range $ |y| < $ 1 as a function of the corrected track multiplicity for $ |\eta| < $ 2.4, for pp collisions (open symbols) at several energies [502] and for pPb collisions (filled symbols) at $ \sqrt{\smash[b]{s_{_{\mathrm{NN}}}}} = $ 5.02 TeV. Left: Results compared to predictions from event generators. Right: Comparison of pp, pPb, and PbPb data. The ranges of $ \langle p_{\mathrm{T}}\rangle $ values measured by ALICE in various centrality PbPb collisions at $ \sqrt{\smash[b]{s_{_{\mathrm{NN}}}}}= $ 2.76 TeV [503] are indicated with horizontal bands. |
|
png pdf |
Figure 85-b:
Average transverse momentum of identified charged hadrons in the range $ |y| < $ 1 as a function of the corrected track multiplicity for $ |\eta| < $ 2.4, for pp collisions (open symbols) at several energies [502] and for pPb collisions (filled symbols) at $ \sqrt{\smash[b]{s_{_{\mathrm{NN}}}}} = $ 5.02 TeV. Left: Results compared to predictions from event generators. Right: Comparison of pp, pPb, and PbPb data. The ranges of $ \langle p_{\mathrm{T}}\rangle $ values measured by ALICE in various centrality PbPb collisions at $ \sqrt{\smash[b]{s_{_{\mathrm{NN}}}}}= $ 2.76 TeV [503] are indicated with horizontal bands. |
|
png pdf |
Figure 85-c:
Average transverse momentum of identified charged hadrons in the range $ |y| < $ 1 as a function of the corrected track multiplicity for $ |\eta| < $ 2.4, for pp collisions (open symbols) at several energies [502] and for pPb collisions (filled symbols) at $ \sqrt{\smash[b]{s_{_{\mathrm{NN}}}}} = $ 5.02 TeV. Left: Results compared to predictions from event generators. Right: Comparison of pp, pPb, and PbPb data. The ranges of $ \langle p_{\mathrm{T}}\rangle $ values measured by ALICE in various centrality PbPb collisions at $ \sqrt{\smash[b]{s_{_{\mathrm{NN}}}}}= $ 2.76 TeV [503] are indicated with horizontal bands. |
|
png pdf |
Figure 86:
Panels (a), (b), and (c) show the 2D two-particle correlation functions for pairs of charged particles with 1 $ < p_{\mathrm{T}} < $ 3 GeV for high multiplicity events in pp at 7 TeV and pPb at 5.02 TeV, as well as peripheral PbPb collisions at 2.76 TeV. Panel (d) displays the ridge yield as a function of multiplicity in pp, pPb, and PbPb collisions. The vertical bars and shaded boxes denote the statistical and systematic uncertainties, respectively. Figure adapted from Ref. [303,306,110,304] |
|
png pdf |
Figure 87:
Left: The $ v_2\{2, |\Delta\eta| > 2\} $, $ v_2^\text{sub}\{2, |\Delta\eta| > 2\} $, $ v_2\{4\} $, and $ v_2\{6\} $ values as functions of $ N_\text{trk}^\text{offline} $ for charged particles, averaged over 0.3 $ < p_{\mathrm{T}} < $ 3.0 GeV and $ |\eta| < $ 2.4, in pp collisions at 13 TeV. Middle: The $ v_2\{2, |\Delta\eta| > 2\} $, $ v_2^\text{sub}\{2, |\Delta\eta| > 2\} $, $ v_2\{4\} $, $ v_2\{6\} $, $ v_2\{8\} $, and $ v_2\{\mathrm{LYZ}\} $ values in pPb collisions at 5 TeV. Right: The $ v_2\{2, |\Delta\eta| > 2\} $, $ v_2^\text{sub}\{2, |\Delta\eta| > 2\} $, $ v_2\{4\} $, $ v_2\{6\} $, $ v_2\{8\} $, and $ v_2\{\mathrm{LYZ}\} $ values in PbPb collisions at 2.76 TeV. The vertical bars and shaded boxes for $ v_2^\text{sub}\{2, |\Delta\eta| > 2\} $ and $ v_2\{4\} $ denote the statistical and systematic uncertainties, respectively, with the former generally being smaller than the symbols. For $ v_2\{6\} $, $ v_2\{8\} $, and $ v_2\{\mathrm{LYZ}\} $, vertical bars show statistical uncertainties and systematic uncertainties are shown by green, red, and gray shaded bands, respectively. Figure adapted from Ref. [305] |
|
png pdf |
Figure 88:
Cumulant ratios $ v_2\{6\}/ v_2\{4\} $ (upper) and $ v_2\{8\}/ v_2\{6\} $ (lower) as functions of $ v_2\{4\}/v^{\text{sub}}_2\{2\} $ in pPb collisions at 5.02 and 8.16 TeV. The solid curves show the expected behavior based on a hydrodynamics-motivated study of the role of initial-state fluctuations [508]. Figure adapted from Ref. [509] |
|
png pdf |
Figure 89:
The $\mathrm{SC}(2,3)$ (left panel) and $\mathrm{SC}(2,3)$ (right panel) distributions as functions of $ N_\text{trk}^\text{offline} $ from methods using no (open black circles), 2 (full blue circles), 3 (red squares), and 4 (green crosses) subevents for pPb at 8.16 TeV. Statistical and systematic uncertainties are shown by vertical bars and shaded boxes, respectively. Figure adapted from Ref. [510] |
|
png pdf |
Figure 90:
Upper: The $ v_2^{\text{sub}} $ values for prompt $ \mathrm{J}/\psi $ mesons at forward rapidities ($ -2.86 < y_{\text{cm}} < - $ 1.86 or 0.94 $ < y_{\text{cm}} < $ 1.94), as well as for $ \mathrm{K^0_S} $ and $ \Lambda $ hadrons, and prompt $ \mathrm{D^0} $ mesons at midrapidity ($ -1.46 < y_{\text{cm}} < $ 0.54), as a function of $ p_{\mathrm{T}} $ for pPb collisions at $ \sqrt{\smash[b]{s_{_{\mathrm{NN}}}}} = $ 8.16 TeV with 185 $ \leq N_\text{trk}^\text{offline} < $ 250. Lower: The $ n_\mathrm{q} $-normalized $ v_2^{\text{sub}} $ results. The vertical bars correspond to statistical uncertainties, while the shaded boxes denote the systematic uncertainties. Figure adapted from Ref. [524] |
|
png pdf |
Figure 91:
Results of $ v_2^{\text{sub}} $ for prompt $ \mathrm{D^0} $ mesons, as a function of $ p_{\mathrm{T}} $ for $ |y_{\text{lab}}| < $ 1, with $ N_\text{trk}^\text{offline} \geq $ 100 in pp collisions at $ \sqrt{\smash[b]{s}} = $ 13 TeV. The results for charged particles, $ \mathrm{K^0_S} $ mesons, and $ \Lambda $ baryons are shown for comparison. Vertical bars correspond to the statistical uncertainties, while the shaded boxes denote the systematic uncertainties. The horizontal bars represent the width of the $ p_{\mathrm{T}} $ bins for prompt $ \mathrm{D^0} $ mesons. Figure adapted from Ref. [525] |
|
png pdf |
Figure 92:
Results of $ v_2^{\text{sub}} $ for prompt $ \mathrm{D^0} $ mesons, as a function of event multiplicity for three different $ p_{\mathrm{T}} $ ranges, with $ |y_{\text{lab}}| < $ 1 in pp collisions at $ \sqrt{\smash[b]{s}} = $ 13 TeV, and pPb collisions at $ \sqrt{\smash[b]{s_{_{\mathrm{NN}}}}} = $ 8.16 TeV. The vertical bars correspond to statistical uncertainties, while the shaded boxes denote the systematic uncertainties. Vertical bars extending beyond the y-axis are symmetric with respect to the central values. The horizontal bars represent the width of the $ N_\text{trk}^\text{offline} $ bins. The right-most points with right-hand arrows correspond to $ N_\text{trk}^\text{offline}\geq $ 100 for pp collisions and $ N_\text{trk}^\text{offline}\geq $ 250 for pPb collisions. Figure adapted from Ref. [525] |
|
png pdf |
Figure 93:
Results of $ v_2^{\text{sub}} $ for prompt and nonprompt $ \mathrm{D^0} $ mesons, as well as $ \mathrm{K^0_S} $ mesons, $ \Lambda $ baryons for $ |y_{\text{lab}}| < $ 1, and prompt $ \mathrm{J}/\psi $ mesons for 1.2 $ < |y_{\text{lab}}| < $ 2.4, as a function of $ p_{\mathrm{T}} $ with 185 $ \leq N_\text{trk}^\text{offline} < $ 250 in pPb collisions at $ \sqrt{\smash[b]{s_{_{\mathrm{NN}}}}} = $ 8.16 TeV. The vertical bars correspond to statistical uncertainties, while the shaded boxes denote the systematic uncertainties. The horizontal bars represent the width of the nonprompt $ \mathrm{D^0} p_{\mathrm{T}} $ bins. The red dashed, blue dash-dotted, and green solid lines show the theoretical calculations for prompt $ \mathrm{D^0} $, $ \mathrm{J}/\psi $, and nonprompt $ \mathrm{D^0} $ mesons, respectively, within the CGC framework [532,533]. Figure adapted from Ref. [525] |
|
png pdf |
Figure 93-a:
Results of $ v_2^{\text{sub}} $ for prompt and nonprompt $ \mathrm{D^0} $ mesons, as well as $ \mathrm{K^0_S} $ mesons, $ \Lambda $ baryons for $ |y_{\text{lab}}| < $ 1, and prompt $ \mathrm{J}/\psi $ mesons for 1.2 $ < |y_{\text{lab}}| < $ 2.4, as a function of $ p_{\mathrm{T}} $ with 185 $ \leq N_\text{trk}^\text{offline} < $ 250 in pPb collisions at $ \sqrt{\smash[b]{s_{_{\mathrm{NN}}}}} = $ 8.16 TeV. The vertical bars correspond to statistical uncertainties, while the shaded boxes denote the systematic uncertainties. The horizontal bars represent the width of the nonprompt $ \mathrm{D^0} p_{\mathrm{T}} $ bins. The red dashed, blue dash-dotted, and green solid lines show the theoretical calculations for prompt $ \mathrm{D^0} $, $ \mathrm{J}/\psi $, and nonprompt $ \mathrm{D^0} $ mesons, respectively, within the CGC framework [532,533]. Figure adapted from Ref. [525] |
|
png pdf |
Figure 93-b:
Results of $ v_2^{\text{sub}} $ for prompt and nonprompt $ \mathrm{D^0} $ mesons, as well as $ \mathrm{K^0_S} $ mesons, $ \Lambda $ baryons for $ |y_{\text{lab}}| < $ 1, and prompt $ \mathrm{J}/\psi $ mesons for 1.2 $ < |y_{\text{lab}}| < $ 2.4, as a function of $ p_{\mathrm{T}} $ with 185 $ \leq N_\text{trk}^\text{offline} < $ 250 in pPb collisions at $ \sqrt{\smash[b]{s_{_{\mathrm{NN}}}}} = $ 8.16 TeV. The vertical bars correspond to statistical uncertainties, while the shaded boxes denote the systematic uncertainties. The horizontal bars represent the width of the nonprompt $ \mathrm{D^0} p_{\mathrm{T}} $ bins. The red dashed, blue dash-dotted, and green solid lines show the theoretical calculations for prompt $ \mathrm{D^0} $, $ \mathrm{J}/\psi $, and nonprompt $ \mathrm{D^0} $ mesons, respectively, within the CGC framework [532,533]. Figure adapted from Ref. [525] |
|
png pdf |
Figure 94:
Single-particle azimuthal anisotropy $ v_2 $ versus $ N_\text{trk}^\text{offline} $ for $ {\gamma\mathrm{p}} $-enhanced and pPb samples in two $ p_{\mathrm{T}} $ regions. The systematic uncertainties are shown by the shaded bars in the two panels. Predictions from the PYTHIA8 and HIJING generators are shown for the $ {\gamma\mathrm{p}} $ and MB pPb samples respectively. For the $ {\gamma\mathrm{p}} $ events, the same $ N_\text{trk}^\text{offline} $ bin arrangement as in Fig. 96 is kept, while for pPb the bins $ [2, 5) $, $ [5, 10) $, $ [10, 15) $, and $ [15, 20) $ are used. |
|
png pdf |
Figure 95:
Left: Rapidity dependence of $ R_{\mathrm{p}\mathrm{b}} $ for prompt $\psi \text{(2S) } $ meson in the $ p_{\mathrm{T}} $ range 6.5 $ < p_{\mathrm{T}} < $ 10 GeV. For comparison, the prompt $ \mathrm{J}/\psi $ meson nuclear modification factor is also shown. Figure adapted from Ref. [540,541] Right: Nuclear modification factor of $ \Upsilon{\textrm{(1S)}} $ (red dots), $ \Upsilon{\textrm{(2S)}} $ (blue squares), and $ \Upsilon{\textrm{(3S)}} $ (green diamonds) at forward and backward rapidity [541]. For both panels, statistical and systematic uncertainties are represented with vertical bars and boxes, respectively. The fully correlated global uncertainty of 4.2%, affecting both charmonia equally, is displayed as the gray box around $ R_{\mathrm{p}\mathrm{b}}= $ 1. |
|
png pdf |
Figure 95-a:
Left: Rapidity dependence of $ R_{\mathrm{p}\mathrm{b}} $ for prompt $\psi \text{(2S) } $ meson in the $ p_{\mathrm{T}} $ range 6.5 $ < p_{\mathrm{T}} < $ 10 GeV. For comparison, the prompt $ \mathrm{J}/\psi $ meson nuclear modification factor is also shown. Figure adapted from Ref. [540,541] Right: Nuclear modification factor of $ \Upsilon{\textrm{(1S)}} $ (red dots), $ \Upsilon{\textrm{(2S)}} $ (blue squares), and $ \Upsilon{\textrm{(3S)}} $ (green diamonds) at forward and backward rapidity [541]. For both panels, statistical and systematic uncertainties are represented with vertical bars and boxes, respectively. The fully correlated global uncertainty of 4.2%, affecting both charmonia equally, is displayed as the gray box around $ R_{\mathrm{p}\mathrm{b}}= $ 1. |
|
png pdf |
Figure 95-b:
Left: Rapidity dependence of $ R_{\mathrm{p}\mathrm{b}} $ for prompt $\psi \text{(2S) } $ meson in the $ p_{\mathrm{T}} $ range 6.5 $ < p_{\mathrm{T}} < $ 10 GeV. For comparison, the prompt $ \mathrm{J}/\psi $ meson nuclear modification factor is also shown. Figure adapted from Ref. [540,541] Right: Nuclear modification factor of $ \Upsilon{\textrm{(1S)}} $ (red dots), $ \Upsilon{\textrm{(2S)}} $ (blue squares), and $ \Upsilon{\textrm{(3S)}} $ (green diamonds) at forward and backward rapidity [541]. For both panels, statistical and systematic uncertainties are represented with vertical bars and boxes, respectively. The fully correlated global uncertainty of 4.2%, affecting both charmonia equally, is displayed as the gray box around $ R_{\mathrm{p}\mathrm{b}}= $ 1. |
|
png pdf |
Figure 96:
Nuclear modification factors versus $ p_{\mathrm{T}} $ for an inclusive centrality selection for both PbPb and pPb collisions. The green and orange boxes show the systematic uncertainties for $ R_{\mathrm{p}\mathrm{A}} $ and $ R_{\mathrm{AA}} $, respectively, while the $ T_{\mathrm{p}\mathrm{A}} $, $ T_{\mathrm{AA}} $, and pp integrated luminosity uncertainties are shown as grey boxes around unity at low $ p_{\mathrm{T}} $. Statistical uncertainties are shown as vertical bars. Figure adapted from Ref. [351] |
|
png pdf |
Figure 97:
Average ratios of jet transverse momenta as a function of $ E_{\mathrm{T}}^{4 < |\eta| < 5.2} $. The inclusive HF activity results for pPb and PYTHIA+HIJING are shown as blue solid and black empty squares, respectively. The systematic (statistical) uncertainties are indicated by the yellow, grey, and blue boxes (vertical bars). Various theoretical calculations are shown by the open square and circles and the grey band at about 0.7. Figure adapted from Ref. [125] |
|
png pdf |
Figure 97-a:
Average ratios of jet transverse momenta as a function of $ E_{\mathrm{T}}^{4 < |\eta| < 5.2} $. The inclusive HF activity results for pPb and PYTHIA+HIJING are shown as blue solid and black empty squares, respectively. The systematic (statistical) uncertainties are indicated by the yellow, grey, and blue boxes (vertical bars). Various theoretical calculations are shown by the open square and circles and the grey band at about 0.7. Figure adapted from Ref. [125] |
|
png pdf |
Figure 97-b:
Average ratios of jet transverse momenta as a function of $ E_{\mathrm{T}}^{4 < |\eta| < 5.2} $. The inclusive HF activity results for pPb and PYTHIA+HIJING are shown as blue solid and black empty squares, respectively. The systematic (statistical) uncertainties are indicated by the yellow, grey, and blue boxes (vertical bars). Various theoretical calculations are shown by the open square and circles and the grey band at about 0.7. Figure adapted from Ref. [125] |
|
png pdf |
Figure 98:
Event display of a candidate $ \gamma\gamma\to\tau^{+}\tau^{-} $ event measured in a PbPb UPC at CMS. The event is reconstructed as corresponding to a leptonic $ \tau $ decay (red), $ \tau\to\mu\overline{\nu}_{\!\mu}\nu_{\!\tau} $, and a hadronic $ \tau $ decay (yellow), $ \tau\to\pi^{\pm}\pi^{\mp}\pi^{\pm}\nu_{\!\tau} $. Figure adapted from Ref. [549] |
|
png pdf jpg |
Figure 99:
Neutron multiplicity dependence of acoplanarity distributions from $ \gamma\gamma\to\mu^{+}\mu^{-} $ in ultraperipheral PbPb collisions at $ \sqrt{\smash[b]{s_{_{\mathrm{NN}}}}} = $ 5.02 TeV. The $ \alpha $ distributions are normalized to unit integral over their measured range. The dot-dot-dashed and dotted lines indicate the core and tail contributions, respectively. The vertical lines on data points depict the statistical uncertainties, while the systematic uncertainties and horizontal bin widths are shown as gray boxes. Figure adapted from Ref. [218] |
|
png pdf |
Figure 100:
Neutron multiplicity dependence of the (upper) average acoplanarity $ \langle \alpha^\text{core} \rangle $ and (lower) average invariant mass $ \langle m_{\mu\mu} \rangle $ of $ \mu^{+}\mu^{-} $ pairs in ultraperipheral PbPb collisions at $ \sqrt{\smash[b]{s_{_{\mathrm{NN}}}}} = $ 5.02 TeV. The vertical lines on data points depict the statistical uncertainties while the systematic uncertainties of the data are shown as shaded areas. The dot-dashed line shows the STARLIGHT MC prediction and the dashed line corresponds to the LO QED calculation of Ref. [571]. The calculation incorporating Sudakov radiative corrections is also compared to data in Ref. [218], leading to an overall better agreement. Figure adapted from Ref. [218] |
|
png pdf |
Figure 101:
Schematic diagrams of light-by-light scattering ($ \gamma\gamma \to \gamma\gamma $, left), QED dielectron ($ \gamma\gamma \to \mathrm{e}^+\mathrm{e}^- $, center), and central exclusive diphoton ($ \mathrm{g}\mathrm{g} \to \gamma\gamma $, right) production in ultraperipheral PbPb collisions. The ``($ \ast $)'' superscript indicates a potential electromagnetic excitation of the outgoing ions. Figure adapted from Ref. [548] |
|
png pdf |
Figure 102:
Acoplanarity distribution of exclusive $ \mathrm{e}^+\mathrm{e}^- $ events measured in data (circles), compared to the expected QED $ \mathrm{e}^+\mathrm{e}^- $ spectrum in a LO MC simulation (histogram). The curve shows a $ \chi^2 $ fit to the sum of two exponential distributions, corresponding to exclusive $ \mathrm{e}^+\mathrm{e}^- $ plus any residual (nonacoplanar) background pairs. The error bars represent statistical uncertainties while the hashed bands around the histogram represent the systematic and MC statistical uncertainties added in quadrature. The horizontal bars indicate the bin size. Figure adapted from Ref. [548] |
|
png pdf |
Figure 103:
Comparison of data (circles) and MC expectation (histogram) for the exclusive $ \mathrm{e}^+\mathrm{e}^- $ events passing the selection criteria, as a function of dielectron acoplanarity (upper left), mass (upper right), $ p_{\mathrm{T}} $ (lower left), and rapidity $ y $ (lower right). The error bars around the data points represent statistical uncertainties, while the hashed bands around the histograms represent the systematic and MC statistical uncertainties added in quadrature. The horizontal bars indicate the bin size. The ratio of the data to the MC expectation is shown in the lower panels. Figure adapted from Ref. [548] |
|
png pdf |
Figure 103-a:
Comparison of data (circles) and MC expectation (histogram) for the exclusive $ \mathrm{e}^+\mathrm{e}^- $ events passing the selection criteria, as a function of dielectron acoplanarity (upper left), mass (upper right), $ p_{\mathrm{T}} $ (lower left), and rapidity $ y $ (lower right). The error bars around the data points represent statistical uncertainties, while the hashed bands around the histograms represent the systematic and MC statistical uncertainties added in quadrature. The horizontal bars indicate the bin size. The ratio of the data to the MC expectation is shown in the lower panels. Figure adapted from Ref. [548] |
|
png pdf |
Figure 103-b:
Comparison of data (circles) and MC expectation (histogram) for the exclusive $ \mathrm{e}^+\mathrm{e}^- $ events passing the selection criteria, as a function of dielectron acoplanarity (upper left), mass (upper right), $ p_{\mathrm{T}} $ (lower left), and rapidity $ y $ (lower right). The error bars around the data points represent statistical uncertainties, while the hashed bands around the histograms represent the systematic and MC statistical uncertainties added in quadrature. The horizontal bars indicate the bin size. The ratio of the data to the MC expectation is shown in the lower panels. Figure adapted from Ref. [548] |
|
png pdf |
Figure 103-c:
Comparison of data (circles) and MC expectation (histogram) for the exclusive $ \mathrm{e}^+\mathrm{e}^- $ events passing the selection criteria, as a function of dielectron acoplanarity (upper left), mass (upper right), $ p_{\mathrm{T}} $ (lower left), and rapidity $ y $ (lower right). The error bars around the data points represent statistical uncertainties, while the hashed bands around the histograms represent the systematic and MC statistical uncertainties added in quadrature. The horizontal bars indicate the bin size. The ratio of the data to the MC expectation is shown in the lower panels. Figure adapted from Ref. [548] |
|
png pdf |
Figure 103-d:
Comparison of data (circles) and MC expectation (histogram) for the exclusive $ \mathrm{e}^+\mathrm{e}^- $ events passing the selection criteria, as a function of dielectron acoplanarity (upper left), mass (upper right), $ p_{\mathrm{T}} $ (lower left), and rapidity $ y $ (lower right). The error bars around the data points represent statistical uncertainties, while the hashed bands around the histograms represent the systematic and MC statistical uncertainties added in quadrature. The horizontal bars indicate the bin size. The ratio of the data to the MC expectation is shown in the lower panels. Figure adapted from Ref. [548] |
|
png pdf |
Figure 104:
Distributions of the single photon $ E_{\mathrm{T}} $ (upper left) and $ \eta $ (upper right), as well as diphoton invariant mass (lower left) and $ p_{\mathrm{T}} $ (lower right), measured for the exclusive events passing the selection criteria (squares), compared to the expectations of LbL scattering signal (orange), QED $ \mathrm{e}^+ \mathrm{e}^- $ MC generator predictions (yellow), and the CEP background (light blue). The error bars indicate statistical uncertainties. Figure adapted from Ref. [548] |
|
png pdf |
Figure 104-a:
Distributions of the single photon $ E_{\mathrm{T}} $ (upper left) and $ \eta $ (upper right), as well as diphoton invariant mass (lower left) and $ p_{\mathrm{T}} $ (lower right), measured for the exclusive events passing the selection criteria (squares), compared to the expectations of LbL scattering signal (orange), QED $ \mathrm{e}^+ \mathrm{e}^- $ MC generator predictions (yellow), and the CEP background (light blue). The error bars indicate statistical uncertainties. Figure adapted from Ref. [548] |
|
png pdf |
Figure 104-b:
Distributions of the single photon $ E_{\mathrm{T}} $ (upper left) and $ \eta $ (upper right), as well as diphoton invariant mass (lower left) and $ p_{\mathrm{T}} $ (lower right), measured for the exclusive events passing the selection criteria (squares), compared to the expectations of LbL scattering signal (orange), QED $ \mathrm{e}^+ \mathrm{e}^- $ MC generator predictions (yellow), and the CEP background (light blue). The error bars indicate statistical uncertainties. Figure adapted from Ref. [548] |
|
png pdf |
Figure 104-c:
Distributions of the single photon $ E_{\mathrm{T}} $ (upper left) and $ \eta $ (upper right), as well as diphoton invariant mass (lower left) and $ p_{\mathrm{T}} $ (lower right), measured for the exclusive events passing the selection criteria (squares), compared to the expectations of LbL scattering signal (orange), QED $ \mathrm{e}^+ \mathrm{e}^- $ MC generator predictions (yellow), and the CEP background (light blue). The error bars indicate statistical uncertainties. Figure adapted from Ref. [548] |
|
png pdf |
Figure 104-d:
Distributions of the single photon $ E_{\mathrm{T}} $ (upper left) and $ \eta $ (upper right), as well as diphoton invariant mass (lower left) and $ p_{\mathrm{T}} $ (lower right), measured for the exclusive events passing the selection criteria (squares), compared to the expectations of LbL scattering signal (orange), QED $ \mathrm{e}^+ \mathrm{e}^- $ MC generator predictions (yellow), and the CEP background (light blue). The error bars indicate statistical uncertainties. Figure adapted from Ref. [548] |
|
png pdf |
Figure 105:
Transverse momentum of the muon originating from the $ \tau_{\mu} $ candidate (upper left). Invariant mass of the three pions forming the $ \tau_{\text{3prong}} $ candidate (upper right). Invariant mass of the $ \tau^{+}\tau^{-} $ system (lower left). The $ \Delta\phi(\tau_{\mu},\tau_{\text{3prong}}) $ azimuthal difference (lower right). In all plots, the signal component (magenta histogram) is stacked on top of the background component (green histogram). The sum of signal and background is displayed by a blue line and the shaded area shows the statistical uncertainty. The data are represented with black points and the uncertainty is statistical only. The lower panels show the ratios of data to the signal-plus-background prediction and the shaded bands represent the statistical uncertainty in the prefit expectation. Figure adapted from Ref. [549] |
|
png pdf |
Figure 105-a:
Transverse momentum of the muon originating from the $ \tau_{\mu} $ candidate (upper left). Invariant mass of the three pions forming the $ \tau_{\text{3prong}} $ candidate (upper right). Invariant mass of the $ \tau^{+}\tau^{-} $ system (lower left). The $ \Delta\phi(\tau_{\mu},\tau_{\text{3prong}}) $ azimuthal difference (lower right). In all plots, the signal component (magenta histogram) is stacked on top of the background component (green histogram). The sum of signal and background is displayed by a blue line and the shaded area shows the statistical uncertainty. The data are represented with black points and the uncertainty is statistical only. The lower panels show the ratios of data to the signal-plus-background prediction and the shaded bands represent the statistical uncertainty in the prefit expectation. Figure adapted from Ref. [549] |
|
png pdf |
Figure 105-b:
Transverse momentum of the muon originating from the $ \tau_{\mu} $ candidate (upper left). Invariant mass of the three pions forming the $ \tau_{\text{3prong}} $ candidate (upper right). Invariant mass of the $ \tau^{+}\tau^{-} $ system (lower left). The $ \Delta\phi(\tau_{\mu},\tau_{\text{3prong}}) $ azimuthal difference (lower right). In all plots, the signal component (magenta histogram) is stacked on top of the background component (green histogram). The sum of signal and background is displayed by a blue line and the shaded area shows the statistical uncertainty. The data are represented with black points and the uncertainty is statistical only. The lower panels show the ratios of data to the signal-plus-background prediction and the shaded bands represent the statistical uncertainty in the prefit expectation. Figure adapted from Ref. [549] |
|
png pdf |
Figure 105-c:
Transverse momentum of the muon originating from the $ \tau_{\mu} $ candidate (upper left). Invariant mass of the three pions forming the $ \tau_{\text{3prong}} $ candidate (upper right). Invariant mass of the $ \tau^{+}\tau^{-} $ system (lower left). The $ \Delta\phi(\tau_{\mu},\tau_{\text{3prong}}) $ azimuthal difference (lower right). In all plots, the signal component (magenta histogram) is stacked on top of the background component (green histogram). The sum of signal and background is displayed by a blue line and the shaded area shows the statistical uncertainty. The data are represented with black points and the uncertainty is statistical only. The lower panels show the ratios of data to the signal-plus-background prediction and the shaded bands represent the statistical uncertainty in the prefit expectation. Figure adapted from Ref. [549] |
|
png pdf |
Figure 105-d:
Transverse momentum of the muon originating from the $ \tau_{\mu} $ candidate (upper left). Invariant mass of the three pions forming the $ \tau_{\text{3prong}} $ candidate (upper right). Invariant mass of the $ \tau^{+}\tau^{-} $ system (lower left). The $ \Delta\phi(\tau_{\mu},\tau_{\text{3prong}}) $ azimuthal difference (lower right). In all plots, the signal component (magenta histogram) is stacked on top of the background component (green histogram). The sum of signal and background is displayed by a blue line and the shaded area shows the statistical uncertainty. The data are represented with black points and the uncertainty is statistical only. The lower panels show the ratios of data to the signal-plus-background prediction and the shaded bands represent the statistical uncertainty in the prefit expectation. Figure adapted from Ref. [549] |
|
png pdf |
Figure 106:
The $ \sigma(\gamma\gamma\to\tau^{+}\tau^{-}) $ cross section, measured in a fiducial phase space region at $ \sqrt{\smash[b]{s_{_{\mathrm{NN}}}}} = $ 5.02 TeV. The theoretical predictions [581,582] are computed with leading order accuracy in QED and are represented by the vertical solid lines, which can be compared with the vertical dotted line representing this measurement. The outer blue (inner red) error bars represent the total (statistical) uncertainties, whereas the green hatched bands correspond to the uncertainty in the theoretical predictions, as described in the text. The potential electromagnetic excitation of the outgoing Pb ions is denoted by $ (^{\ast}) $. Figure adapted from Ref. [549] |
|
png pdf |
Figure 106-a:
The $ \sigma(\gamma\gamma\to\tau^{+}\tau^{-}) $ cross section, measured in a fiducial phase space region at $ \sqrt{\smash[b]{s_{_{\mathrm{NN}}}}} = $ 5.02 TeV. The theoretical predictions [581,582] are computed with leading order accuracy in QED and are represented by the vertical solid lines, which can be compared with the vertical dotted line representing this measurement. The outer blue (inner red) error bars represent the total (statistical) uncertainties, whereas the green hatched bands correspond to the uncertainty in the theoretical predictions, as described in the text. The potential electromagnetic excitation of the outgoing Pb ions is denoted by $ (^{\ast}) $. Figure adapted from Ref. [549] |
|
png pdf |
Figure 106-b:
The $ \sigma(\gamma\gamma\to\tau^{+}\tau^{-}) $ cross section, measured in a fiducial phase space region at $ \sqrt{\smash[b]{s_{_{\mathrm{NN}}}}} = $ 5.02 TeV. The theoretical predictions [581,582] are computed with leading order accuracy in QED and are represented by the vertical solid lines, which can be compared with the vertical dotted line representing this measurement. The outer blue (inner red) error bars represent the total (statistical) uncertainties, whereas the green hatched bands correspond to the uncertainty in the theoretical predictions, as described in the text. The potential electromagnetic excitation of the outgoing Pb ions is denoted by $ (^{\ast}) $. Figure adapted from Ref. [549] |
|
png pdf |
Figure 106-c:
The $ \sigma(\gamma\gamma\to\tau^{+}\tau^{-}) $ cross section, measured in a fiducial phase space region at $ \sqrt{\smash[b]{s_{_{\mathrm{NN}}}}} = $ 5.02 TeV. The theoretical predictions [581,582] are computed with leading order accuracy in QED and are represented by the vertical solid lines, which can be compared with the vertical dotted line representing this measurement. The outer blue (inner red) error bars represent the total (statistical) uncertainties, whereas the green hatched bands correspond to the uncertainty in the theoretical predictions, as described in the text. The potential electromagnetic excitation of the outgoing Pb ions is denoted by $ (^{\ast}) $. Figure adapted from Ref. [549] |
|
png pdf |
Figure 106-d:
The $ \sigma(\gamma\gamma\to\tau^{+}\tau^{-}) $ cross section, measured in a fiducial phase space region at $ \sqrt{\smash[b]{s_{_{\mathrm{NN}}}}} = $ 5.02 TeV. The theoretical predictions [581,582] are computed with leading order accuracy in QED and are represented by the vertical solid lines, which can be compared with the vertical dotted line representing this measurement. The outer blue (inner red) error bars represent the total (statistical) uncertainties, whereas the green hatched bands correspond to the uncertainty in the theoretical predictions, as described in the text. The potential electromagnetic excitation of the outgoing Pb ions is denoted by $ (^{\ast}) $. Figure adapted from Ref. [549] |
|
png pdf |
Figure 107:
Comparison of the constraints on $ a_{\tau} $ at 68% CL from the analysis in Ref. [549] and the DELPHI experiment at LEP [585]. The projection to the integrated PbPb luminosity expected from the high-luminosity LHC program is included. Figure adapted from Ref. [549] |
|
png pdf |
Figure 107-a:
Comparison of the constraints on $ a_{\tau} $ at 68% CL from the analysis in Ref. [549] and the DELPHI experiment at LEP [585]. The projection to the integrated PbPb luminosity expected from the high-luminosity LHC program is included. Figure adapted from Ref. [549] |
|
png pdf |
Figure 107-b:
Comparison of the constraints on $ a_{\tau} $ at 68% CL from the analysis in Ref. [549] and the DELPHI experiment at LEP [585]. The projection to the integrated PbPb luminosity expected from the high-luminosity LHC program is included. Figure adapted from Ref. [549] |
|
png pdf |
Figure 107-c:
Comparison of the constraints on $ a_{\tau} $ at 68% CL from the analysis in Ref. [549] and the DELPHI experiment at LEP [585]. The projection to the integrated PbPb luminosity expected from the high-luminosity LHC program is included. Figure adapted from Ref. [549] |
|
png pdf |
Figure 107-d:
Comparison of the constraints on $ a_{\tau} $ at 68% CL from the analysis in Ref. [549] and the DELPHI experiment at LEP [585]. The projection to the integrated PbPb luminosity expected from the high-luminosity LHC program is included. Figure adapted from Ref. [549] |
|
png pdf |
Figure 108:
Exclusion limits at 95% CL in the ALP-photon coupling $ g_{\mathrm{a}\gamma} $ vs. ALP mass $ m_\mathrm{a} $ plane, for the operators $ \mathrm{a} F\widetilde{F}/4\Lambda $ assuming ALP coupling to photons only, derived in Refs. [587,593] from measurements at beam dumps [594], in $ \mathrm{e}^+\mathrm{e}^- $ collisions at LEP 1 [593] and LEP 2 [595], and in pp collisions at the LHC [574,596,597], and compared to the limits obtained from Ref. [548]. Figure adapted from Ref. [548] |
| Tables | |
|
png pdf |
Table 1:
Summary of HI data-taking periods during Runs 1 and 2. |
|
png pdf |
Table 2:
Summary of reference pp data-taking periods during Runs 1 and 2. To compare with the nucleon-nucleon-equivalent luminosities from Table 1, it is important to note that the listed integrated luminosities should be divided by factors of either $ \mathrm{A}^2 $ (for the PbPb case) or A (for the pPb case), where $ \mathrm{A}= $ 208 is the Pb mass number. |
|
png pdf |
Table 3:
Summary of low-PU pp data-taking periods during Runs 1 and 2. |
|
png pdf |
Table 4:
Input parameters and their uncertainties for the PbPb 5.02 TeV Glauber MC [122]. |
|
png pdf |
Table 5:
Geometric quantities and their systematic uncertainties averaged over centrality ranges in PbPb collisions at 5.02 TeV. |
|
png pdf |
Table 6:
Fraction of MB triggered events after event selections in each multiplicity bin, and the average multiplicity of reconstructed tracks per bin with $ |\eta| < $ 2.4 and $ p_{\mathrm{T}} > $ 0.4 GeV, before ($ N_\text{trk}^\text{offline} $) and after ($ N_\text{trk}^\text{corrected} $) acceptance and efficiency corrections, for pPb and PbPb collisions at 5.02 and 2.76 TeV, respectively [110]. |
| Summary |
| Discoveries and insights from the CMS heavy-ion physics program This review presents the first comprehensive summary of results from the CMS heavy ion physics program using data collected during the first two running periods of the LHC: 2010-2013 and 2015-2018. After having successfully addressed many experimental challenges (Section 2), in particular thanks to major advances in the areas of online event selection and offline physics object reconstruction, CMS performed a series of measurements that covered and extended those initially anticipated (Section 1.4). Those experimental results, reviewed in the previous sections of this paper, covered several topics, including high-density quantum chromodynamics, precision quantum electrodynamics, and even novel searches for phenomena beyond the standard model. These studies provide detailed macroscopic and microscopic probes of the quark-gluon plasma created at LHC energies, achieving the highest temperature and smallest baryon-chemical potential ever reached in a laboratory. The results have yielded groundbreaking insights across a wide range of quantum chromodynamics phenomena, representing some of the most important and novel findings in the history of the field. For example, CMS discovered that small collision systems, such as pp and pPb, can exhibit signs of collectivity, a phenomenon previously only associated with larger collision systems, such as PbPb. This discovery opened new avenues for understanding how fluidity and plasma-like properties emerge in QCD matter. Additionally, jet quenching measurements with fully reconstructed jets have set new standards, allowing us to experimentally assess medium modifications of entire parton showers beyond leading-hadron observables and to extract information about the medium response to hard probes. Studies of the nuclear modifications of the production yields of (fully reconstructed) beauty and charm hadrons, as well as of all five S-wave quarkonium states, including the rarely produced $ \Upsilon{\textrm{(3S)}} $, have addressed long-standing questions in the field. Furthermore, evidence for gluon antishadowing and saturation, along with novel results from rare QED processes and beyond standard model searches, vastly expanded the scope of these studies. The three-dimensional evolution of the QGP has been explored, and signals of chiral magnetic effects have been excluded to a large extent. In the following paragraphs, we offer more details on these achievements, which highlight the significant contributions of CMS to the progress of our understanding of high-density QCD. The study of the collectivity of charged hadrons in high-multiplicity pp and pPb collisions (Section 6) has provided the first observations of long-range correlations similar to those seen in HI collisions. The CMS Collaboration has offered further evidence of collectivity through multiparticle correlation and heavy-flavor meson analyses. The study of multiparticle correlations has been extended to smaller collision systems using ultraperipheral collisions, where the separation of the ions in the transverse plane strongly reduces the role of interactions mediated by quarks and gluons. One of the motivations for the small collision system studies was to search for evidence of jet quenching in these systems, to compare with the results obtained in collisions involving two heavy ions. Jet quenching effects have not been observed in pPb collisions. The initial state of the nucleons and nuclei before a HI collision strongly influences the subsequent evolution of the created medium. The density of quarks and gluons within a nucleon, as a function of the fraction of the nucleon momentum ($ x $) carried by each parton and the squared transverse momentum transfer ($ Q^2 $), is parameterized in terms of parton distribution functions. When the nucleon is embedded in a nucleus, this density is expressed as nuclear PDFs. Proton-lead collision data have been used to constrain the quark and gluon nuclear densities through measurements of the cross section of electroweak gauge bosons, dijets, and top quark pairs (Section 3). Some of these results have been used as input to the latest nPDF fits, leading to a significant improvement in the precision across an extended phase space region. For studying the small-$ x $ region, which is primarily driven by the evolution of the gluon density, the measurements of forward inclusive jet cross sections in pPb collisions and the cross sections for exclusive vector meson production in pPb and PbPb collisions have been used. As part of these studies, a technique has been developed to use forward neutron multiplicities in order to unfold the cross sections for exclusive vector meson production in the photon-nucleus frame, giving unprecedented access to the small-$ x $ regime. As expected, the LHC collaborations find a significant increase in the charged particle density and average transverse energy per charged particle compared to those found at RHIC energies, indicating a denser and hotter medium formed at the LHC. The CMS Collaboration has an extensive program for studying such bulk properties of the quark-gluon plasma in ultrarelativistic nuclear collisions and searching for novel phenomena (Section 4). Taking advantage of the wide pseudorapidity coverage of the CMS apparatus, long-range collective particle correlations (``flow'') are observed with unprecedented high precision. At the same time, factorization breaking in flow harmonics ($ v_n $) has been observed and studied for the first time by the CMS Collaboration and has been shown to have a strong sensitivity to the granularity of initial-state fluctuations. The observation of an $ \eta $-dependent factorization breaking has provided sensitivity to the longitudinal dynamics of the QGP. In addition, the shape and size of the systems produced in different colliding systems and at various LHC energies were also investigated via femtoscopic correlation measurements. In relativistic HI collisions leading to QGP formation, the resulting medium may experience intense magnetic fields produced by the colliding ions. If net chiral (left- or right-handed) quarks are present, a localized current can be generated, leading to a charge separation known as the chiral magnetic effect and, as a separate process, a long-wavelength collective excitation known as a chiral magnetic wave. The CMS Collaboration has unambiguously shown that the CME and CMW signals are too small to be observed with the currently available data sample. The experimental use of hard probes as a way to study the short-wavelength structure of the QGP has greatly advanced during the LHC Runs 1 and 2 (Section 5). With the initial studies, the depletion of particles with high transverse momentum observed in two-particle correlations, at BNL RHIC was confirmed to be the result of jet quenching with LHC measurements of dijet asymmetries using fully reconstructed jets. Further evidence comes from the suppression of jet and hadron yields in HI collisions compared to those expected by scaling up the results from pp collisions. The yield suppression is generally expressed in terms of the nuclear modification factor and can be associated with parton energy loss. Subsequent detailed studies of hadrons and jets have provided information regarding the path-length dependence of parton energy loss. The associated production of jets with electroweak bosons has made possible the determination of the absolute magnitude of the jet energy loss and these studies are now applied to test the survivor bias in inclusive jet samples. A multitude of measurements, including those of jet fragmentation functions and jet shapes, have established a qualitative picture in which quenching redistributes jet energy from the high-$ p_{\mathrm{T}} $ jet constituents to softer particles, and from small to large angles relative to the jet axis. Novel background subtraction algorithms and jet grooming techniques (which remove wide-angle soft radiation from a jet) allow the investigation of the early stages (early vacuum) of a parton shower in the QGP, well before its later medium-modified stage. These studies suggest that jet modifications can be sensitive to the earliest splittings in the evolution of the parton shower. However, further investigations are needed to properly account for a bias when selecting broader early-vacuum structures, and hence more heavily quenched jet momenta. The CMS Collaboration has also performed systematic studies of the mass dependence of quark energy loss by comparing the $ R_{\mathrm{AA}} $ and $ v_2 $ results for fully reconstructed light- and heavy-flavor (charm and beauty) hadrons over an unprecedentedly large $ p_{\mathrm{T}} $ range: the production yields of both light and heavy (high-$ p_{\mathrm{T}} $) quarks are seemingly suppressed in the QGP, the dependence on the quark mass decreasing as $ p_{\mathrm{T}} $ increases, as expected in the context of radiative energy loss. These studies led to unique measurements of $ {\mathrm{B}} $ mesons in heavy ion collisions. The hadronization of heavy-flavor particles has also been examined in detail using various ratios of their yields, including, for the first time, details of the internal structure of exotic hadrons in the presence of the QGP. The suppression patterns of the five S-wave quarkonia ($ \mathrm{J}/\psi $, \psi\text{(2S)}, and $ \Upsilon{\textrm{(n\mathrm{S})}} $, $ n= $ 1-3 ), never previously measured in a single experiment, strongly indicate that the nuclear suppression effects follow a sequential hierarchy reflecting the binding energy of the quarkonium state, as expected if the bound state is broken apart by the QGP medium. In addition to nuclear hadronic interactions, electromagnetic interactions can also be studied in ultraperipheral collisions (Section 7) since heavy ions with energies of several TeV per nucleon can interact through very intense electromagnetic fields. The Lorentz factor of the Pb beam at the LHC determines the maximum quasireal photon energy of approximately 80 GeV, leading to photon-photon collisions of center-of-mass energies up to 160 GeV, i.e.,, similar to those reached at LEP 2 but with $ Z^4 $ enhanced production cross sections. A broad range of precision SM and BSM processes has been studied in these photon-induced interactions, including exclusive high-mass dilepton ($ m_{\mathrm{l}^{+}\mathrm{l}^{-}}\gtrsim $ 5 GeV) production as well as the rare processes of light-by-light scattering and $ \tau $ lepton production. \subsectionFuture physics opportunities at CMS for high-density QCD measurements The QCD theory, a cornerstone of the standard model, remains a crucial aspect in our understanding of the strong interaction, albeit with lingering questions. The large values of strong coupling ($ \alpha_\mathrm{S} $) at low $ Q^2 $ render the traditional small-$ \alpha_\mathrm{S} $ perturbation theory inapplicable, such that collective phenomena in nuclei are nonperturbative. However, a coordinated application of the QCD parton model for conventional hadrons, an effort to grasp the exotic hadron spectroscopy, and advances from lattice QCD calculations hold promise of a fundamentally improved understanding of the characteristics of nuclei and their interactions and how deconfinement arises. Many unresolved questions remain regarding the precise nature of the initial state from which thermal QCD matter potentially emerges. How the parton density varies across the broad nuclear $ (x, Q^2) $ phase space is still only partially known and, in particular, no unambiguous evidence has yet been found to mark the onset of parton saturation. Additionally, it is not yet quantitatively understood how the collective properties of the quark-gluon plasma emerge at a microscopic level from the interactions among the individual quarks and gluons that make up this medium. Therefore, a crucial aspect of nuclear studies is the exploitation of future opportunities for high-density QCD studies with ion and proton beams. This will allow for the study of cold nuclear matter effects, the onset of nuclear saturation, and the emergence of long-range correlations. Examination of high-$ p_{\mathrm{T}} $ hadrons, fully reconstructed jets, heavy quarkonia, open heavy-flavor particles, as well as novel tools [598] to investigate more detailed aspects [599] of jet quenching, will provide additional information about the strongly coupled QGP, complementing the bulk and collective observables of the soft sector. Long-term initiatives, such as the use of top quarks to unravel the intricacies of jet quenching at different time scales of the QGP evolution, are in their early stages and are projected to rapidly progress with the increased luminosity anticipated in the LHC Run 3 (2022-2026) and beyond. A pilot run of oxygen-oxygen and proton-oxygen collisions will help answer the key prerequisite conditions for the onset of hot-medium effects [600]. It is also important to understand the level at which these effects could be phenomenologically limited by knowledge of nPDFs. At present, there is a lack of experimental oxygen data for comprehensive global nPDF fitting, underscoring the importance of proton-oxygen collisions in ensuring the accuracy of nPDFs for lighter ions. This also has far-reaching implications for modeling ultrahigh-energy (cosmic ray) phenomena, and is crucial for addressing significant unresolved questions in this field [601]. In addition to the larger luminosity, the detector upgrades planned for the CMS experiment in the LHC Run 4 (starting in year 2030) will significantly benefit the HI program. In particular, the increased $ \eta $ acceptance for charged particles resulting from tracker upgrades [602] will be very beneficial for bulk particle measurements. The upgraded Zero Degree Calorimeters [603] will further improve the existing triggering and identification of UPCs. The addition of time-of-flight particle identification capability, enabled by the Minimum Ionizing Particle Timing Detector [604], will allow identification between low-momentum charged hadrons, such as pions, kaons, and protons, which will improve the measurements of heavy-flavored particles and neutral strange hadrons, while improving the prospects for identified jet substructure measurements [605]. Proton-nucleus collisions have been an integral part of the LHC program since the 2011 and 2012 pilot runs. Within collinear factorization, constraints on our knowledge of the nuclear wave functions were extended at high $ Q^2 $ using dijet, heavy gauge boson, and top quark production processes available for the first time in nuclear collisions. Further insights have been gained at lower $ Q^2 $ with heavy-flavor production based on the assumption that the nuclear modification of their yields can be accurately incorporated in global analyses of nPDFs. In Run 2, the increased luminosity and detector improvements allowed for increased statistical precision, expanding the kinematic reach to encompass a broader range of accessible processes. Following the discoveries of collective-like effects in small collision systems, an order of magnitude higher integrated luminosity target for pPb collisions is set for Runs 3 and 4, including a large sample of pp collisions at the highest LHC energy, but with moderate pileup to reach the largest possible multiplicities over a full range of hadronic colliding systems. The large PbPb integrated luminosity in Runs 3 and 4, coupled with high-accuracy theoretical QED calculations and several detector upgrades, will maximize the potential of UPC measurements. Collectively, these factors will broaden the phase space region and overall scope of physics exploration in the studies of low-mass resonances, the continuum, and heavy-flavor mesons in UPC events. The primary goal will be to cover a much wider range of masses: the expected spectrum obtainable by CMS for a 13$\,\text{nb}^{-1}$ integrated luminosity run can extend to masses up to about 200 GeV, bridging the gap for BSM searches between PbPb and pp collisions (in the latter case, by employing the forward proton tagging technique) and overall extending the physics reach not only for (pseudo)scalar but also for tensor resonances [588]. Interestingly, these high-mass pairs correspond to two-photon interactions in, or in close proximity to the two nuclei, enhancing the effects owing to interactions with the medium and magnetic fields associated with the QGP. Lower masses should be accessible with looser requirements for track and electron $ p_{\mathrm{T}} $ and their overall identification quality [606]. Exclusive dimuon production can offer a precision measurement of photon fluxes associated with ion beams, and as such can be used to constrain predictions for all other UPC processes. Additional LbL scattering data will also be crucial in determining the nature of newly discovered resonant structures, such as the \HepParticleResonanceX6900 state [607]. Continuing the LHC HI physics program into the HL-LHC era [608,609] offers the opportunity to collide intermediate-mass nuclei ($ {e.g.} $, oxygen and argon), facilitating the study of the initial stage of ion collisions, small-$ x $ physics, and the determination of nPDFs. Furthermore, higher luminosities will allow vastly improved access to rare probes of the QGP. At the same time, it complements other key research efforts in the nuclear physics QCD community ($ {e.g.} $, ongoing efforts at RHIC [610] and the upcoming Electron-Ion Collider [611]), as well as technical developments in the high-energy and cosmic-ray [559] physics communities. Collectively, these initiatives will be pivotal in deepening our understanding of both QCD and QED, illuminating the intricate nature of matter in the early microseconds of the universe. |
| References | ||||
| 1 | CMS Collaboration | The CMS experiment at the CERN LHC | JINST 3 (2008) S08004 | |
| 2 | CMS Collaboration | CMS: The Compact Muon Solenoid: Letter of intent for a general purpose detector at the LHC | CDS | |
| 3 | G. Baur et al. | Heavy ion physics programme in CMS | Eur. Phys. J. 32S2 (2004) 69 | |
| 4 | CMS Collaboration | CMS physics technical design report: Addendum on high density QCD with heavy ions | JPG 34 (2007) 2307 | |
| 5 | R. Pasechnik and M. Šumbera | Phenomenological review on quark-gluon plasma: Concepts vs. observations | Universe 3 (2017) 7 | 1611.01533 |
| 6 | W. Busza, K. Rajagopal, and W. van der Schee | Heavy ion collisions: The big picture, and the big questions | Ann. Rev. Nucl. Part. Sci. 68 (2018) 339 | 1802.04801 |
| 7 | ALICE Collaboration | The ALICE experiment -- A journey through QCD | EPJC 84 (2024) 813 | 2211.04384 |
| 8 | ATLAS Collaboration | The ATLAS experiment at the CERN Large Hadron Collider | JINST 3 (2008) S08003 | |
| 9 | LHCb Collaboration | The LHCb detector at the LHC | JINST 3 (2008) S08005 | |
| 10 | C. A. Salgado et al. | Proton-nucleus collisions at the LHC: Scientific opportunities and requirements | JPG 39 (2012) 015010 | 1105.3919 |
| 11 | J. C. Collins and M. J. Perry | Superdense matter: Neutrons or asymptotically free quarks? | PRL 34 (1975) 1353 | |
| 12 | N. Cabibbo and G. Parisi | Exponential hadronic spectrum and quark liberation | PLB 59 (1975) 67 | |
| 13 | J. Engels, F. Karsch, H. Satz, and I. Montvay | High temperature SU(2) gluon matter on the lattice | PLB 101 (1981) 89 | |
| 14 | E. V. Shuryak | Theory of hadronic plasma | Sov. Phys. JETP 47 (1978) 212 | |
| 15 | HotQCD Collaboration | Chiral crossover in QCD at zero and non-zero chemical potentials | PLB 795 (2019) 15 | 1812.08235 |
| 16 | S. Borsanyi et al. | QCD crossover at finite chemical potential from lattice simulations | PRL 125 (2020) 052001 | 2002.02821 |
| 17 | F. Gross et al. | 50 years of Quantum Chromodynamics | EPJC 83 (2023) 1125 | 2212.11107 |
| 18 | H. R. Schmidt and J. Schukraft | The physics of ultrarelativistic heavy ion collisions | JPG 19 (1993) 1705 | |
| 19 | U. W. Heinz and M. Jacob | Evidence for a new state of matter: An assessment of the results from the CERN lead beam program | nucl-th/0002042 | |
| 20 | B. Muller and J. L. Nagle | Results from the relativistic heavy ion collider | Ann. Rev. Nucl. Part. Sci. 56 (2006) 93 | nucl-th/0602029 |
| 21 | B. Muller, J. Schukraft, and B. Wyslouch | First results from Pb+Pb collisions at the LHC | Ann. Rev. Nucl. Part. Sci. 62 (2012) 361 | 1202.3233 |
| 22 | U. W. Heinz | Concepts of heavy ion physics | in 2nd CERN-CLAF school of high energy physics, 2004 | hep-ph/0407360 |
| 23 | P. Braun-Munzinger and J. Stachel | The quest for the quark-gluon plasma | Nature 448 (2007) 302 | |
| 24 | E. Shuryak | Toward the theory of strongly coupled quark-gluon plasma | Prog. Theor. Phys. Suppl. 168 (2007) 320 | hep-ph/0703208 |
| 25 | J. W. Harris and B. Müller | ''QGP Signatures'' Revisited | 2308.05743 | |
| 26 | BRAHMS Collaboration | Quark gluon plasma and color glass condensate at RHIC? The perspective from the BRAHMS experiment | Nucl. Phys. A 757 (2005) 1 | nucl-ex/0410020 |
| 27 | PHENIX Collaboration | Formation of dense partonic matter in relativistic nucleus-nucleus collisions at RHIC: Experimental evaluation by the PHENIX collaboration | Nucl. Phys. A 757 (2005) 184 | nucl-ex/0410003 |
| 28 | PHOBOS Collaboration | The PHOBOS perspective on discoveries at RHIC | Nucl. Phys. A 757 (2005) 28 | nucl-ex/0410022 |
| 29 | STAR Collaboration | Experimental and theoretical challenges in the search for the quark gluon plasma: The STAR Collaboration's critical assessment of the evidence from RHIC collisions | Nucl. Phys. A 757 (2005) 102 | nucl-ex/0501009 |
| 30 | B. M. Mihalcea, V. S. Filinov, R. A. Syrovatka, and L. M. Vasilyak | The physics and applications of strongly coupled coulomb systems (plasmas) levitated in electrodynamic traps | Physics Reports 1016 (2023) 1 | |
| 31 | C. Gale, S. Jeon, and B. Schenke | Hydrodynamic modeling of heavy-ion collisions | Int. J. Mod. Phys. A 28 (2013) 1340011 | 1301.5893 |
| 32 | U. Heinz and R. Snellings | Collective flow and viscosity in relativistic heavy-ion collisions | Ann. Rev. Nucl. Part. Sci. 63 (2013) 123 | 1301.2826 |
| 33 | J. E. Bernhard, J. S. Moreland, and S. A. Bass | Bayesian estimation of the specific shear and bulk viscosity of quark-gluon plasma | Nature Phys. 15 (2019) 1113 | |
| 34 | N. Herrmann, J. P. Wessels, and T. Wienold | Collective flow in heavy ion collisions | Ann. Rev. Nucl. Part. Sci. 49 (1999) 581 | |
| 35 | H. Song, Y. Zhou, and K. Gajdosova | Collective flow and hydrodynamics in large and small systems at the LHC | Nucl. Sci. Tech. 28 (2017) 99 | 1703.00670 |
| 36 | K. Dusling, W. Li, and B. Schenke | Novel collective phenomena in high-energy proton--proton and proton--nucleus collisions | Int. J. Mod. Phys. E 25 (2016) 1630002 | 1509.07939 |
| 37 | J. L. Nagle and W. A. Zajc | Small system collectivity in relativistic hadronic and nuclear collisions | Ann. Rev. Nucl. Part. Sci. 68 (2018) 211 | 1801.03477 |
| 38 | A. Accardi et al. | Hard probes in heavy ion collisions at the LHC: Jet physics | hep-ph/0310274 | |
| 39 | L. Apolinário, Y.-J. Lee, and M. Winn | Heavy quarks and jets as probes of the QGP | Prog. Part. Nucl. Phys. 127 (2022) 103990 | 2203.16352 |
| 40 | G. Nijs and W. van der Schee | Predictions and postdictions for relativistic lead and oxygen collisions with the computational simulation code Trajectum | Phys. Rev. C 106 (2022) 044903 | 2110.13153 |
| 41 | C. Andrés et al. | Energy versus centrality dependence of the jet quenching parameter $ \hat{q} $ at RHIC and LHC: a new puzzle? | EPJC 76 (2016) 475 | 1606.04837 |
| 42 | J. M. Jowett and M. Schaumann | Overview of heavy ions in LHC Run 2 | in 9th LHC Operations Evian Workshop, 2019 | |
| 43 | J. M. Jowett et al. | First run of the LHC as a heavy ion collider | in Proceedings of the 2nd International Particle Accelerator Conference, 2011 IPAC 201 (2011) 1837 |
|
| 44 | J. M. Jowett et al. | Heavy ions in 2012 and the program up to 2022 | in Chamonix 2012 Workshop on LHC Performance, CERN Yellow Reports: Conference Proceedings, CERN, 2012 link |
|
| 45 | J. Jowett et al. | Proton-nucleus collisions in the LHC | in Proc. 4th International Particle Accelerator Conference, 2013 link |
|
| 46 | J. Jowett et al. | The 2015 heavy-ion run of the LHC | in Proc. 7th International Particle Accelerator Conference, 2016 link |
|
| 47 | J. Jowett et al. | The 2016 proton-nucleus run of the LHC | in Proc. 8th International Particle Accelerator Conference, 2017 link |
|
| 48 | CMS Collaboration | CMS luminosity measurement using nucleus-nucleus collisions at $ \sqrt{\smash[b]{s_{_{\mathrm{NN}}}}}= $ 5.02 TeV in 2018 | CMS Physics Analysis Summary, 2022 CMS-PAS-LUM-18-001 |
CMS-PAS-LUM-18-001 |
| 49 | CMS Collaboration | CMS luminosity measurement using 2016 proton-nucleus collisions at $ \sqrt{\smash[b]{s_{_{\mathrm{NN}}}}}= $ 8.16 TeV | CMS Physics Analysis Summary, 2018 CMS-PAS-LUM-17-002 |
CMS-PAS-LUM-17-002 |
| 50 | J. Jowett et al. | The 2018 heavy-ion run of the LHC | in Proc. 10th International Particle Accelerator Conference, 2019 link |
|
| 51 | CMS Collaboration | Performance of CMS muon reconstruction from proton-proton to heavy ion collisions | JINST 19 (2024) P09012 | CMS-MUO-21-001 2404.17377 |
| 52 | B. Ducloué et al. | Nonlinear evolution in QCD at high-energy beyond leading order | JHEP 04 (2019) 081 | 1902.06637 |
| 53 | D. G. d'Enterria | Experimental tests of small-$ x $ QCD | in Proceedings of the 9th Workshop on Non-Perturbative Quantum Chromodynamics, 42th Rencontres de Moriond, 2007 link |
0706.4182 |
| 54 | E. Iancu and R. Venugopalan | The color glass condensate and high-energy scattering in QCD | in Quark-gluon plasma 4, 2003 link |
hep-ph/0303204 |
| 55 | S. Abreu et al. | Heavy ion collisions at the lhc: Last call for predictions | in Proc. Workshop on heavy ion collisions at the LHC: Last call for predictions, 2008 link |
0711.0974 |
| 56 | N. Armesto | Predictions for the heavy ion program at the Large Hadron Collider | in Quark-gluon plasma 4, 2010 link |
0903.1330 |
| 57 | D. G. d'Enterria | High-$ p_{\mathrm{T}} $ leading hadron suppression in nuclear collisions at $ \sqrt{\smash[b]{s_{_{\mathrm{NN}}}}}= $ 20--200 GeV: Data versus parton energy loss models | EPJC 43 (2005) 295 | nucl-ex/0504001 |
| 58 | M. Djordjevic and M. Gyulassy | Where is the charm quark energy loss at RHIC? | PLB 560 (2003) 37 | nucl-th/0302069 |
| 59 | C. Lourenço | Open questions in quarkonium and electromagnetic probes | Nucl. Phys. A 783 (2007) 451 | nucl-ex/0612014 |
| 60 | PHENIX Collaboration | $ \mathrm{J}/\psi $ suppression at forward rapidity in AuAu collisions at $ \sqrt{\smash[b]{s_{_{\mathrm{NN}}}}}= $ 200 GeV | Phys. Rev. C 84 (2011) 054912 | 1103.6269 |
| 61 | M. Grabiak et al. | Electroweak physics at ultrarelativistic heavy ion colliders | JPG 15 (1989) 25 | |
| 62 | K. Hencken, D. Trautmann, and G. Baur | Photon-photon luminosities in relativistic heavy ion collisions at LHC energies | Z. Phys. C 68 (1995) 473 | nucl-th/9503004 |
| 63 | C. A. Bertulani and G. Baur | Electromagnetic processes in relativistic heavy ion collisions | Phys. Rept. 163 (1988) 299 | |
| 64 | F. Krauss, M. Greiner, and G. Soff | Photon and gluon induced processes in relativistic heavy ion collisions | Prog. Part. Nucl. Phys. 39 (1997) 503 | |
| 65 | G. Baur, K. Hencken, and D. Trautmann | Photon-photon physics in very peripheral collisions of relativistic heavy ions | JPG 24 (1998) 1657 | hep-ph/9804348 |
| 66 | G. Baur | Physics opportunities in ultraperipheral heavy ion collisions at LHC | in Proc. Workshop on Electromagnetic Probes of Fundamental Physics, 2001 | hep-ph/0112239 |
| 67 | C. A. Bertulani, S. R. Klein, and J. Nystrand | Physics of ultraperipheral nuclear collisions | Ann. Rev. Nucl. Part. Sci. 55 (2005) 271 | nucl-ex/0502005 |
| 68 | A. J. Baltz | The physics of ultraperipheral collisions at the LHC | Phys. Rept. 458 (2008) 1 | 0706.3356 |
| 69 | G. Baur et al. | Coherent gamma-gamma and gamma-A interactions in very peripheral collisions at relativistic ion colliders | Phys. Rept. 364 (2002) 359 | hep-ph/0112211 |
| 70 | A. A. Natale | Resonance production in peripheral heavy ion collisions | Mod. Phys. Lett. A 9 (1994) 2075 | |
| 71 | A. J. Baltz, S. R. Klein, and J. Nystrand | Coherent vector meson photoproduction with nuclear breakup in relativistic heavy ion collisions | PRL 89 (2002) 012301 | nucl-th/0205031 |
| 72 | S. R. Klein and J. Nystrand | Photoproduction of quarkonium in proton-proton and nucleus-nucleus collisions | PRL 92 (2004) 142003 | hep-ph/0311164 |
| 73 | K. J. Abraham, R. Laterveer, J. A. M. Vermaseren, and D. Zeppenfeld | Higgs production by heavy ion scattering | PLB 251 (1990) 186 | |
| 74 | D. d'Enterria and J.-P. Lansberg | Study of Higgs boson production and its $ \mathrm{b} \overline{\mathrm{b}} $ decay in gamma-gamma processes in proton-nucleus collisions at the LHC | PRD 81 (2010) 014004 | 0909.3047 |
| 75 | S. R. Klein, J. Nystrand, and R. Vogt | Photoproduction of top in peripheral heavy ion collisions | EPJC 21 (2001) 563 | hep-ph/0005157 |
| 76 | S. C. Ahern, J. W. Norbury, and W. J. Poyser | Graviton production in relativistic heavy ion collisions | PRD 62 (2000) 116001 | gr-qc/0009059 |
| 77 | A. A. Natale | Glueballs in peripheral heavy ion collisions | PLB 362 (1995) 177 | hep-ph/9509280 |
| 78 | J. Rau, B. Muller, W. Greiner, and G. Soff | Production of supersymmetric particles in ultrarelativistic heavy ion collisions | JPG 16 (1990) 211 | |
| 79 | L. D. Almeida, A. A. Natale, S. F. Novaes, and O. J. P. Eboli | Nonstandard gamma gamma $ \to $ lepton+ lepton- processes in relativistic heavy ion collisions | PRD 44 (1991) 118 | |
| 80 | M. Greiner, M. Vidovic, and G. Soff | Electromagnetic production of Higgs bosons, SUSY particles, glueballs and mesons in ultrarelativistic heavy ion collisions | Phys. Rev. C 47 (1993) 2288 | |
| 81 | CMS Collaboration | Event displays of PbPb collision events in the CMS detector at the end of 2018 | CDS | |
| 82 | CMS Collaboration | Strategies and performance of the CMS silicon tracker alignment during LHC Run 2 | NIM A 1037 (2022) 166795 | CMS-TRK-20-001 2111.08757 |
| 83 | CMS Collaboration | Description and performance of track and primary-vertex reconstruction with the CMS tracker | JINST 9 (2014) P10009 | CMS-TRK-11-001 1405.6569 |
| 84 | Tracker Group of the CMS Collaboration | The CMS Phase-1 pixel detector upgrade | JINST 16 (2021) P02027 | 2012.14304 |
| 85 | CMS Collaboration | Track impact parameter resolution for the full pseudo rapidity coverage in the 2017 dataset with the CMS Phase-1 pixel detector | CMS Detector Performance Summary CMS-DP-2020-049, 2020 CDS |
|
| 86 | CMS Collaboration | Performance of CMS muon reconstruction in pp collision events at $ \sqrt{\smash[b]{s}}= $ 7 TeV | JINST 7 (2012) P10002 | CMS-MUO-10-004 1206.4071 |
| 87 | CMS Collaboration | Performance of the CMS muon detector and muon reconstruction with proton-proton collisions at $ \sqrt{\smash[b]{s}}= $ 13 TeV | JINST 13 (2018) P06015 | CMS-MUO-16-001 1804.04528 |
| 88 | CMS Collaboration | Particle-flow reconstruction and global event description with the CMS detector | JINST 12 (2017) P10003 | CMS-PRF-14-001 1706.04965 |
| 89 | CMS Collaboration | Performance of photon reconstruction and identification with the CMS detector in proton-proton collisions at $ \sqrt{\smash[b]{s}} = $ 8 TeV | JINST 10 (2015) P08010 | CMS-EGM-14-001 1502.02702 |
| 90 | CMS Collaboration | Electron and photon reconstruction and identification with the CMS experiment at the CERN LHC | JINST 16 (2021) P05014 | CMS-EGM-17-001 2012.06888 |
| 91 | CMS Collaboration | ECAL 2016 refined calibration and Run 2 summary plots | CMS detector performance summary, 2020 CDS |
|
| 92 | M. Cacciari, G. P. Salam, and G. Soyez | The anti-$ k_{\mathrm{T}} $ jet clustering algorithm | JHEP 04 (2008) 063 | 0802.1189 |
| 93 | M. Cacciari, G. P. Salam, and G. Soyez | FastJet user manual | EPJC 72 (2012) 1896 | 1111.6097 |
| 94 | A. Giammanco | The fast simulation of the CMS experiment | J. Phys. Conf. Ser. 513 (2014) 022012 | |
| 95 | S. Abdullin et al. | The fast simulation of the CMS detector at LHC | J. Phys. Conf. Ser. 331 (2011) 032049 | |
| 96 | CMS Collaboration | Jet energy scale and resolution in the CMS experiment in pp collisions at 8 TeV | JINST 12 (2017) P02014 | CMS-JME-13-004 1607.03663 |
| 97 | CMS Collaboration | Precision luminosity measurement in proton-proton collisions at $ \sqrt{\smash[b]{s}}= $ 13 TeV in 2015 and 2016 at CMS | EPJC 81 (2021) 800 | CMS-LUM-17-003 2104.01927 |
| 98 | CMS Collaboration | CMS luminosity calibration for the pp reference run at $ \sqrt{\smash[b]{s}}= $ 5.02 TeV | CMS Physics Analysis Summary, 2016 CMS-PAS-LUM-16-001 |
CMS-PAS-LUM-16-001 |
| 99 | CMS Collaboration | Luminosity measurement in proton-proton collisions at 5.02 TeV in 2017 at CMS | CMS Physics Analysis Summary, 2021 CMS-PAS-LUM-19-001 |
CMS-PAS-LUM-19-001 |
| 100 | CMS Collaboration | CMS: The TriDAS project. Technical design report, Vol. 1: The trigger systems | CDS | |
| 101 | CMS Collaboration | Performance of the CMS Level-1 trigger in proton-proton collisions at $ \sqrt{s} = $ 13 TeV | JINST 15 (2020) P10017 | CMS-TRG-17-001 2006.10165 |
| 102 | CMS Collaboration | CMS: The TriDAS project. Technical design report, Vol. 2: Data acquisition and high-level trigger | CDS | |
| 103 | CMS Collaboration | CMS technical design report for the level-1 trigger upgrade | CDS | |
| 104 | Trigger and DAQ Groups of the CMS Collaboration | The CMS high level trigger | EPJC 46 (2006) 605 | hep-ex/0512077 |
| 105 | CMS Collaboration | CMS high level trigger | Technical report, CERN, 2007 CDS |
|
| 106 | CMS Collaboration | Performance of the high-level trigger system at CMS in LHC run-2 | IEEE Trans. Nucl. Sci. 68 (2021) 2035 | |
| 107 | M. Hasan | Enhancing hadron jet reconstruction in the CMS Level-1 trigger using machine learning. | PhD thesis, Baylor U, 2022 | |
| 108 | CMS Collaboration | Observation and studies of jet quenching in $ \mathrm{Pb}\mathrm{Pb} $ collisions at nucleon-nucleon center-of-mass energy $ \sqrt{\smash[b]{s_{_{\mathrm{NN}}}}} = $ 2.76 TeV | Phys. Rev. C 84 (2011) 024906 | CMS-HIN-10-004 1102.1957 |
| 109 | CMS Collaboration | Measurement of isolated photon production in pp and $ \mathrm{Pb}\mathrm{Pb} $ collisions at $ \sqrt{\smash[b]{s_{_{\mathrm{NN}}}}}= $ 2.76 TeV | PLB 710 (2012) 256 | CMS-HIN-11-002 1201.3093 |
| 110 | CMS Collaboration | Multiplicity and transverse momentum dependence of two- and four-particle correlations in $ \mathrm{p}\mathrm{Pb} $ and $ \mathrm{Pb}\mathrm{Pb} $ collisions | PLB 724 (2013) 213 | CMS-HIN-13-002 1305.0609 |
| 111 | CMS Collaboration | Dependence on pseudorapidity and on centrality of charged hadron production in PbPb collisions at $ \sqrt{\smash[b]{s_{_{\mathrm{NN}}}}} = $ 2.76 TeV | JHEP 08 (2011) 141 | CMS-HIN-10-001 1107.4800 |
| 112 | CMS Collaboration | The beam scintillation counter trigger system for CMS | CMS Detector Performance Summary, 2010 link |
|
| 113 | Z.-W. Lin et al. | A multi-phase transport model for relativistic heavy ion collisions | Phys. Rev. C 72 (2005) 064901 | nucl-th/0411110 |
| 114 | I. P. Lokhtin and A. M. Snigirev | A model of jet quenching in ultrarelativistic heavy ion collisions and high-$ p_{\mathrm{T}} $ hadron spectra at RHIC | EPJC 45 (2006) 211 | hep-ph/0506189 |
| 115 | S. R. Klein et al. | STARlight: A Monte Carlo simulation program for ultra-peripheral collisions of relativistic ions | Comput. Phys. Commun. 212 (2017) 258 | 1607.03838 |
| 116 | S. Roesler, R. Engel, and J. Ranft | Photoproduction off nuclei and point-like photon interactions. Part 2: Particle production | hep-ph/9611379 | |
| 117 | T. Sjöstrand et al. | An introduction to PYTHIA8.2 | Comput. Phys. Commun. 191 (2015) 159 | 1410.3012 |
| 118 | GEANT4 Collaboration | GEANT 4---a simulation toolkit | NIM A 506 (2003) 250 | |
| 119 | M. L. Miller, K. Reygers, S. J. Sanders, and P. Steinberg | Glauber modeling in high energy nuclear collisions | Ann. Rev. Nucl. Part. Sci. 57 (2007) 205 | nucl-ex/0701025 |
| 120 | C. Loizides, J. Kamin, and D. d'Enterria | Improved Monte Carlo Glauber predictions at present and future nuclear colliders | Phys. Rev. C 97 (2018) 054910 | 1710.07098 |
| 121 | ALICE Collaboration | Centrality dependence of the charged-particle multiplicity density at midrapidity in Pb-Pb collisions at $ {\sqrt{\smash[b]{s_{_{\mathrm{NN}}}}}} = $ 2.76 TeV | PRL 106 (2011) 032301 | 1012.1657 |
| 122 | PHOBOS Collaboration | Importance of correlations and fluctuations on the initial source eccentricity in high-energy nucleus-nucleus collisions | Phys. Rev. C 77 (2008) 014906 | 0711.3724 |
| 123 | T. Pierog et al. | EPOS LHC: Test of collective hadronization with data measured at the CERN Large Hadron Collider | Phys. Rev. C 92 (2015) 034906 | 1306.0121 |
| 124 | X.-N. Wang and M. Gyulassy | HIJING: A Monte Carlo model for multiple jet production in pp, pA and AA collisions | PRD 44 (1991) 3501 | |
| 125 | CMS Collaboration | Studies of dijet transverse momentum balance and pseudorapidity distributions in $ \mathrm{p}\mathrm{Pb} $ collisions at $ \sqrt{\smash[b]{s_{_{\mathrm{NN}}}}} = $ 5.02 TeV | EPJC 74 (2014) 2951 | CMS-HIN-13-001 1401.4433 |
| 126 | CMS Collaboration | Tracking and L1 trigger performance in 2018 and 2022 PbPb conditions | CMS detector performance summary, CMS-DP-2023-011 CDS |
|
| 127 | CMS Collaboration | Charged-particle nuclear modification factors in XeXe collisions at $ \sqrt{\smash[b]{s_{_{\mathrm{NN}}}}} = $ 5.44 TeV | JHEP 10 (2018) 138 | CMS-HIN-18-004 1809.00201 |
| 128 | CMS Collaboration | Measurement of the elliptic anisotropy of charged particles produced in $ \mathrm{Pb}\mathrm{Pb} $ collisions at $ \sqrt{\smash[b]{s_{_{\mathrm{NN}}}}}= $ 2.76 TeV | Phys. Rev. C 87 (2013) 014902 | CMS-HIN-10-002 1204.1409 |
| 129 | CMS Collaboration | Performance of the CMS muon trigger system in proton-proton collisions at $ \sqrt{s} = $ 13 TeV | JINST 16 (2021) P07001 | CMS-MUO-19-001 2102.04790 |
| 130 | Adam, W. and Frühwirth, R. and Strandlie, A. and Todorov, T. | Reconstruction of electrons with the Gaussian-sum filter in the CMS tracker at the LHC | JPG 31 (2005) N9 | |
| 131 | CMS Collaboration | Energy calibration and resolution of the CMS electromagnetic calorimeter in pp collisions at $ \sqrt{\smash[b]{s}}= $ 7 TeV | JINST 8 (2013) P09009 | CMS-EGM-11-001 1306.2016 |
| 132 | CMS Collaboration | Study of Z production in PbPb and pp collisions at $ \sqrt{\smash[b]{s_{_{\mathrm{NN}}}}}= $ 2.76 TeV in the dimuon and dielectron decay channels | JHEP 03 (2015) 022 | CMS-HIN-13-004 1410.4825 |
| 133 | CMS Collaboration | Performance of electron reconstruction and selection with the CMS detector in proton-proton collisions at $ \sqrt{\smash[b]{s}}= $ 8 TeV | JINST 10 (2015) P06005 | CMS-EGM-13-001 1502.02701 |
| 134 | H. Voss, A. Höcker, J. Stelzer, and F. Tegenfeldt | TMVA, the toolkit for multivariate data analysis with ROOT | in Proc. XIth International Workshop on Advanced Computing and Analysis Techniques in Physics Research (ACAT), 2007 link |
physics/0703039 |
| 135 | CMS Collaboration | The production of isolated photons in PbPb and pp collisions at $ \sqrt{\smash[b]{s_{_{\mathrm{NN}}}}} = $ 5.02 TeV | JHEP 07 (2020) 116 | CMS-HIN-18-016 2003.12797 |
| 136 | M. Cacciari | FastJet: A code for fast $k_{\mathrm{T}}$ clustering, and more | in Proc. Deep inelastic scattering, 14th International Workshop, 2006 DIS 200 (2006) 487 |
hep-ph/0607071 |
| 137 | CMS Collaboration | Pileup mitigation at CMS in 13 TeV data | JINST 15 (2020) P09018 | CMS-JME-18-001 2003.00503 |
| 138 | O. Kodolova, I. Vardanian, A. Nikitenko, and A. Oulianov | The performance of the jet identification and reconstruction in heavy ions collisions with CMS detector | EPJC 50 (2007) 117 | |
| 139 | ALICE Collaboration | Azimuthal anisotropy of charged jet production in $ \sqrt{\smash[b]{s_{_{\mathrm{NN}}}}} = $ 2.76 TeV Pb-Pb collisions | PLB 753 (2016) 511 | 1509.07334 |
| 140 | P. Berta, M. Spousta, D. W. Miller, and R. Leitner | Particle-level pileup subtraction for jets and jet shapes | JHEP 06 (2014) 92 | |
| 141 | P. Berta, L. Masetti, D. W. Miller, and M. Spousta | Pileup and underlying event mitigation with iterative constituent subtraction | JHEP 08 (2019) 175 | 1905.03470 |
| 142 | CMS Collaboration | Updates to constituent subtraction in heavy ions at CMS | CMS detector performance summary, CMS-DP-2018-024 CDS |
|
| 143 | CMS Collaboration | First measurement of large area jet transverse momentum spectra in heavy-ion collisions | JHEP 05 (2021) 284 | CMS-HIN-18-014 2102.13080 |
| 144 | D. d'Enterria and J. Rojo | Quantitative constraints on the gluon distribution function in the proton from collider isolated-photon data | NPB 860 (2012) 311 | 1202.1762 |
| 145 | CMS Collaboration | Measurement of prompt $ \mathrm{D^0} $ meson azimuthal anisotropy in PbPb collisions at $ \sqrt{\smash[b]{s_{_{\mathrm{NN}}}}}= $ 5.02 TeV | PRL 120 (2018) 202301 | CMS-HIN-16-007 1708.03497 |
| 146 | CMS Collaboration | Measurement of prompt $ \mathrm{D^0} $ and $ \overline{\mathrm{D}}^{0} $ meson azimuthal anisotropy and search for strong electric fields in PbPb collisions at $ \sqrt{\smash[b]{s_{_{\mathrm{NN}}}}} = $ 5.02 TeV | PLB 816 (2021) 136253 | CMS-HIN-19-008 2009.12628 |
| 147 | CMS Collaboration | Probing charm quark dynamics via multiparticle correlations in Pb-Pb collisions at $ \sqrt{\smash[b]{s_{_{\mathrm{NN}}}}} = $ 5.02 TeV | PRL 129 (2022) 022001 | CMS-HIN-20-001 2112.12236 |
| 148 | CMS Collaboration | Measurements of azimuthal anisotropy of nonprompt $ \mathrm{D^0} $ mesons in PbPb collisions at $ \sqrt{\smash[b]{s_{_{\mathrm{NN}}}}} = $ 5.02 TeV | PLB 850 (2024) 138389 | CMS-HIN-21-003 2212.01636 |
| 149 | CMS Collaboration | Evidence for top quark production in nucleus-nucleus collisions | PRL 125 (2020) 222001 | CMS-HIN-19-001 2006.11110 |
| 150 | CMS Collaboration | Identification of heavy-flavour jets with the CMS detector in pp collisions at 13 TeV | JINST 13 (2018) P05011 | CMS-BTV-16-002 1712.07158 |
| 151 | G. Altarelli and G. Parisi | Asymptotic freedom in parton language | NPB 126 (1977) 298 | |
| 152 | Y. L. Dokshitzer | Calculation of the structure functions for deep inelastic scattering and $ \mathrm{e}^+\mathrm{e}^- $ annihilation by perturbation theory in quantum chromodynamics. | Sov. Phys. JETP 46 (1977) 641 | |
| 153 | V. N. Gribov and L. N. Lipatov | Deep inelastic e p scattering in perturbation theory | Sov. J. Nucl. Phys. 15 (1972) 438 | |
| 154 | CMS Collaboration | Observation of nuclear modifications in $ \mathrm{W}^{\pm} $ boson production in $ \mathrm{p}\mathrm{Pb} $ collisions at $ \sqrt{\smash[b]{s_{_{\mathrm{NN}}}}} = $ 8.16 TeV | PLB 800 (2020) 135048 | CMS-HIN-17-007 1905.01486 |
| 155 | R. Boughezal et al. | Color singlet production at NNLO in MCFM | EPJC 77 (2017) 7 | 1605.08011 |
| 156 | S. Dulat et al. | New parton distribution functions from a global analysis of quantum chromodynamics | PRD 93 (2016) 033006 | 1506.07443 |
| 157 | K. J. Eskola, P. Paakkinen, H. Paukkunen, and C. A. Salgado | EPPS16: Nuclear parton distributions with LHC data | EPJC 77 (2017) 163 | 1612.057412110.13153 |
| 158 | K. Kovarik et al. | nCTEQ15 - Global analysis of nuclear parton distributions with uncertainties in the CTEQ framework | PRD 93 (2016) 085037 | 1509.00792 |
| 159 | N. Armesto | Nuclear shadowing | JPG 32 (2006) R367 | hep-ph/0604108 |
| 160 | CMS Collaboration | Study of W boson production in $ \mathrm{p}\mathrm{Pb} $ collisions at $ \sqrt{\smash[b]{s_{_{\mathrm{NN}}}}} = $ 5.02 TeV | PLB 750 (2015) 565 | CMS-HIN-13-007 1503.05825 |
| 161 | K. J. Eskola, P. Paakkinen, H. Paukkunen, and C. A. Salgado | EPPS21: a global QCD analysis of nuclear PDFs | EPJC 82 (2022) 413 | 2112.12462 |
| 162 | A. Kusina et al. | Impact of LHC vector boson production in heavy ion collisions on strange PDFs | EPJC 80 (2020) 968 | 2007.09100 |
| 163 | R. Abdul Khalek, J. J. Ethier, J. Rojo, and G. van Weelden | nNNPDF2.0: quark flavor separation in nuclei from LHC data | JHEP 09 (2020) 183 | 2006.14629 |
| 164 | R. Abdul Khalek et al. | nNNPDF3.0: evidence for a modified partonic structure in heavy nuclei | EPJC 82 (2022) 507 | 2201.12363 |
| 165 | I. Helenius, M. Walt, and W. Vogelsang | NNLO nuclear parton distribution functions with electroweak-boson production data from the LHC | PRD 105 (2022) 094031 | 2112.11904 |
| 166 | CMS Collaboration | Study of Drell--Yan dimuon production in proton-lead collisions at $ \sqrt{\smash[b]{s_{_{\mathrm{NN}}}}} = $ 8.16 TeV | JHEP 05 (2021) 182 | CMS-HIN-18-003 2102.13648 |
| 167 | S. Alioli, P. Nason, C. Oleari, and E. Re | A general framework for implementing NLO calculations in shower Monte Carlo programs: the POWHEG BOX | JHEP 06 (2010) 043 | 1002.2581 |
| 168 | S. Alioli, P. Nason, C. Oleari, and E. Re | NLO vector-boson production matched with shower in POWHEG | JHEP 07 (2008) 060 | 0805.4802 |
| 169 | CMS Collaboration | Study of Z boson production in $ \mathrm{p}\mathrm{Pb} $ collisions at $ \sqrt{\smash[b]{s_{_{\mathrm{NN}}}}} = $ 5.02 TeV | PLB 759 (2016) 36 | CMS-HIN-15-002 1512.06461 |
| 170 | D. d'Enterria, K. Krajczár, and H. Paukkunen | Top quark production in proton--nucleus and nucleus--nucleus collisions at LHC energies and beyond | PLB 746 (2015) 64 | 1501.05879 |
| 171 | CMS Collaboration | Observation of top quark production in proton-nucleus collisions | PRL 119 (2017) 242001 | CMS-HIN-17-002 1709.07411 |
| 172 | M. Czakon, P. Fiedler, and A. Mitov | Total top quark pair production cross section at hadron colliders through $ O(\alpha_\mathrm{S}^4) $ | PRL 110 (2013) 252004 | 1303.6254 |
| 173 | J. M. Campbell and R. K. Ellis | MCFM for the Tevatron and the LHC | Nucl. Phys. B Proc. Suppl. 20 (2010) 5 | 1007.3492 |
| 174 | J. L. Albacete et al. | Predictions for cold nuclear matter effects in $ \mathrm{p}\mathrm{Pb} $\ collisions at $ \sqrt{\smash[b]{s_{_{\mathrm{NN}}}}} = $ 8.16 TeV | Nucl. Phys. A 972 (2018) 18 | 1707.09973 |
| 175 | D. de Florian, R. Sassot, P. Zurita, and M. Stratmann | Global analysis of nuclear parton distributions | PRD 85 (2012) 074028 | 1112.6324 |
| 176 | K. J. Eskola, H. Paukkunen, and C. A. Salgado | EPS09: A new generation of NLO and LO nuclear parton distribution functions | JHEP 04 (2009) 065 | 0902.4154 |
| 177 | CMS Collaboration | Constraining gluon distributions in nuclei using dijets in proton-proton and proton-lead collisions at $ \sqrt{\smash[b]{s_{_{\mathrm{NN}}}}} = $ 5.02 TeV | PRL 121 (2018) 062002 | CMS-HIN-16-003 1805.04736 |
| 178 | European Muon Collaboration | The ratio of the nucleon structure functions $ F2_n $ for iron and deuterium | PLB 123 (1983) 275 | |
| 179 | P. Paakkinen, K. Eskola, and H. Paukkunen | Impact of CMS dijets in 5.02 TeV pPb and pp collisions on EPPS16 nuclear PDFs | in Proceedings of International Conference on Hard and Electromagnetic Probes of High-Energy Nuclear Collisions (HardProbes), 2018 link |
1812.05438 |
| 180 | B. Alver, M. Baker, C. Loizides, and P. Steinberg | The PHOBOS Glauber Monte Carlo | 0805.4411 | |
| 181 | D. d'Enterria and C. Loizides | Progress in the Glauber model at collider energies | Ann. Rev. Nucl. Part. Sci. 71 (2021) 315 | 2011.14909 |
| 182 | P. Aurenche et al. | A new critical study of photon production in hadronic collisions | PRD 73 (2006) 094007 | hep-ph/0602133 |
| 183 | CMS Collaboration | Study of W boson production in PbPb and pp collisions at $ \sqrt{\smash[b]{s_{_{\mathrm{NN}}}}} = $ 2.76 TeV | PLB 715 (2012) 66 | CMS-HIN-11-008 1205.6334 |
| 184 | CMS Collaboration | Study of Z boson production in PbPb collisions at $ \sqrt{\smash[b]{s_{_{\mathrm{NN}}}}} = $ 2.76 TeV | PRL 106 (2011) 212301 | CMS-HIN-10-003 1102.5435 |
| 185 | CMS Collaboration | Constraints on the initial state of Pb-Pb collisions via measurements of Z-boson yields and azimuthal anisotropy at $ \sqrt{\smash[b]{s_{_{\mathrm{NN}}}}} = $ 5.02 TeV | PRL 127 (2021) 102002 | CMS-HIN-19-003 2103.14089 |
| 186 | C. Loizides and A. Morsch | Absence of jet quenching in peripheral nucleus--nucleus collisions | PLB 773 (2017) 408 | 1705.08856 |
| 187 | ALICE Collaboration | $ \mathrm{W}^{\pm} $-boson production in p-Pb collisions at $ \sqrt{\smash[b]{s_{_{\mathrm{NN}}}}} = $ 8.16 TeV and $ \mathrm{Pb}\mathrm{Pb} $ collisions at $ \sqrt{\smash[b]{s_{_{\mathrm{NN}}}}} = $ 5.02 TeV | JHEP 05 (2023) 036 | 2204.10640 |
| 188 | ATLAS Collaboration | Z boson production in Pb+Pb collisions at $ \sqrt{\smash[b]{s_{_{\mathrm{NN}}}}}= $ 5.02 TeV measured by the ATLAS experiment | PLB 802 (2020) 135262 | 1910.13396 |
| 189 | K. J. Eskola, I. Helenius, M. Kuha, and H. Paukkunen | Shadowing in inelastic nucleon-nucleon cross section? | PRL 125 (2020) 212301 | 2003.11856 |
| 190 | E. A. Kuraev, L. N. Lipatov, and V. S. Fadin | The Pomeranchuk singularity in nonabelian gauge theories | Sov. Phys. JETP 45 (1977) 199 | |
| 191 | I. I. Balitsky and L. N. Lipatov | The Pomeranchuk singularity in quantum chromodynamics | Sov. J. Nucl. Phys. 28 (1978) 822 | |
| 192 | L. N. Lipatov | The bare pomeron in quantum chromodynamics | Sov. Phys. JETP 63 (1986) 904 | |
| 193 | V. S. Fadin and L. N. Lipatov | BFKL pomeron in the next-to-leading approximation | PLB 429 (1998) 127 | hep-ph/9802290 |
| 194 | I. Balitsky | Operator expansion for high-energy scattering | NPB 463 (1996) 99 | hep-ph/9509348 |
| 195 | I. Balitsky | Factorization for high-energy scattering | PRL 81 (1998) 2024 | hep-ph/9807434 |
| 196 | I. Balitsky | Factorization and high-energy effective action | PRD 60 (1999) 014020 | hep-ph/9812311 |
| 197 | Y. V. Kovchegov | Unitarization of the BFKL pomeron on a nucleus | PRD 61 (2000) 074018 | hep-ph/9905214 |
| 198 | M. van de Klundert | Search for gluon saturation in proton-lead collisions at $ \sqrt{\smash[b]{s_{_{\mathrm{NN}}}}}= $ 5.02 TeV with the very forward CASTOR calorimeter at the CMS experiment | PhD thesis, University of Antwerp, 2018 CERN-THESIS-2018-087 |
|
| 199 | S. Ostapchenko | QGSJET-II: Towards reliable description of very high energy hadronic interactions | Nucl. Phys. B Proc. Suppl. 151 (2006) 143 | hep-ph/0412332 |
| 200 | A. van Hameren | KaTie: For parton-level event generation with $ k_{\mathrm{T}} $-dependent initial states | Comput. Phys. Commun. 224 (2018) 371 | 1611.00680 |
| 201 | J. L. Albacete, P. Guerrero Rodríguez, and Y. Nara | Ultraforward particle production from color glass condensate and Lund fragmentation | PRD 94 (2016) 054004 | 1605.08334 |
| 202 | CMS Collaboration | Measurement of inclusive very forward jet cross sections in proton-lead collisions at $ \sqrt{\smash[b]{s_{_{\mathrm{NN}}}}} = $ 5.02 TeV | JHEP 05 (2019) 043 | CMS-FSQ-17-001 1812.01691 |
| 203 | H. Mäntysaari and H. Paukkunen | Saturation and forward jets in proton-lead collisions at the LHC | PRD 100 (2019) 114029 | 1910.13116 |
| 204 | C. F. von Weizsacker | Radiation emitted in collisions of very fast electrons | Z. Phys. 88 (1934) 612 | |
| 205 | E. J. Williams | Nature of the high-energy particles of penetrating radiation and status of ionization and radiation formulae | PR 45 (1934) 729 | |
| 206 | S. J. Brodsky et al. | Diffractive leptoproduction of vector mesons in QCD | PRD 50 (1994) 3134 | hep-ph/9402283 |
| 207 | A. D. Martin, C. Nockles, M. G. Ryskin, and T. Teubner | Small $ x $ gluon from exclusive J/psi production | PLB 662 (2008) 252 | 0709.4406 |
| 208 | CMS Collaboration | Measurement of exclusive $ \Upsilon $ photoproduction from protons in $ \mathrm{p}\mathrm{Pb} $ collisions at $ \sqrt{\smash[b]{s_{_{\mathrm{NN}}}}}= $ 5.02 TeV | EPJC 79 (2019) 277 | CMS-FSQ-13-009 1809.11080 |
| 209 | CMS Collaboration | Measurement of exclusive $ \rho(770)^0 $ photoproduction in ultraperipheral pPb collisions at $ \sqrt{\smash[b]{s_{_{\mathrm{NN}}}}} = $ 5.02 TeV | EPJC 79 (2019) 702 | CMS-FSQ-16-007 1902.01339 |
| 210 | C. A. Flett et al. | How to include exclusive $ \mathrm{J}/\psi $ production data in global PDF analyses | PRD 101 (2020) 094011 | 1908.08398 |
| 211 | ALICE Collaboration | Coherent $ \mathrm{J}/\psi $ photoproduction in ultra-peripheral Pb-Pb collisions at $ \sqrt{\smash[b]{s_{_{\mathrm{NN}}}}} = $ 2.76 TeV | PLB 718 (2013) 1273 | 1209.3715 |
| 212 | ALICE Collaboration | Charmonium and $ \mathrm{e}^+\mathrm{e}^- $ pair photoproduction at midrapidity in ultra-peripheral Pb-Pb collisions at $ \sqrt{\smash[b]{s_{_{\mathrm{NN}}}}} = $ 2.76 TeV | EPJC 73 (2013) 2617 | 1305.1467 |
| 213 | CMS Collaboration | Coherent $ \mathrm{J}/\psi $ photoproduction in ultra-peripheral $ \mathrm{Pb}\mathrm{Pb} $ collisions at $ \sqrt{\smash[b]{s_{_{\mathrm{NN}}}}} = $ 2.76 TeV with the CMS experiment | PLB 772 (2017) 489 | CMS-HIN-12-009 1605.06966 |
| 214 | V. Guzey, M. Strikman, and M. Zhalov | Disentangling coherent and incoherent quasielastic $ \mathrm{J}/\psi $ photoproduction on nuclei by neutron tagging in ultraperipheral ion collisions at the LHC | EPJC 74 (2014) 2942 | 1312.6486 |
| 215 | V. Guzey, E. Kryshen, M. Strikman, and M. Zhalov | Evidence for nuclear gluon shadowing from the ALICE measurements of PbPb ultraperipheral exclusive $ \mathrm{J}/\psi $ production | PLB 726 (2013) 290 | 1305.1724 |
| 216 | V. Guzey, E. Kryshen, and M. Zhalov | Coherent photoproduction of vector mesons in ultraperipheral heavy ion collisions: Update for Run 2 at the CERN Large Hadron Collider | Phys. Rev. C 93 (2016) 055206 | 1602.01456 |
| 217 | B. L. Berman and S. C. Fultz | Measurements of the giant dipole resonance with monoenergetic photons | Rev. Mod. Phys. 47 (1975) 713 | |
| 218 | CMS Collaboration | Observation of forward neutron multiplicity dependence of dimuon acoplanarity in ultraperipheral PbPb Collisions at $ \sqrt{\smash[b]{s_{_{\mathrm{NN}}}}}= $ 5.02 TeV | PRL 127 (2021) 122001 | CMS-HIN-19-014 2011.05239 |
| 219 | O. Surányi et al. | Performance of the CMS zero degree calorimeters in $ \mathrm{p}\mathrm{Pb} $ collisions at the LHC | JINST 16 (2021) P05008 | 2102.06640 |
| 220 | A. Luszczak and W. Schäfer | Coherent photoproduction of $ \mathrm{J}/\psi $ in nucleus-nucleus collisions in the color dipole approach | Phys. Rev. C 99 (2019) 044905 | 1901.07989 |
| 221 | CMS Collaboration | Probing small Bjorken-$ x $ nuclear gluonic structure via coherent $ \mathrm{J}/\psi $ photoproduction in ultraperipheral $ \mathrm{Pb}\mathrm{Pb} $ collisions at $ \sqrt{\smash[b]{s_{_{\mathrm{NN}}}}} = $ 5.02 TeV | PRL 131 (2023) 262301 | CMS-HIN-22-002 2303.16984 |
| 222 | ALICE Collaboration | Coherent $ \mathrm{J}/\psi $ photoproduction at forward rapidity in ultra-peripheral Pb-Pb collisions at $ \sqrt{\smash[b]{s_{_{\mathrm{NN}}}}} = $ 5.02 TeV | PLB 798 (2019) 134926 | 1904.06272 |
| 223 | H. Mäntysaari and B. Schenke | Probing subnucleon scale fluctuations in ultraperipheral heavy ion collisions | PLB 772 (2017) 832 | 1703.09256 |
| 224 | J. Cepila, J. G. Contreras, and M. Krelina | Coherent and incoherent $ \mathrm{J}/\psi $ photonuclear production in an energy-dependent hot-spot model | Phys. Rev. C 97 (2018) 024901 | 1711.01855 |
| 225 | D. Bendova, J. Cepila, J. G. Contreras, and M. Matas | Photonuclear $ \mathrm{J}/\psi $ production at the LHC: proton-based versus nuclear dipole scattering amplitudes | PLB 817 (2021) 136306 | 2006.12980 |
| 226 | K. J. Eskola et al. | Exclusive $ \mathrm{J}/\psi $ photoproduction in ultraperipheral Pb+Pb collisions at the CERN Large Hadron Collider calculated at next-to-leading order perturbative QCD | Phys. Rev. C 106 (2022) 035202 | 2203.11613 |
| 227 | H. Mäntysaari and J. Penttala | Complete calculation of exclusive heavy vector meson production at next-to-leading order in the dipole picture | JHEP 08 (2022) 247 | 2204.14031 |
| 228 | K. J. Eskola et al. | Next-to-leading order perturbative QCD predictions for exclusive $ \mathrm{J}/\psi $ photoproduction in oxygen-oxygen and lead-lead collisions at energies available at the CERN Large Hadron Collider | Phys. Rev. C 107 (2023) 044912 | 2210.16048 |
| 229 | L. D. Landau | On the multiparticle production in high-energy collisions | Izv. Akad. Nauk Ser. Fiz. 17 (1953) 51 | |
| 230 | PHENIX Collaboration | Systematic studies of the centrality and $ \sqrt{\smash[b]{s_{_{\mathrm{NN}}}}} $ dependence of the $ \text{d} E_\text{T}/\text{d}\eta $ and $ \text{d}N^\text{ch}/\text{d}\eta $ in heavy ion collisions at midrapidity | Phys. Rev. C 71 (2005) 034908 | nucl-ex/0409015 |
| 231 | CMS Collaboration | Pseudorapidity distributions of charged hadrons in xenon-xenon collisions at $ \sqrt{\smash[b]{s_{_{\mathrm{NN}}}}} = $ 5.44 TeV | PLB 799 (2019) 135049 | CMS-HIN-17-006 1902.03603 |
| 232 | CMS Collaboration | Measurement of the pseudorapidity and centrality dependence of the transverse energy density in $ \mathrm{Pb}\mathrm{Pb} $ collisions at $ \sqrt{\smash[b]{s_{_{\mathrm{NN}}}}} = $ 2.76 TeV | PRL 109 (2012) 152303 | CMS-HIN-11-003 1205.2488 |
| 233 | PHOBOS Collaboration | System size, energy and centrality dependence of pseudorapidity distributions of charged particles in relativistic heavy ion collisions | PRL 102 (2009) 142301 | 0709.4008 |
| 234 | PHOBOS Collaboration | Charged-particle multiplicity and pseudorapidity distributions measured with the PHOBOS detector in Au+Au, Cu+Cu, d+Au, and p+p collisions at ultrarelativistic energies | Phys. Rev. C 83 (2011) 024913 | 1011.1940 |
| 235 | CMS Collaboration | Transverse-momentum and pseudorapidity distributions of charged hadrons in pp collisions at $ \sqrt{\smash[b]{s}} = $ 7 TeV | PRL 105 (2010) 022002 | CMS-QCD-10-006 1005.3299 |
| 236 | CMS Collaboration | Transverse-momentum and pseudorapidity distributions of charged hadrons in pp collisions at $ \sqrt{\smash[b]{s}} = $ 0.9 and 2.36 TeV | JHEP 02 (2010) 041 | CMS-QCD-09-010 1002.0621 |
| 237 | ALICE Collaboration | Charged-particle multiplicity measurement in proton-proton collisions at $ \sqrt{\smash[b]{s}}= $ 0.9 and 2.36 TeV with ALICE at LHC | EPJC 68 (2010) 89 | 1004.3034 |
| 238 | UA5 Collaboration | Scaling of pseudorapidity distributions at c.m. energies up to 0.9 TeV | Z. Phys. C 33 (1986) 1 | |
| 239 | UA1 Collaboration | A study of the general characteristics of proton-antiproton collisions at $ \sqrt{\smash[b]{s}} = $ 0.2 to 0.9 TeV | NPB 335 (1990) 261 | |
| 240 | CMS Collaboration | Long-range and short-range dihadron angular correlations in central PbPb collisions at a nucleon-nucleon center of mass energy of 2.76 TeV | JHEP 07 (2011) 076 | CMS-HIN-11-001 1105.2438 |
| 241 | CMS Collaboration | Centrality dependence of dihadron correlations and azimuthal anisotropy harmonics in PbPb collisions at $ \sqrt{\smash[b]{s_{_{\mathrm{NN}}}}}= $ 2.76 TeV | EPJC 72 (2012) 2012 | CMS-HIN-11-006 1201.3158 |
| 242 | CMS Collaboration | Measurement of higher-order harmonic azimuthal anisotropy in $ \mathrm{Pb}\mathrm{Pb} $ collisions at $ \sqrt{\smash[b]{s_{_{\mathrm{NN}}}}} = $ 2.76 TeV | Phys. Rev. C 89 (2014) 044906 | CMS-HIN-11-005 1310.8651 |
| 243 | CMS Collaboration | Studies of azimuthal dihadron correlations in ultra-central PbPb collisions at $ \sqrt{\smash[b]{s_{_{\mathrm{NN}}}}} = $ 2.76 TeV | JHEP 02 (2014) 088 | CMS-HIN-12-011 1312.1845 |
| 244 | CMS Collaboration | Evidence for transverse momentum and pseudorapidity dependent event plane fluctuations in PbPb and pPb collisions | Phys. Rev. C 92 (2015) 034911 | CMS-HIN-14-012 1503.01692 |
| 245 | CMS Collaboration | Non-Gaussian elliptic-flow fluctuations in PbPb collisions at $ \sqrt{\smash[b]{s_{_{\mathrm{NN}}}}} = $ 5.02 TeV | PLB 789 (2019) 643 | CMS-HIN-16-019 1711.05594 |
| 246 | ALICE Collaboration | Harmonic decomposition of two-particle angular correlations in Pb-Pb collisions at $ \sqrt{\smash[b]{s_{_{\mathrm{NN}}}}} = $ 2.76 TeV | PLB 708 (2012) 249 | 1109.2501 |
| 247 | C. Shen, Z. Qiu, and U. Heinz | Shape and flow fluctuations in ultracentral $ \mathrm{Pb}\mathrm{Pb} $\ collisions at the energies available at the CERN Large Hadron Collider | Phys. Rev. C 92 (2015) 014901 | 1502.04636 |
| 248 | D. T. Son and A. O. Starinets | Viscosity, black holes, and quantum field theory | Ann. Rev. Nucl. Part. Sci. 57 (2007) 95 | 0704.0240 |
| 249 | L. Yan, J.-Y. Ollitrault, and A. M. Poskanzer | Azimuthal anisotropy distributions in high-energy collisions | PLB 742 (2015) 290 | 1408.0921 |
| 250 | R. S. Bhalerao, M. Luzum, and J.-Y. Ollitrault | Understanding anisotropy generated by fluctuations in heavy-ion collisions | Phys. Rev. C 84 (2011) 054901 | 1107.5485 |
| 251 | P. Romatschke and U. Romatschke | Viscosity information from relativistic nuclear collisions: How perfect is the fluid observed at RHIC? | PRL 99 (2007) 172301 | 0706.1522 |
| 252 | G. Giacalone, J. Noronha-Hostler, and J.-Y. Ollitrault | Relative flow fluctuations as a probe of initial state fluctuations | Phys. Rev. C 95 (2017) 054910 | 1702.01730 |
| 253 | CMS Collaboration | Charged-particle angular correlations in XeXe collisions at $ \sqrt{\smash[b]{s_{_{\mathrm{NN}}}}}= $ 5.44 TeV | Phys. Rev. C 100 (2019) 044902 | CMS-HIN-18-001 1901.07997 |
| 254 | J. S. Moreland, J. E. Bernhard, and S. A. Bass | Alternative ansatz to wounded nucleon and binary collision scaling in high-energy nuclear collisions | Phys. Rev. C 92 (2015) 011901 | 1412.4708 |
| 255 | F. G. Gardim, F. Grassi, M. Luzum, and J.-Y. Ollitrault | Breaking of factorization of two-particle correlations in hydrodynamics | Phys. Rev. C 87 (2013) 031901 | 1211.0989 |
| 256 | U. Heinz, Z. Qiu, and C. Shen | Fluctuating flow angles and anisotropic flow measurements | Phys. Rev. C 87 (2013) 034913 | 1302.3535 |
| 257 | A. Dumitru, D. E. Kharzeev, E. M. Levin, and Y. Nara | Gluon saturation in $ \mathrm{p}\mathrm{A} $ collisions at energies available at the CERN Large Hadron Collider: Predictions for hadron multiplicities | Phys. Rev. C 85 (2012) 044920 | 1111.3031 |
| 258 | CMS Collaboration | Principal-component analysis of two-particle azimuthal correlations in PbPb and $ \mathrm{p}\mathrm{Pb} $ collisions at CMS | Phys. Rev. C 96 (2017) 064902 | CMS-HIN-15-010 1708.07113 |
| 259 | P. Bozek, W. Broniowski, and J. Moreira | Torqued fireballs in relativistic heavy-ion collisions | Phys. Rev. C 83 (2011) 034911 | 1011.3354 |
| 260 | B. Schenke and S. Schlichting | 3D glasma initial state for relativistic heavy ion collisions | Phys. Rev. C 94 (2016) 044907 | 1605.07158 |
| 261 | L. Yan and J.-Y. Ollitrault | $ \nu_4, \nu_5, \nu_6, \nu_7 $: nonlinear hydrodynamic response versus LHC data | PLB 744 (2015) 82 | 1502.02502 |
| 262 | J. Qian, U. W. Heinz, and J. Liu | Mode-coupling effects in anisotropic flow in heavy-ion collisions | Phys. Rev. C 93 (2016) 064901 | 1602.02813 |
| 263 | D. Teaney and L. Yan | Nonlinearities in the harmonic spectrum of heavy ion collisions with ideal and viscous hydrodynamics | Phys. Rev. C 86 (2012) 044908 | 1206.1905 |
| 264 | J. Qian, U. Heinz, R. He, and L. Huo | Differential flow correlations in relativistic heavy-ion collisions | Phys. Rev. C 95 (2017) 054908 | 1703.04077 |
| 265 | G. Giacalone, L. Yan, and J.-Y. Ollitrault | Nonlinear coupling of flow harmonics: Hexagonal flow and beyond | Phys. Rev. C 97 (2018) 054905 | 1803.00253 |
| 266 | W. Zhao, H.-j. Xu, and H. Song | Collective flow in 2.76 A TeV and 5.02 A TeV Pb+Pb collisions | EPJC 77 (2017) 645 | 1703.10792 |
| 267 | S. McDonald et al. | Hydrodynamic predictions for Pb+Pb collisions at 5.02 TeV | Phys. Rev. C 95 (2017) 064913 | 1609.02958 |
| 268 | CMS Collaboration | Mixed higher-order anisotropic flow and nonlinear response coefficients of charged particles in $ \mathrm{Pb}\mathrm{Pb} $ collisions at $ \sqrt{\smash[b]{s_{_{\mathrm{NN}}}}} = $ 2.76 and 5.02 TeV | EPJC 80 (2020) 534 | CMS-HIN-17-005 1910.08789 |
| 269 | M. A. Lisa, S. Pratt, R. Soltz, and U. Wiedemann | Femtoscopy in relativistic heavy ion collisions | Ann. Rev. Nucl. Part. Sci. 55 (2005) 357 | nucl-ex/0505014 |
| 270 | R. Hanbury-Brown and R. Q. Twiss | A new type of interferometer for use in radio astronomy | Phil. Magazine 45 (1954) 663 | |
| 271 | R. Hanbury-Brown and R. Q. Twiss | Correlation between photons in two coherent beams of light | Nature 177 (1956) 27 | |
| 272 | R. Hanbury-Brown and R. Q. Twiss | A test of a new type of stellar interferometer on Sirius | Nature 178 (1956) 1046 | |
| 273 | G. Goldhaber et al. | Influence of Bose-Einstein statistics on the anti-proton proton annihilation process | Phys. Rev. 120 (1960) 300 | |
| 274 | J. D. Bjorken | Highly relativistic nucleus-nucleus collisions: The central rapidity region | PRD 27 (1983) 140 | |
| 275 | CMS Collaboration | First measurement of Bose--Einstein correlations in proton-proton collisions at $ \sqrt{\smash[b]{s}} = $ 0.9 and 2.36 TeV at the LHC | PRL 105 (2010) 032001 | CMS-QCD-10-003 1005.3294 |
| 276 | CMS Collaboration | Measurement of Bose--Einstein correlations in pp collisions at $ \sqrt{\smash[b]{s}} = $ 0.9 and 7 TeV | JHEP 05 (2011) 029 | CMS-QCD-10-023 1101.3518 |
| 277 | CMS Collaboration | Bose-Einstein correlations in pp, $ \mathrm{p}\mathrm{Pb} $, and $ \mathrm{Pb}\mathrm{Pb} $ collisions at $ \sqrt{\smash[b]{s_{_{\mathrm{NN}}}}}=0.9- $ 7 TeV | Phys. Rev. C 97 (2018) 064912 | CMS-FSQ-14-002 1712.07198 |
| 278 | CMS Collaboration | Bose-Einstein correlations of charged hadrons in proton-proton collisions at $ \sqrt{\smash[b]{s}} = $ 13 TeV | JHEP 03 (2020) 014 | CMS-FSQ-15-009 1910.08815 |
| 279 | CMS Collaboration | Two-particle Bose--Einstein correlations and their Lévy parameters in $ \mathrm{Pb}\mathrm{Pb} $ collisions at $ \sqrt{\smash[b]{s_{_{\mathrm{NN}}}}} = $ 5.02 TeV | Phys. Rev. C 109 (2024) 024914 | CMS-HIN-21-011 2306.11574 |
| 280 | T. Csorgo et al. | Bose-Einstein correlations for Levy stable source distributions | EPJC 36 (2004) 67 | nucl-th/0310042 |
| 281 | CMS Collaboration | Observation of correlated azimuthal anisotropy Fourier harmonics in pp\ and $ \mathrm{p}\mathrm{Pb} $\ collisions at the LHC | PRL 120 (2018) 092301 | CMS-HIN-16-022 1709.09189 |
| 282 | A. Bzdak, B. Schenke, P. Tribedy, and R. Venugopalan | Initial state geometry and the role of hydrodynamics in proton-proton, proton-nucleus and deuteron-nucleus collisions | Phys. Rev. C 87 (2013) 064906 | |
| 283 | L. McLerran, M. Praszalowicz, and B. Schenke | Transverse momentum of protons, pions and kaons in high multiplicity pp and pA collisions: Evidence for the color glass condensate? | Nucl. Phys. A 916 (2013) 210 | |
| 284 | T. Csorgo and J. Zimanyi | Pion interferometry for strongly correlated space-time and momentum space | Nucl. Phys. A 517 (1990) 588 | |
| 285 | L3 Collaboration | Test of the $ \tau $-model of Bose--Einstein correlations and reconstruction of the source function in hadronic Z-boson decay at LEP | EPJC 71 (2011) 1648 | 1105.4788 |
| 286 | M. Chojnacki, W. Florkowski, and T. Csörgö | Formation of hubble-like flow in little bangs | Phys. Rev. C 71 (2005) 044902 | nucl-th/0410036 |
| 287 | PHENIX Collaboration | Bose--Einstein correlations of charged pion pairs in Au+Au collisions at $ \sqrt{\smash[b]{s_{_{\mathrm{NN}}}}} = $ 200 GeV | PRL 93 (2004) 152302 | nucl-ex/0401003 |
| 288 | STAR Collaboration | Pion interferometry in Au+Au collisions at $ \sqrt{\smash[b]{s_{_{\mathrm{NN}}}}} = $ 200 GeV | Phys. Rev. C 71 (2005) 044906 | nucl-ex/0411036 |
| 289 | STAR Collaboration | Pion interferometry in Au+Au and Cu+Cu collisions at $ \sqrt{\smash[b]{s_{_{\mathrm{NN}}}}} = $ 62.4 and 200 GeV | Phys. Rev. C 80 (2009) 024905 | 0903.1296 |
| 290 | PHENIX Collaboration | Systematic study of charged-pion and kaon femtoscopy in Au+Au collisions at $ \sqrt{\smash[b]{s_{_{\mathrm{NN}}}}} = $ 200 GeV | Phys. Rev. C 92 (2015) 034914 | 1504.05168 |
| 291 | M. Csanád, S. Lökös, and M. Nagy | Expanded empirical formula for Coulomb final state interaction in the presence of Lévy sources | Phys. Part. Nucl. 51 (2020) 238 | 1910.02231 |
| 292 | PHENIX Collaboration | Lévy-stable two-pion Bose--Einstein correlations in $ \sqrt{\smash[b]{s_{_{\mathrm{NN}}}}} = $ 200 GeV Au+Au collisions | Phys. Rev. C 97 (2018) 064911 | 1709.05649 |
| 293 | R. L. Jaffe | Perhaps a stable dihyperon | PRL 38 (1977) 195 | |
| 294 | D. B. Kaplan and A. E. Nelson | Kaon condensation in dense matter | c, 1988 Nucl. Phys. A 479 (1988) 273 |
|
| 295 | J. Schaffner-Bielich, M. Hanauske, H. Stoecker, and W. Greiner | Phase transition to hyperon matter in neutron stars | PRL 89 (2002) 171101 | astro-ph/0005490 |
| 296 | K. Morita, T. Furumoto, and A. Ohnishi | $ \Lambda\Lambda $ interaction from relativistic heavy-ion collisions | Phys. Rev. C 91 (2015) 024916 | 1408.6682 |
| 297 | CMS Collaboration | $ \mathrm{K^0_S} $ and $ \Lambda(\overline{\Lambda}) $ two-particle femtoscopic correlations in $ \mathrm{Pb}\mathrm{Pb} $ collisions at $ \sqrt{\smash[b]{s_{_{\mathrm{NN}}}}} = $ 5.02 TeV | Submitted to PLB, 2023 | CMS-HIN-21-006 2301.05290 |
| 298 | D. Kharzeev | Parity violation in hot QCD: Why it can happen, and how to look for it | PLB 633 (2006) 260 | hep-ph/0406125 |
| 299 | D. E. Kharzeev, L. D. McLerran, and H. J. Warringa | The effects of topological charge change in heavy ion collisions: 'event by event P and CP violation' | Nucl. Phys. A 803 (2008) 227 | 0711.0950 |
| 300 | W. Li and G. Wang | Chiral magnetic effects in nuclear collisions | Ann. Rev. Nucl. Part. Sci. 70 (2020) 293 | 2002.10397 |
| 301 | S. A. Voloshin | Parity violation in hot QCD: How to detect it | Phys. Rev. C 70 (2004) 057901 | hep-ph/0406311 |
| 302 | STAR Collaboration | Observation of charge-dependent azimuthal correlations and possible local strong parity violation in heavy ion collisions | Phys. Rev. C 81 (2010) 054908 | 0909.1717 |
| 303 | CMS Collaboration | Observation of long-range near-side angular correlations in proton-proton collisions at the LHC | JHEP 09 (2010) 091 | CMS-QCD-10-002 1009.4122 |
| 304 | CMS Collaboration | Measurement of long-range near-side two-particle angular correlations in pp collisions at $ \sqrt{\smash[b]{s}} = $ 13 TeV | PRL 116 (2016) 172302 | CMS-FSQ-15-002 1510.03068 |
| 305 | CMS Collaboration | Evidence for collectivity in pp collisions at the LHC | PLB 765 (2017) 193 | CMS-HIN-16-010 1606.06198 |
| 306 | CMS Collaboration | Observation of long-range near-side angular correlations in proton-lead collisions at the LHC | PLB 718 (2013) 795 | CMS-HIN-12-015 1210.5482 |
| 307 | CMS Collaboration | Long-range two-particle correlations of strange hadrons with charged particles in pPb and PbPb collisions at LHC energies | PLB 742 (2015) 200 | CMS-HIN-14-002 1409.3392 |
| 308 | CMS Collaboration | Evidence for collective multiparticle correlations in p-Pb collisions | PRL 115 (2015) 012301 | CMS-HIN-14-006 1502.05382 |
| 309 | CMS Collaboration | Observation of charge-dependent azimuthal correlations in $ \mathrm{p} $-Pb collisions and its implication for the search for the chiral magnetic effect | PRL 118 (2017) 122301 | CMS-HIN-16-009 1610.00263 |
| 310 | ALICE Collaboration | Charge separation relative to the reaction plane in Pb-Pb collisions at $ \sqrt{\smash[b]{s_{_{\mathrm{NN}}}}}= $ 2.76 TeV | PRL 110 (2013) 012301 | 1207.0900 |
| 311 | CMS Collaboration | Constraints on the chiral magnetic effect using charge-dependent azimuthal correlations in $ \mathrm{p}\mathrm{Pb} $ and $ \mathrm{Pb}\mathrm{Pb} $ collisions at the CERN large hadron collider | Phys. Rev. C 97 (2018) 044912 | CMS-HIN-17-001 1708.01602 |
| 312 | B. Alver and G. Roland | Collision geometry fluctuations and triangular flow in heavy-ion collisions | Phys. Rev. C 81 (2010) 054905 | 1003.0194 |
| 313 | ATLAS Collaboration | Measurement of event-plane correlations in $ \sqrt{\smash[b]{s_{_{\mathrm{NN}}}}}= $ 2.76 TeV lead-lead collisions with the ATLAS detector | Phys. Rev. C 90 (2014) 024905 | 1403.0489 |
| 314 | J. Schukraft, A. Timmins, and S. A. Voloshin | Ultra-relativistic nuclear collisions: event shape engineering | PLB 719 (2013) 394 | 1208.4563 |
| 315 | Y. Burnier, D. E. Kharzeev, J. Liao, and H.-U. Yee | Chiral magnetic wave at finite baryon density and the electric quadrupole moment of quark-gluon plasma in heavy ion collisions | PRL 107 (2011) 052303 | 1103.1307 |
| 316 | D. E. Kharzeev and H.-U. Yee | Chiral magnetic wave | PRD 83 (2011) 085007 | 1012.6026 |
| 317 | D. E. Kharzeev, J. Liao, S. A. Voloshin, and G. Wang | Chiral magnetic and vortical effects in high-energy nuclear collisions---A status report | Prog. Part. Nucl. Phys. 88 (2016) 1 | 1511.04050 |
| 318 | CMS Collaboration | Probing the chiral magnetic wave in $ \mathrm{p}\mathrm{Pb} $ and $ \mathrm{Pb}\mathrm{Pb} $ collisions at $ \sqrt{\smash[b]{s_{_{\mathrm{NN}}}}} = $ 5.02 TeV using charge-dependent azimuthal anisotropies | Phys. Rev. C 100 (2019) 064908 | CMS-HIN-16-017 1708.08901 |
| 319 | A. Bzdak and P. Bozek | Contributions to the event-by-event charge asymmetry dependence for the elliptic flow of $ \pi^{+} $ and $ \pi^{-} $ in heavy-ion collisions | PLB 726 (2013) 239 | 1303.1138 |
| 320 | U. Gürsoy et al. | Charge-dependent flow induced by magnetic and electric fields in heavy ion collisions | Phys. Rev. C 98 (2018) 055201 | 1806.05288 |
| 321 | A. Dubla, U. Gürsoy, and R. Snellings | Charge-dependent flow as evidence of strong electromagnetic fields in heavy-ion collisions | Mod. Phys. Lett. A 35 (2020) 2050324 | 2009.09727 |
| 322 | P. Braun-Munzinger | Quarkonium production in ultra-relativistic nuclear collisions: Suppression versus enhancement | JPG 34 (2007) S471 | nucl-th/0701093 |
| 323 | F.-M. Liu and S.-X. Liu | Quark-gluon plasma formation time and direct photons from heavy ion collisions | Phys. Rev. C 89 (2014) 034906 | 1212.6587 |
| 324 | S. K. Das et al. | Directed flow of charm quarks as a witness of the initial strong magnetic field in ultra-relativistic heavy ion collisions | PLB 768 (2017) 260 | 1608.02231 |
| 325 | PHENIX Collaboration | Suppression of hadrons with large transverse momentum in central Au+Au collisions at $ \sqrt{\smash[b]{s_{_{\mathrm{NN}}}}} = $ 130 GeV | PRL 88 (2002) 022301 | nucl-ex/0109003 |
| 326 | STAR Collaboration | Centrality dependence of high $ p_{\mathrm{T}} $ hadron suppression in Au+Au collisions at $ \sqrt{\smash[b]{s_{_{\mathrm{NN}}}}} = $ 130 GeV | PRL 89 (2002) 202301 | nucl-ex/0206011 |
| 327 | ATLAS Collaboration | Observation of a centrality-dependent dijet asymmetry in lead-lead collisions at $ \sqrt{\smash[b]{s_{_{\mathrm{NN}}}}}= $ 2.76 TeV with the ATLAS detector at the LHC | PRL 105 (2010) 252303 | 1011.6182 |
| 328 | CMS Collaboration | Determination of jet energy calibration and transverse momentum resolution in CMS | JINST 6 (2011) P11002 | CMS-JME-10-011 1107.4277 |
| 329 | CMS Collaboration | Jet momentum dependence of jet quenching in $ \mathrm{Pb}\mathrm{Pb} $ collisions at $ \sqrt{\smash[b]{s_{_{\mathrm{NN}}}}} = $ 2.76 TeV | PLB 712 (2012) 176 | CMS-HIN-11-013 1202.5022 |
| 330 | CMS Collaboration | Comparing transverse momentum balance of b jet pairs in pp and PbPb collisions at $ \sqrt{\smash[b]{s_{_{\mathrm{NN}}}}}= $ 5.02 TeV | JHEP 03 (2018) 181 | CMS-HIN-16-005 1802.00707 |
| 331 | CMS Collaboration | Measurement of transverse momentum relative to dijet systems in $ \mathrm{Pb}\mathrm{Pb} $ and pp collisions at $ \sqrt{\smash[b]{s_{_{\mathrm{NN}}}}}= $ 2.76 TeV | JHEP 01 (2016) 006 | CMS-HIN-14-010 1509.09029 |
| 332 | CMS Collaboration | Measurement of inclusive jet cross sections in pp and $ \mathrm{Pb}\mathrm{Pb} $ collisions at $ \sqrt{\smash[b]{s_{_{\mathrm{NN}}}}}= $ 2.76 TeV | Phys. Rev. C 96 (2017) 015202 | CMS-HIN-13-005 1609.05383 |
| 333 | K. C. Zapp | JEWEL 2.0.0: directions for use | EPJC 74 (2014) 2762 | 1311.0048 |
| 334 | R. Kunnawalkam Elayavalli and K. C. Zapp | Medium response in JEWEL and its impact on jet shape observables in heavy ion collisions | JHEP 07 (2017) 141 | 1707.01539 |
| 335 | J. Casalderrey-Solana et al. | A hybrid strong/weak coupling approach to jet quenching | JHEP 10 (2014) 019 | 1405.3864 |
| 336 | D. Pablos | Jet suppression from a small to intermediate to large radius | PRL 124 (2020) 052301 | 1907.12301 |
| 337 | B. Schenke, C. Gale, and S. Jeon | MARTINI: An event generator for relativistic heavy-ion collisions | Phys. Rev. C 80 (2009) 054913 | 0909.2037 |
| 338 | Y. He et al. | Interplaying mechanisms behind single inclusive jet suppression in heavy-ion collisions | Phys. Rev. C 99 (2019) 054911 | 1809.02525 |
| 339 | Y. Tachibana, N.-B. Chang, and G.-Y. Qin | Full jet in quark-gluon plasma with hydrodynamic medium response | Phys. Rev. C 95 (2017) 044909 | 1701.07951 |
| 340 | N.-B. Chang and G.-Y. Qin | Full jet evolution in quark-gluon plasma and nuclear modification of jet production and jet shape in Pb+Pb collisions at 2.76ATeV at the CERN Large Hadron Collider | Phys. Rev. C 94 (2016) 024902 | 1603.01920 |
| 341 | N.-B. Chang, Y. Tachibana, and G.-Y. Qin | Nuclear modification of jet shape for inclusive jets and $ \gamma $-jets at the LHC energies | PLB 801 (2020) 135181 | 1906.09562 |
| 342 | ALICE Collaboration | Measurement of the radius dependence of charged-particle jet suppression in Pb-Pb collisions at $ \sqrt{\smash[b]{s_{_{\mathrm{NN}}}}}= $ 5.02 TeV | PLB 849 (2024) 138412 | 2303.00592 |
| 343 | WA98 Collaboration | Transverse mass distributions of neutral pions from Pb-208 induced reactions at 158-A-GeV | EPJC 23 (2002) 225 | nucl-ex/0108006 |
| 344 | D. G. d'Enterria | Indications of suppressed high-$ p_{\mathrm{T}} $ hadron production in nucleus-nucleus collisions at CERN-SPS | PLB 596 (2004) 32 | nucl-ex/0403055 |
| 345 | PHENIX Collaboration | Neutral pion production with respect to centrality and reaction plane in Au$ + $Au collisions at $ \sqrt{\smash[b]{s_{_{\mathrm{NN}}}}}= $ 200 GeV | Phys. Rev. C 87 (2013) 034911 | 1208.2254 |
| 346 | STAR Collaboration | Transverse momentum and collision energy dependence of high $ p_{\mathrm{T}} $ hadron suppression in Au+Au collisions at ultrarelativistic energies | PRL 91 (2003) 172302 | nucl-ex/0305015 |
| 347 | NA49 Collaboration | High transverse momentum hadron spectra at $ \sqrt{\smash[b]{s_{_{\mathrm{NN}}}}} = $ 17.3 GeV, in Pb+Pb and p+p collisions, measured by CERN-NA49 | Phys. Rev. C 77 (2008) 034906 | 0711.0547 |
| 348 | ALICE Collaboration | Centrality dependence of charged particle production at large transverse momentum in Pb--Pb collisions at $ \sqrt{\smash[b]{s_{_{\mathrm{NN}}}}} = $ 2.76 TeV | PLB 720 (2013) 52 | 1208.2711 |
| 349 | ATLAS Collaboration | Measurement of charged-particle spectra in Pb+Pb collisions at $ \sqrt{\smash[b]{s_{_{\mathrm{NN}}}}} = $ 2.76 TeV with the ATLAS detector at the LHC | JHEP 09 (2015) 050 | 1504.04337 |
| 350 | CMS Collaboration | Study of high-$ p_{\mathrm{T}} $ charged particle suppression in $ \mathrm{Pb}\mathrm{Pb} $ compared to pp collisions at $ \sqrt{\smash[b]{s_{_{\mathrm{NN}}}}}= $ 2.76 TeV | EPJC 72 (2012) 1945 | CMS-HIN-10-005 1202.2554 |
| 351 | CMS Collaboration | Charged-particle nuclear modification factors in $ \mathrm{Pb}\mathrm{Pb} $ and $ \mathrm{p}\mathrm{Pb} $ collisions at $ \sqrt{\smash[b]{s_{_{\mathrm{NN}}}}} = $ 5.02 TeV | JHEP 04 (2017) 039 | CMS-HIN-15-015 1611.01664 |
| 352 | Y.-T. Chien et al. | Jet quenching from QCD evolution | PRD 93 (2016) 074030 | 1509.02936 |
| 353 | E. Bianchi et al. | The $ x $ and $ Q^2 $ dependence of $ \hat{q} $, quasi-particles and the JET puzzle | 1702.00481 | |
| 354 | J. Xu, J. Liao, and M. Gyulassy | Bridging soft-hard transport properties of quark-gluon plasmas with CUJET3.0 | JHEP 02 (2016) 169 | 1508.00552 |
| 355 | J. Noronha-Hostler, B. Betz, J. Noronha, and M. Gyulassy | Event-by-event hydrodynamics+jet energy loss: A solution to the $ R_{\mathrm{AA}} \otimes v_2 $ puzzle | PRL 116 (2016) 252301 | 1602.03788 |
| 356 | M. Gyulassy and X.-n. Wang | Multiple collisions and induced gluon Bremsstrahlung in QCD | NPB 420 (1994) 583 | nucl-th/9306003 |
| 357 | J. Casalderrey-Solana, Y. Mehtar-Tani, C. A. Salgado, and K. Tywoniuk | New picture of jet quenching dictated by color coherence | PLB 725 (2013) 357 | 1210.7765 |
| 358 | R. Baier et al. | Radiative energy loss of high energy quarks and gluons in a finite-volume quark-gluon plasma | NPB 483 (1997) 291 | hep-ph/9607355 |
| 359 | C. Loizides, J. Nagle, and P. Steinberg | Improved version of the PHOBOS Glauber Monte Carlo | SoftwareX 1-2 13, 2015 link |
1408.2549 |
| 360 | F. Arleo and G. Falmagne | Quenching of hadron spectra in XeXe and PbPb collisions at the LHC | PoS HardProbes 075, 2019 link |
1902.05032 |
| 361 | CMS Collaboration | Azimuthal anisotropy of charged particles with transverse momentum up to 100 $ \,\text{Ge\hspace{-.08em}V}/c $ in $ \mathrm{Pb}\mathrm{Pb} $ collisions at $ \sqrt{\smash[b]{s_{_{\mathrm{NN}}}}} = $ 5.02 TeV | PLB 776 (2018) 195 | CMS-HIN-15-014 1702.00630 |
| 362 | CMS Collaboration | Azimuthal anisotropy of charged particles at high transverse momenta in PbPb collisions at $ \sqrt{\smash[b]{s_{_{\mathrm{NN}}}}}= $ 2.76 TeV | PRL 109 (2012) 022301 | CMS-HIN-11-012 1204.1850 |
| 363 | CMS Collaboration | Azimuthal anisotropy of dijet events in PbPb collisions at $ \sqrt{\smash[b]{s_{_{\mathrm{NN}}}}} = $ 5.02 TeV | JHEP 07 (2023) 139 | CMS-HIN-21-002 2210.08325 |
| 364 | CMS Collaboration | Study of jet quenching with isolated-photon+jet correlations in PbPb and pp collisions at $ \sqrt{\smash[b]{s_{_{\mathrm{NN}}}}} = $ 5.02 TeV | PLB 785 (2018) 14 | CMS-HIN-16-002 1711.09738 |
| 365 | CMS Collaboration | Study of jet quenching with $ \mathrm{Z}+ $jet correlations in Pb-Pb and pp collisions at $ \sqrt{\smash[b]{s_{_{\mathrm{NN}}}}}= $ 5.02 TeV | PRL 119 (2017) 082301 | CMS-HIN-15-013 1702.01060 |
| 366 | L. Apolinário, J. Barata, and G. Milhano | On the breaking of Casimir scaling in jet quenching | EPJC 80 (2020) 586 | 2003.02893 |
| 367 | J. Brewer, J. Thaler, and A. P. Turner | Data-driven quark and gluon jet modification in heavy-ion collisions | Phys. Rev. C 103 (2021) L021901 | 2008.08596 |
| 368 | R. D. Field and R. P. Feynman | A parametrization of the properties of quark jets | NPB 136 (1978) 1 | |
| 369 | Fermilab-Serpukhov-Moscow-Michigan Collaboration | Net charge in deep inelastic antineutrino - nucleon scattering | PLB 91 (1980) 311 | |
| 370 | J. P. Berge et al. | Quark jets from antineutrino interactions 1: Net charge and factorization in the quark jets | NPB 184 (1981) 13 | |
| 371 | Aachen-Bonn-CERN-Munich-Oxford Collaboration | Multiplicity distributions in neutrino - hydrogen interactions | NPB 181 (1981) 385 | |
| 372 | Aachen--Bonn--CERN--Munich--Oxford Collaboration | Charge properties of the hadronic system in $ \nu\mathrm{p} $ and $ \overline{\nu}\mathrm{p} $ interactions | PLB 112 (1982) 88 | |
| 373 | European Muon Collaboration | Quark charge retention in final state hadrons from deep inelastic muon scattering | PLB 144 (1984) 302 | |
| 374 | Amsterdam-Bologna-Padua-Pisa-Saclay-Turin Collaboration | Charged hadron multiplicities in high-energy anti-muon neutrino $ \mathrm{n} $ and anti-muon neutrino $ \mathrm{p} $ interactions | Z. Phys. C 11 (1982) 283 | |
| 375 | R. Erickson et al. | Charge retention in deep inelastic electroproduction | PRL 42 (1979) 822 | |
| 376 | H. T. Li and I. Vitev | Jet charge modification in dense QCD matter | PRD 101 (2020) 076020 | 1908.06979 |
| 377 | CMS Collaboration | Measurement of quark- and gluon-like jet fractions using jet charge in PbPb and pp collisions at 5.02 TeV | JHEP 07 (2020) 115 | CMS-HIN-18-018 2004.00602 |
| 378 | CMS Collaboration | Evidence of b-jet quenching in PbPb collisions at $ \sqrt{\smash[b]{s_{_{\mathrm{NN}}}}}= $ 2.76 TeV | PRL 113 (2014) 132301 | CMS-HIN-12-003 1312.4198 |
| 379 | ATLAS Collaboration | Comparison of inclusive and photon-tagged jet suppression in 5.02 TeV Pb+Pb collisions with ATLAS | PLB 846 (2023) 138154 | 2303.10090 |
| 380 | ATLAS Collaboration | Measurement of the nuclear modification factor of $ b $-jets in 5.02 TeV Pb+Pb collisions with the ATLAS detector | EPJC 83 (2023) 438 | 2204.13530 |
| 381 | L. Apolinário, J. G. Milhano, G. P. Salam, and C. A. Salgado | Probing the time structure of the quark-gluon plasma with top quarks | PRL 120 (2018) 232301 | 1711.03105 |
| 382 | CMS Collaboration | Measurement of jet fragmentation in PbPb and pp collisions at $ \sqrt{\smash[b]{s_{_{\mathrm{NN}}}}} = $ 2.76 TeV | Phys. Rev. C 90 (2014) 024908 | CMS-HIN-12-013 1406.0932 |
| 383 | X.-N. Wang, Z. Huang, and I. Sarcevic | Jet quenching in the opposite direction of a tagged photon in high-energy heavy ion collisions | PRL 77 (1996) 231 | hep-ph/9605213 |
| 384 | X.-N. Wang and Z. Huang | Study medium induced parton energy loss in gamma+jet events of high-energy heavy ion collisions | Phys. Rev. C 55 (1997) 3047 | hep-ph/9701227 |
| 385 | X.-N. Wang and Y. Zhu | Medium modification of $ \gamma $-jets in high-energy heavy-ion collisions | PRL 111 (2013) 062301 | 1302.5874 |
| 386 | J. Casalderrey-Solana et al. | Predictions for boson-jet observables and fragmentation function ratios from a hybrid strong/weak coupling model for jet quenching | JHEP 03 (2016) 053 | 1508.00815 |
| 387 | CMS Collaboration | Observation of medium-induced modifications of jet fragmentation in Pb-Pb collisions at $ \sqrt{\smash[b]{s_{_{\mathrm{NN}}}}} = $ 5.02 TeV using isolated photon-tagged jets | PRL 121 (2018) 242301 | CMS-HIN-16-014 1801.04895 |
| 388 | ZEUS Collaboration | Measurement of jet shapes in high $ Q^{2} $ deep inelastic scattering at HERA | EPJC 8 (1999) 367 | hep-ex/9804001 |
| 389 | H1 Collaboration | Jets and energy flow in photon - proton collisions at HERA | Z. Phys. C 70 (1996) 17 | hep-ex/9511012 |
| 390 | D0 Collaboration | Transverse energy distributions within jets in $ \mathrm{p}\overline{\mathrm{p}} $ collisions at $ \sqrt{\smash[b]{s}} = $ 1.8 TeV | PLB 357 (1995) 500 | |
| 391 | CDF Collaboration | A measurement of jet shapes in $ \mathrm{p}\overline{\mathrm{p}} $ collisions at $ \sqrt{\smash[b]{s}} = $ 1.8 TeV | PRL 70 (1993) 713 | |
| 392 | ATLAS Collaboration | Study of jet shapes in inclusive jet production in pp collisions at $ \sqrt{\smash[b]{s}}= $ 7 TeV using the ATLAS detector | PRD 83 (2011) 052003 | 1101.0070 |
| 393 | CMS Collaboration | Modification of jet shapes in $ \mathrm{Pb}\mathrm{Pb} $ collisions at $ \sqrt{\smash[b]{s_{_{\mathrm{NN}}}}} = $ 2.76 TeV | PLB 730 (2014) 243 | CMS-HIN-12-002 1310.0878 |
| 394 | CMS Collaboration | Correlations between jets and charged particles in $ \mathrm{Pb}\mathrm{Pb} $ and pp collisions at $ \sqrt{\smash[b]{s_{_{\mathrm{NN}}}}}= $ 2.76 TeV | JHEP 02 (2016) 156 | CMS-HIN-14-016 1601.00079 |
| 395 | CMS Collaboration | Decomposing transverse momentum balance contributions for quenched jets in $ \mathrm{Pb}\mathrm{Pb} $ collisions at $ \sqrt{\smash[b]{s_{_{\mathrm{NN}}}}} = $ 2.76 TeV | JHEP 11 (2016) 055 | CMS-HIN-15-011 1609.02466 |
| 396 | CMS Collaboration | Jet properties in PbPb and pp collisions at $ \sqrt{\smash[b]{s_{_{\mathrm{NN}}}}} = $ 5.02 TeV | JHEP 05 (2018) 006 | CMS-HIN-16-020 1803.00042 |
| 397 | CMS Collaboration | In-medium modification of dijets in $ \mathrm{Pb}\mathrm{Pb} $ collisions at $ \sqrt{\smash[b]{s_{_{\mathrm{NN}}}}} = $ 5.02 TeV | JHEP 05 (2021) 116 | CMS-HIN-19-013 2101.04720 |
| 398 | Y.-T. Chien and I. Vitev | Towards the understanding of jet shapes and cross sections in heavy ion collisions using soft-collinear effective theory | JHEP 05 (2016) 023 | 1509.07257 |
| 399 | J. Brewer, K. Rajagopal, A. Sadofyev, and W. Van Der Schee | Evolution of the mean jet shape and dijet asymmetry distribution of an ensemble of holographic jets in strongly coupled plasma | JHEP 02 (2018) 015 | 1710.03237 |
| 400 | J. Casalderrey-Solana et al. | Angular structure of jet quenching within a hybrid strong/weak coupling model | JHEP 03 (2017) 135 | 1609.05842 |
| 401 | CMS Collaboration | Jet shapes of isolated photon-tagged jets in Pb-Pb and pp collisions at $ \sqrt{\smash[b]{s_{_{\mathrm{NN}}}}} = $ 5.02 TeV | PRL 122 (2019) 152001 | CMS-HIN-18-006 1809.08602 |
| 402 | CMS Collaboration | Using Z boson events to study parton-medium interactions in Pb-Pb collisions | PRL 128 (2022) 122301 | CMS-HIN-19-006 2103.04377 |
| 403 | J. G. Milhano and K. C. Zapp | Origins of the di-jet asymmetry in heavy ion collisions | EPJC 76 (2016) 288 | 1512.08107 |
| 404 | J. Brewer, A. Sadofyev, and W. van der Schee | Jet shape modifications in holographic dijet systems | PLB 820 (2021) 136492 | 1809.10695 |
| 405 | CMS Collaboration | Measurement of the splitting function in pp and Pb-Pb collisions at $ \sqrt{\smash[b]{s_{_{\mathrm{NN}}}}} = $ 5.02 TeV | PRL 120 (2018) 142302 | CMS-HIN-16-006 1708.09429 |
| 406 | A. J. Larkoski, S. Marzani, G. Soyez, and J. Thaler | Soft Drop | JHEP 05 (2014) 146 | 1402.2657 |
| 407 | CMS Collaboration | Measurement of the groomed jet mass in PbPb and pp collisions at $ \sqrt{\smash[b]{s_{_{\mathrm{NN}}}}} = $ 5.02 TeV | JHEP 10 (2018) 161 | CMS-HIN-16-024 1805.05145 |
| 408 | Y. L. Dokshitzer, V. A. Khoze, and S. I. Troian | On specific QCD properties of heavy quark fragmentation ('dead cone') | JPG 17 (1991) 1602 | |
| 409 | CMS Collaboration | Nuclear modification factor of $ \mathrm{D^0} $ mesons in $ \mathrm{Pb}\mathrm{Pb} $ collisions at $ \sqrt{\smash[b]{s_{_{\mathrm{NN}}}}} = $ 5.02 TeV | PLB 782 (2018) 474 | CMS-HIN-16-001 1708.04962 |
| 410 | CMS Collaboration | Measurement of the $ {\mathrm{B}^{\pm}} $ meson nuclear modification factor in Pb-Pb collisions at $ \sqrt{\smash[b]{s_{_{\mathrm{NN}}}}}= $ 5.02 TeV | PRL 119 (2017) 152301 | CMS-HIN-16-011 1705.04727 |
| 411 | CMS Collaboration | Studies of beauty suppression via nonprompt $ \mathrm{D^0} $ mesons in Pb-Pb collisions at $ Q^2 = 4\,\text{Ge\hspace{-.08em}V}^2 $ | PRL 123 (2019) 022001 | CMS-HIN-16-016 1810.11102 |
| 412 | CMS Collaboration | Measurement of prompt and nonprompt charmonium suppression in $ \mathrm{Pb}\mathrm{Pb} $ collisions at 5.02 TeV | EPJC 78 (2018) 509 | CMS-HIN-16-025 1712.08959 |
| 413 | CMS Collaboration | Measurements of the azimuthal anisotropy of prompt and nonprompt charmonia in $ \mathrm{Pb}\mathrm{Pb} $ collisions at $ \sqrt{\smash[b]{s_{_{\mathrm{NN}}}}} = $ 5.02 TeV | JHEP 10 (2023) 115 | CMS-HIN-21-008 2305.16928 |
| 414 | S. A. Voloshin, A. M. Poskanzer, A. Tang, and G. Wang | Elliptic flow in the Gaussian model of eccentricity fluctuations | PLB 659 (2008) 537 | 0708.0800 |
| 415 | A. Bilandzic, R. Snellings, and S. Voloshin | Flow analysis with cumulants: Direct calculations | Phys. Rev. C 83 (2011) 044913 | 1010.0233 |
| 416 | B. Betz et al. | Cumulants and nonlinear response of high $ p_{\mathrm{T}} $ harmonic flow at $ \sqrt{\smash[b]{s_{_{\mathrm{NN}}}}} = $ 5.02 TeV | Phys. Rev. C 95 (2017) 044901 | 1609.05171 |
| 417 | B. Svetitsky | Diffusion of charmed quarks in the quark-gluon plasma | PRD 37 (1988) 2484 | |
| 418 | M. He, H. van Hees, and R. Rapp | Heavy-quark diffusion in the quark-gluon plasma | Prog. Part. Nucl. Phys. 130 (2023) 104020 | 2204.09299 |
| 419 | X. Dong, Y.-J. Lee, and R. Rapp | Open heavy-flavor production in heavy-ion collisions | Ann. Rev. Nucl. Part. Sci. 69 (2019) 417 | 1903.07709 |
| 420 | Y. Xu et al. | Data-driven analysis for the temperature and momentum dependence of the heavy-quark diffusion coefficient in relativistic heavy-ion collisions | Phys. Rev. C 97 (2018) 014907 | 1710.00807 |
| 421 | CMS Collaboration | Studies of charm quark diffusion inside jets using PbPb and pp collisions at $ \sqrt{\smash[b]{s_{_{\mathrm{NN}}}}} = $ 5.02 TeV | PRL 125 (2020) 102001 | CMS-HIN-18-007 1911.01461 |
| 422 | CMS Collaboration | Study of charm hadronization with prompt $ \Lambda_{c}^{+} $ baryons in proton-proton and lead-lead collisions at $ \sqrt{\smash[b]{s_{_{\mathrm{NN}}}}} = $ 5.02 TeV | JHEP 01 (2024) 128 | CMS-HIN-21-004 2307.11186 |
| 423 | Andersson, Bo and Gustafson, G. and Ingelman, G. and Sjöstrand, T. | Parton fragmentation and string dynamics | Phys. Rept. 97 (1983) 31 | |
| 424 | V. Greco, C. M. Ko, and P. Levai | Parton coalescence and anti-proton/pion anomaly at RHIC | PRL 90 (2003) 202302 | nucl-th/0301093 |
| 425 | R. J. Fries, V. Greco, and P. Sorensen | Coalescence models for hadron formation from quark gluon plasma | Ann. Rev. Nucl. Part. Sci. 58 (2008) 177 | 0807.4939 |
| 426 | J. Rafelski and B. Muller | Strangeness production in the quark-gluon plasma | PRL 48 (1982) 1066 | |
| 427 | CMS Collaboration | Measurement of $ \mathrm{B}_{s}^{0} $ meson production in pp and $ \mathrm{Pb}\mathrm{Pb} $ collisions at $ \sqrt{\smash[b]{s_{_{\mathrm{NN}}}}} = $ 5.02 TeV | PLB 796 (2019) 168 | CMS-HIN-17-008 1810.03022 |
| 428 | CMS Collaboration | Observation of $ \mathrm{B}_{s}^{0} $ mesons and measurement of the $ \mathrm{B}_{s}^{0} $/$ {\mathrm{B}^{+}} $ yield ratio in $ \mathrm{Pb}\mathrm{Pb} $ collisions at $ \sqrt{\smash[b]{s_{_{\mathrm{NN}}}}} = $ 5.02 TeV | PLB 829 (2022) 137062 | CMS-HIN-19-011 2109.01908 |
| 429 | CMS Collaboration | Observation of the $ \mathrm{B}_{c}^{+} $ meson in $ \mathrm{Pb}\mathrm{Pb} $ and pp collisions at $ \sqrt{\smash[b]{s_{_{\mathrm{NN}}}}} = $ 5.02 TeV and measurement of its nuclear modification factor | PRL 128 (2022) 252301 | CMS-HIN-20-004 2201.02659 |
| 430 | CMS Collaboration | Production of $ \Lambda_{c}^{+} $ baryons in proton-proton and lead-lead collisions at $ \sqrt{\smash[b]{s_{_{\mathrm{NN}}}}} = $ 5.02 TeV | PLB 803 (2020) 135328 | CMS-HIN-18-009 1906.03322 |
| 431 | CMS Collaboration | Evidence for X(3872) in Pb-Pb collisions and studies of its prompt production at $ \sqrt{\smash[b]{s_{_{\mathrm{NN}}}}} = $ 5.02 TeV | PRL 128 (2022) 032001 | CMS-HIN-19-005 2102.13048 |
| 432 | J. R. Christiansen and P. Z. Skands | String formation beyond leading colour | JHEP 08 (2015) 003 | 1505.01681 |
| 433 | V. Minissale, S. Plumari, and V. Greco | Charm hadrons in pp collisions at LHC energy within a coalescence plus fragmentation approach | PLB 821 (2021) 136622 | |
| 434 | M. He and R. Rapp | Charm-baryon production in proton-proton collisions | PLB 795 (2019) 117 | 1902.08889 |
| 435 | M. He and R. Rapp | Hadronization and charm-hadron ratios in heavy-ion collisions | PRL 124 (2020) 042301 | |
| 436 | M. Benzke et al. | Prompt neutrinos from atmospheric charm in the general-mass variable-flavor-number scheme | JHEP 12 (2017) 021 | 1705.10386 |
| 437 | B. Kniehl, G. Kramer, I. Schienbein, and H. Spiesberger | $ \Lambda_{c}^{+} $ production in pp collisions with a new fragmentation function | PRD 101 (2020) 114021 | 2004.04213 |
| 438 | LHCb Collaboration | Measurement of $ f_s / f_u $ variation with proton-proton collision energy and $ {\mathrm{B}} $-meson Kinematics | PRL 124 (2020) 122002 | 1910.09934 |
| 439 | M. He, R. J. Fries, and R. Rapp | Heavy flavor at the large hadron collider in a strong coupling approach | PLB 735 (2014) 445 | 1401.3817 |
| 440 | S. Cao et al. | Charmed hadron chemistry in relativistic heavy-ion collisions | PLB 807 (2020) 133561 | 1911.00456 |
| 441 | J. Song, H.-h. Li, and F.-l. Shao | New feature of low $ p_{\mathrm{T}} $ charm quark hadronization in pp collisions at $ \sqrt{\smash[b]{s}}= $ 2.76 TeV | EPJC 78 (2018) 344 | 1801.09402 |
| 442 | ExHIC Collaboration | Studying exotic hadrons in heavy ion collisions | Phys. Rev. C 84 (2011) 064910 | 1107.1302 |
| 443 | H. Zhang et al. | Deciphering the nature of X(3872) in heavy ion collisions | PRL 126 (2021) 012301 | 2004.00024 |
| 444 | B. Wu, X. Du, M. Sibila, and R. Rapp | $ X(3872) $ transport in heavy-ion collisions | Eur. Phys. J. A 57 (2021) 122 | 2006.09945 |
| 445 | CMS Collaboration | Measurement of the X(3872) production cross section via decays to $ \mathrm{J}/\psi \pi^{+} \pi^{-} $ in pp collisions at $ \sqrt{\smash[b]{s}} = $ 7 TeV | JHEP 04 (2013) 154 | CMS-BPH-11-011 1302.3968 |
| 446 | ATLAS Collaboration | Measurements of $ \psi \text{(2S)} $ and $ X(3872) \to \mathrm{J}/\psi\pi^{+}\pi^{-} $ production in pp collisions at $ \sqrt{\smash[b]{s}} = $ 8 TeV with the ATLAS detector | JHEP 01 (2017) 117 | 1610.09303 |
| 447 | LHCb Collaboration | Determination of the X(3872) meson quantum numbers | PRL 110 (2013) 222001 | 1302.6269 |
| 448 | T. Matsui and H. Satz | $ \mathrm{J}/\psi $ suppression by quark-gluon plasma formation | PLB 178 (1986) 416 | |
| 449 | S. Digal, P. Petreczky, and H. Satz | Quarkonium feed down and sequential suppression | PRD 64 (2001) 094015 | hep-ph/0106017 |
| 450 | F. Karsch, D. Kharzeev, and H. Satz | Sequential charmonium dissociation | PLB 637 (2006) 75 | hep-ph/0512239 |
| 451 | NA38 Collaboration | $ \mathrm{J}/\psi $, $ \psi \text{(2S)} $ and Drell--Yan production in S-U interactions at 200 GeV per nucleon | PLB 449 (1999) 128 | |
| 452 | NA50 Collaboration | Evidence for deconfinement of quarks and gluons from the $ \mathrm{J}/\psi $ suppression pattern measured in Pb+Pb collisions at the CERN SPS | PLB 477 (2000) 28 | |
| 453 | NA60 Collaboration | $ \mathrm{J}/\psi $ production in indium-indium collisions at 158 GeV/nucleon | PRL 99 (2007) 132302 | |
| 454 | NA50 Collaboration | $ \mathrm{J}/\psi $ and $ \psi \text{(2S)} $ production and their normal nuclear absorption in proton-nucleus collisions at 400 GeV | EPJC 48 (2006) 329 | nucl-ex/0612012 |
| 455 | NA50 Collaboration | Charmonium production and nuclear absorption in p-A interactions at 450 GeV | EPJC 33 (2004) 31 | |
| 456 | E866/NuSea Collaboration | Measurement of $ \mathrm{J}/\psi $ and $ \psi \text{(2S)} $ suppression in p-A collisions at 800 GeV | PRL 84 (2000) 3256 | nucl-ex/9909007 |
| 457 | PHENIX Collaboration | Measurement of the relative yields of $ \psi \text{(2S)} $ to $ \mathrm{J}/\psi $ mesons produced at forward and backward rapidity in $ \mathrm{p}{+}\mathrm{p} $, $ \mathrm{p}+ $Al, $ \mathrm{p}+ $Au, and $ ^{3} $He$ + $Au collisions at $ \sqrt{\smash[b]{s_{_{\mathrm{NN}}}}}= $ 200 GeV | Phys. Rev. C 95 (2017) 034904 | 1609.06550 |
| 458 | C. Lourenço , R. Vogt, and H. Wöhri | Energy dependence of $ \mathrm{J}/\psi $ absorption in proton-nucleus collisions | JHEP 02 (2009) 014 | 0901.3054 |
| 459 | PHENIX Collaboration | Measurement of $ \psi \text{(2S)} $ nuclear modification at backward and forward rapidity in $ \mathrm{p}{+}\mathrm{p} $, $ \mathrm{p}+ $Al, and $ \mathrm{p}+ $Au collisions at $ \sqrt{\smash[b]{s_{_{\mathrm{NN}}}}}= $ 200 GeV | Phys. Rev. C 105 (2022) 064912 | 2202.03863 |
| 460 | LHCb Collaboration | Charmonium production in $ \mathrm{p}\textrm{Ne} $ collisions at $ \sqrt{\smash[b]{s_{_{\mathrm{NN}}}}}= $ 68.5 GeV | EPJC 83 (2023) 625 | 2211.11645 |
| 461 | LHCb Collaboration | Study of $ \chi _{{\mathrm {b}}} $ meson production in pp collisions at $ \sqrt{\smash[b]{s}}= $ 7 and 8 TeV and observation of the decay $ \chi _{{\mathrm {b}}}\mathrm {(3P)} \to \Upsilon \mathrm {(3S)} {\gamma } $ | EPJC 74 (2014) 3092 | 1407.7734 |
| 462 | P. Faccioli, C. Lourenço , M. Araújo, and J. Seixas | Universal kinematic scaling as a probe of factorized long-distance effects in high-energy quarkonium production | EPJC 78 (2018) 118 | 1802.01102 |
| 463 | J. Boyd, S. Thapa, and M. Strickland | Transverse momentum dependent feed-down fractions for bottomonium production | PRD 108 (2023) 094024 | 2307.03841 |
| 464 | R. L. Workman et al. | Review of particle physics | PTEP 2022 (2022) 083C01 | |
| 465 | P. Faccioli, C. Lourenço , J. Seixas, and H. Wöhri | Study of $ \psi \text{(2S)} $ and $ \chi_{c} $ decays as feed-down sources of $ \mathrm{J}/\psi $ hadro-production | JHEP 10 (2008) 004 | 0809.2153 |
| 466 | J.-P. Lansberg | New observables in inclusive production of quarkonia | Phys. Rept. 889 (2020) 1 | 1903.09185 |
| 467 | R. L. Thews, M. Schroedter, and J. Rafelski | Enhanced $ \mathrm{J}/\psi $ production in deconfined quark matter | Phys. Rev. C 63 (2001) 054905 | hep-ph/0007323 |
| 468 | P. Braun-Munzinger and J. Stachel | (Non)thermal aspects of charmonium production and a new look at $ \mathrm{J}/\psi $ suppression | PLB 490 (2000) 196 | nucl-th/0007059 |
| 469 | P. Faccioli and C. Lourenço | The fate of quarkonia in heavy-ion collisions at LHC energies: a unified description of the sequential suppression patterns | EPJC 78 (2018) 731 | 1809.10488 |
| 470 | CMS Collaboration | Observation of the $ \Upsilon{\textrm{(3S)}} $ meson and suppression of $ \Upsilon $ states in $ \mathrm{Pb}\mathrm{Pb} $ collisions at $ \sqrt{\smash[b]{s_{_{\mathrm{NN}}}}} = $ 5.02 TeV | Submitted to PRL, 2023 | CMS-HIN-21-007 2303.17026 |
| 471 | CMS Collaboration | Relative modification of prompt $ \psi \text{(2S)} $ and $ \mathrm{J}/\psi $ yields from pp to PbPb collisions at $ \sqrt{\smash[b]{s_{_{\mathrm{NN}}}}} = $ 5.02 TeV | PRL 118 (2017) 162301 | CMS-HIN-16-004 1611.01438 |
| 472 | CMS Collaboration | Measurement of nuclear modification factors of $ \Upsilon $(1S), $ \Upsilon $(2S), and $ \Upsilon $(3S) mesons in PbPb collisions at $ \sqrt{\smash[b]{s_{_{\mathrm{NN}}}}} = $ 5.02 TeV | PLB 790 (2019) 270 | CMS-HIN-16-023 1805.09215 |
| 473 | CMS Collaboration | Fragmentation of jets containing a prompt $ \mathrm{J}/\psi $ meson in PbPb and pp collisions at $ \sqrt{\smash[b]{s_{_{\mathrm{NN}}}}} = $ 5.02 TeV | PLB 825 (2022) 136842 | CMS-HIN-19-007 2106.13235 |
| 474 | D. d'Enterria et al. | Estimates of hadron azimuthal anisotropy from multiparton interactions in proton-proton collisions at $ \sqrt{s}= $ 14 TeV | EPJC 66 (2010) 173 | 0910.3029 |
| 475 | L. Cunqueiro, J. Dias de Deus, and C. Pajares | Nuclear like effects in proton-proton collisions at high energy | EPJC 65 (2010) 423 | 0806.0523 |
| 476 | K. Werner, F.-M. Liu, and T. Pierog | Parton ladder splitting and the rapidity dependence of transverse momentum spectra in deuteron-gold collisions at the BNL Relativistic Heavy Ion Collider | Phys. Rev. C 74 (2006) 044902 | hep-ph/0506232 |
| 477 | M. Gyulassy and X.-N. Wang | HIJING 1.0: A Monte Carlo program for parton and particle production in high energy hadronic and nuclear collisions | Comput. Phys. Commun. 83 (1994) 307 | nucl-th/9502021 |
| 478 | R. Xu, W.-T. Deng, and X.-N. Wang | Nuclear modification of high-$ p_{\mathrm{T}} $ hadron spectra in high-energy $ \mathrm{p}{+}\mathrm{A} $ collisions | Phys. Rev. C 86 (2012) 051901 | 1204.1998 |
| 479 | S. Roesler, R. Engel, and J. Ranft | The Monte Carlo event generator DPMJET-III | in Proc. Advanced Monte Carlo for radiation physics, particle transport simulation and applications. Conference, MC, Lisbon, 2000 October 2 (2000) 3 |
hep-ph/0012252 |
| 480 | ALICE Collaboration | Pseudorapidity density of charged particles in $ \mathrm{p}\mathrm{Pb} $ collisions at $ \sqrt{\smash[b]{s_{_{\mathrm{NN}}}}}= $ 5.02 TeV | PRL 110 (2013) 032301 | 1210.3615 |
| 481 | E178 Collaboration | Experimental study of multiparticle production in hadron-nucleus interactions at high energy | PRD 22 (1980) 13 | |
| 482 | NA35 Collaboration | Charged particle production in proton, deuteron, oxygen and sulphur nucleus collisions at 200 GeV per nucleon | EPJC 2 (1998) 643 | hep-ex/9711001 |
| 483 | PHOBOS Collaboration | Pseudorapidity distribution of charged particles in $ \textrm{d} $+Au collisions at $ \sqrt{\smash[b]{s_{_{\mathrm{NN}}}}} = $ 200 GeV | PRL 93 (2004) 082301 | nucl-ex/0311009 |
| 484 | PHENIX Collaboration | Transverse energy production and charged-particle multiplicity at midrapidity in various systems from $ \sqrt{\smash[b]{s_{_{\mathrm{NN}}}}}= $ 7.7 to 200 GeV | Phys. Rev. C 93 (2016) 024901 | 1509.06727 |
| 485 | PHENIX Collaboration | Measurements of azimuthal anisotropy and charged-particle multiplicity in $ \mathrm{d}+ $Au collisions at $ \sqrt{\smash[b]{s_{_{\mathrm{NN}}}}}= $ 200, 62.4, 39, and 19.6 GeV | Phys. Rev. C 96 (2017) 064905 | 1708.06983 |
| 486 | NA50 Collaboration | Scaling of charged particle multiplicity in Pb-Pb collisions at SPS energies | PLB 530 (2002) 43 | |
| 487 | STAR Collaboration | Multiplicity distribution and spectra of negatively charged hadrons in Au+Au collisions at $ \sqrt{\smash[b]{s_{_{\mathrm{NN}}}}} = $ 130 GeV | PRL 87 (2001) 112303 | nucl-ex/0106004 |
| 488 | BRAHMS Collaboration | Charged particle densities from Au+Au collisions at $ \sqrt{\smash[b]{s_{_{\mathrm{NN}}}}} = $ 130 GeV | PLB 523 (2001) 227 | nucl-ex/0108016 |
| 489 | BRAHMS Collaboration | Pseudorapidity distributions of charged particles from Au+Au collisions at the maximum RHIC energy, $ \sqrt{\smash[b]{s_{_{\mathrm{NN}}}}} = $ 200 GeV | PRL 88 (2002) 202301 | nucl-ex/0112001 |
| 490 | PHENIX Collaboration | Centrality dependence of charged particle multiplicity in Au-Au collisions at $ \sqrt{\smash[b]{s_{_{\mathrm{NN}}}}}= $ 130 GeV | PRL 86 (2001) 3500 | nucl-ex/0012008 |
| 491 | PHOBOS Collaboration | Charged-particle multiplicity near midrapidity in central Au+Au collisions at $ \sqrt{\smash[b]{s_{_{\mathrm{NN}}}}} = $ 56 and 130 GeV | PRL 85 (2000) 3100 | hep-ex/0007036 |
| 492 | PHOBOS Collaboration | Charged-particle pseudorapidity density distributions from Au+Au collisions at $ \sqrt{\smash[b]{s_{_{\mathrm{NN}}}}}= $ 130 GeV | PRL 87 (2001) 102303 | nucl-ex/0106006 |
| 493 | PHOBOS Collaboration | Significance of the fragmentation region in ultrarelativistic heavy-ion collisions | PRL 91 (2003) 052303 | nucl-ex/0210015 |
| 494 | ALICE Collaboration | Charged-particle multiplicity density at midrapidity in central Pb-Pb collisions at $ \sqrt{\smash[b]{s_{_{\mathrm{NN}}}}} = $ 2.76 TeV | PRL 105 (2010) 252301 | 1011.3916 |
| 495 | ATLAS Collaboration | Measurement of the centrality dependence of the charged particle pseudorapidity distribution in lead-lead collisions at $ \sqrt{\smash[b]{s_{_{\mathrm{NN}}}}}= $ 2.76 TeV with the ATLAS detector | PLB 710 (2012) 363 | 1108.6027 |
| 496 | STAR Collaboration | Identified particle production, azimuthal anisotropy, and interferometry measurements in Au+Au collisions at $ \sqrt{\smash[b]{s_{_{\mathrm{NN}}}}} = $ 9.2 GeV | Phys. Rev. C 81 (2010) 024911 | 0909.4131 |
| 497 | STAR Collaboration | Systematic measurements of identified particle spectra in pp, d+Au, and Au+Au collisions at the STAR detector | Phys. Rev. C 79 (2009) 034909 | 0808.2041 |
| 498 | UA5 Collaboration | Particle multiplicities in pp interactions at $ \sqrt{\smash[b]{s}} = $ 540 GeV | PLB 121 (1983) 209 | |
| 499 | CDF Collaboration | Pseudorapidity distributions of charged particles produced in $ \overline{\mathrm{p}}\mathrm{p} $ interactions at $ \sqrt{\smash[b]{s}} = $ 630 and 1800 GeV | PRD 41 (1990) 2330 | |
| 500 | Aachen-CERN-Heidelberg-Munich Collaboration | Charged particle multiplicity distributions in pp collisions at ISR energies | NPB 129 (1977) 365 | |
| 501 | CMS Collaboration | Pseudorapidity distribution of charged hadrons in proton-proton collisions at $ \sqrt{\smash[b]{s}} = $ 13 TeV | PLB 751 (2015) 143 | CMS-FSQ-15-001 1507.05915 |
| 502 | CMS Collaboration | Study of the inclusive production of charged pions, kaons, and protons in pp collisions at $ \sqrt{\smash[b]{s}}= $ 0.9, 2.76, and 7 TeV | EPJC 72 (2012) 2164 | CMS-FSQ-12-014 1207.4724 |
| 503 | ALICE Collaboration | Centrality dependence of $ \pi $, K, p production in Pb-Pb collisions at $ \sqrt{\smash[b]{s_{_{\mathrm{NN}}}}} = $ 2.76 TeV | Phys. Rev. C 88 (2013) 044910 | 1303.0737 |
| 504 | CMS Collaboration | Multiplicity and rapidity dependence of strange hadron production in pp, pPb, and PbPb collisions at the LHC | PLB 768 (2017) 103 | CMS-HIN-15-006 1605.06699 |
| 505 | CMS Collaboration | Centrality and pseudorapidity dependence of the transverse energy density in $ \mathrm{p}\mathrm{Pb} $ collisions at $ \sqrt{\smash[b]{s_{_{\mathrm{NN}}}}} = $ 5.02 TeV | Phys. Rev. C 100 (2019) 024902 | CMS-HIN-14-014 1810.05745 |
| 506 | S. A. Voloshin, A. M. Poskanzer, and R. Snellings | Collective phenomena in non-central nuclear collisions | Landolt-Bornstein 23 (2010) 293 | 0809.2949 |
| 507 | STAR Collaboration | Centrality dependence of charged hadron and strange hadron elliptic flow from $ \sqrt{\smash[b]{s_{_{\mathrm{NN}}}}} = $ 200 GeV $ \mathrm{Au}{+}\mathrm{Au} $ collisions | Phys. Rev. C 77 (2008) 054901 | 0801.3466 |
| 508 | L. Yan and J.-Y. Ollitrault | Universal fluctuation-driven eccentricities in proton-proton, proton-nucleus and nucleus-nucleus collisions | PRL 112 (2014) 082301 | 1312.6555 |
| 509 | CMS Collaboration | Multiparticle correlation studies in $ \mathrm{p}\mathrm{Pb} $ collisions at $ \sqrt{\smash[b]{s_{_{\mathrm{NN}}}}} = $ 8.16 TeV | Phys. Rev. C 101 (2020) 014912 | CMS-HIN-17-004 1904.11519 |
| 510 | CMS Collaboration | Correlations of azimuthal anisotropy Fourier harmonics with subevent cumulants in $ \mathrm{p}\mathrm{Pb} $ collisions at $ \sqrt{\smash[b]{s_{_{\mathrm{NN}}}}}= $ 8.16 TeV | Phys. Rev. C 103 (2021) 014902 | CMS-HIN-18-015 1905.09935 |
| 511 | J. Jia, M. Zhou, and A. Trzupek | Revealing long-range multiparticle collectivity in small collision systems via subevent cumulants | Phys. Rev. C 96 (2017) 034906 | 1701.03830 |
| 512 | ATLAS Collaboration | Measurement of the correlation between flow harmonics of different order in lead-lead collisions at $ \sqrt{\smash[b]{s_{_{\mathrm{NN}}}}}= $ 2.76 TeV with the ATLAS detector | Phys. Rev. C 92 (2015) 034903 | 1504.01289 |
| 513 | ALICE Collaboration | Correlated event-by-event fluctuations of flow harmonics in Pb-Pb collisions at $ \sqrt{\smash[b]{s_{_{\mathrm{NN}}}}}= $ 2.76 TeV | PRL 117 (2016) 182301 | 1604.07663 |
| 514 | Z. Xu and C. Greiner | Shear viscosity in a gluon gas | PRL 100 (2008) 172301 | 0710.5719 |
| 515 | A. Bzdak and G.-L. Ma | Elliptic and triangular flow in $ \mathrm{p} $+Pb and peripheral Pb+Pb collisions from parton scatterings | PRL 113 (2014) 252301 | 1406.2804 |
| 516 | A. Dumitru et al. | The ridge in proton-proton collisions at the LHC | PLB 697 (2011) 21 | 1009.5295 |
| 517 | K. Dusling and R. Venugopalan | Azimuthal collimation of long range rapidity correlations by strong color fields in high multiplicity hadron-hadron collisions | PRL 108 (2012) 262001 | 1201.2658 |
| 518 | G. Giacalone, B. Schenke, and C. Shen | Observable signatures of initial state momentum anisotropies in nuclear collisions | PRL 125 (2020) 192301 | 2006.15721 |
| 519 | A. Baty, P. Gardner, and W. Li | Novel observables for exploring QCD collective evolution and quantum entanglement within individual jets | Phys. Rev. C 107 (2023) 064908 | 2104.11735 |
| 520 | STAR Collaboration | Measurement of $ \mathrm{D^0} $ azimuthal anisotropy at midrapidity in $ \mathrm{Au}{+}\mathrm{Au} $ collisions at $ \sqrt{\smash[b]{s_{_{\mathrm{NN}}}}} = $ 200 GeV | PRL 118 (2017) 212301 | 1701.06060 |
| 521 | ALICE Collaboration | Azimuthal anisotropy of $ \mathrm{D} $ meson production in Pb-Pb collisions at $ \sqrt{\smash[b]{s_{_{\mathrm{NN}}}}} = $ 2.76 TeV | Phys. Rev. C 90 (2014) 034904 | 1405.2001 |
| 522 | ALICE Collaboration | $ \mathrm{D} $-meson azimuthal anisotropy in midcentral Pb-Pb collisions at $ \sqrt{\smash[b]{s_{_{\mathrm{NN}}}}}= $ 5.02 TeV | PRL 120 (2018) 102301 | 1707.01005 |
| 523 | CMS Collaboration | Elliptic flow of charm and strange hadrons in high-multiplicity pPb collisions at $ \sqrt{\smash[b]{s_{_{\mathrm{NN}}}}} = $ 8.16 TeV | PRL 121 (2018) 082301 | CMS-HIN-17-003 1804.09767 |
| 524 | CMS Collaboration | Observation of prompt $ \mathrm{J}/\psi $ meson elliptic flow in high-multiplicity $ \mathrm{p}\mathrm{Pb} $ collisions at $ \sqrt{\smash[b]{s_{_{\mathrm{NN}}}}} = $ 8.16 TeV | PLB 791 (2019) 172 | CMS-HIN-18-010 1810.01473 |
| 525 | CMS Collaboration | Studies of charm and beauty hadron long-range correlations in pp and pPb collisions at LHC energies | PLB 813 (2021) 136036 | CMS-HIN-19-009 2009.07065 |
| 526 | X. Du and R. Rapp | In-medium charmonium production in proton-nucleus collisions | JHEP 03 (2019) 015 | 1808.10014 |
| 527 | D. Molnar and S. A. Voloshin | Elliptic flow at large transverse momenta from quark coalescence | PRL 91 (2003) 092301 | nucl-th/0302014 |
| 528 | R. J. Fries, B. Muller, C. Nonaka, and S. A. Bass | Hadronization in heavy ion collisions: recombination and fragmentation of partons | PRL 90 (2003) 202303 | nucl-th/0301087 |
| 529 | STAR Collaboration | Particle type dependence of azimuthal anisotropy and nuclear modification of particle production in $ \mathrm{Au}{+}\mathrm{Au} $ collisions at $ \sqrt{\smash[b]{s_{_{\mathrm{NN}}}}} = $ 200 GeV | PRL 92 (2004) 052302 | nucl-ex/0306007 |
| 530 | STAR Collaboration | Mass, quark-number, and $ \sqrt{\smash[b]{s_{_{\mathrm{NN}}}}} $ dependence of the second and fourth flow harmonics in ultra-relativistic nucleus-nucleus collisions | Phys. Rev. C 75 (2007) 054906 | nucl-ex/0701010 |
| 531 | PHENIX Collaboration | Scaling properties of azimuthal anisotropy in Au+Au and Cu+Cu collisions at $ \sqrt{\smash[b]{s_{_{\mathrm{NN}}}}} = $ 200 GeV | PRL 98 (2007) 162301 | nucl-ex/0608033 |
| 532 | C. Zhang et al. | Elliptic flow of heavy quarkonia in $ \mathrm{p}\mathrm{A} $ collisions | PRL 122 (2019) 172302 | 1901.10320 |
| 533 | C. Zhang et al. | Collectivity of heavy mesons in proton-nucleus collisions | PRD 102 (2020) 034010 | 2002.09878 |
| 534 | A. Badea et al. | Measurements of two-particle correlations in $ \mathrm{e}^+\mathrm{e}^- $ collisions at 91 GeV with ALEPH archived data | PRL 123 (2019) 212002 | 1906.00489 |
| 535 | Y.-C. Chen et al. | Long-range near-side correlation in $ \mathrm{e}^+\mathrm{e}^- $ collisions at 183-209 GeV with ALEPH archived data | PLB 856 (2024) 138957 | 2312.05084 |
| 536 | Belle Collaboration | Measurement of two-particle correlations of hadrons in $ \mathrm{e}^+\mathrm{e}^- $ collisions at Belle | PRL 128 (2022) 142005 | 2201.01694 |
| 537 | Belle Collaboration | Two-particle angular correlations in $ \mathrm{e}^+\mathrm{e}^- $ collisions to hadronic final states in two reference coordinates at Belle | JHEP 03 (2023) 171 | 2206.09440 |
| 538 | ZEUS Collaboration | Two-particle azimuthal correlations as a probe of collective behaviour in deep inelastic $ \mathrm{e}\mathrm{p} $ scattering at HERA | JHEP 04 (2020) 070 | 1912.07431 |
| 539 | ZEUS Collaboration | Azimuthal correlations in photoproduction and deep inelastic $ \mathrm{e}\mathrm{p} $ scattering at HERA | JHEP 12 (2021) 102 | 2106.12377 |
| 540 | CMS Collaboration | Measurement of prompt and nonprompt $ \mathrm{J}/{\psi } $ production in $ \mathrm {p}\mathrm {p} $ and $ \mathrm {p}\mathrm {Pb} $ collisions at $ \sqrt{\smash[b]{s_{_{\mathrm{NN}}}}} = $ 5.02 TeV | EPJC 77 (2017) 269 | CMS-HIN-14-009 1702.01462 |
| 541 | CMS Collaboration | Nuclear modification of $ \Upsilon $ states in pPb collisions at $ \sqrt{\smash[b]{s_{_{\mathrm{NN}}}}} = $ 5.02 TeV | PLB 835 (2022) 137397 | CMS-HIN-18-005 2202.11807 |
| 542 | CMS Collaboration | Investigation into the event-activity dependence of $ \Upsilon $(nS) relative production in proton-proton collisions at $ \sqrt{\smash[b]{s}} = $ 7 TeV | JHEP 11 (2020) 001 | CMS-BPH-14-009 2007.04277 |
| 543 | A. Huss et al. | Predicting parton energy loss in small collision systems | Phys. Rev. C 103 (2021) 054903 | 2007.13758 |
| 544 | CMS Collaboration | Measurement of inclusive jet production and nuclear modifications in $ \mathrm{p}\mathrm{Pb} $ collisions at $ \sqrt{\smash[b]{s_{_{\mathrm{NN}}}}} = $ 5.02 TeV | EPJC 76 (2016) 372 | CMS-HIN-14-001 1601.02001 |
| 545 | CMS Collaboration | Measurements of the charm jet cross section and nuclear modification factor in $ \mathrm{p}\mathrm{Pb} $ collisions at $ \sqrt{\smash[b]{s_{_{\mathrm{NN}}}}} = $ 5.02 TeV | PLB 772 (2017) 306 | CMS-HIN-15-012 1612.08972 |
| 546 | G. Baur et al. | Hot topics in ultraperipheral ion collisions | in Workshop on Electromagnetic Probes of Fundamental Physics, 2002 link |
hep-ex/0201034 |
| 547 | R. Engel, M. A. Braun, C. Pajares, and J. Ranft | Diffraction dissociation, an important background to photon-photon collisions via heavy ion beams at LHC | Z. Phys. C 74 (1997) 687 | hep-ph/9605227 |
| 548 | CMS Collaboration | Evidence for light-by-light scattering and searches for axion-like particles in ultraperipheral PbPb collisions at $ \sqrt{\smash[b]{s_{_{\mathrm{NN}}}}} = $ 5.02 TeV | PLB 797 (2019) 134826 | CMS-FSQ-16-012 1810.04602 |
| 549 | CMS Collaboration | Observation of $ \tau $ lepton pair production in ultraperipheral lead-lead collisions at $ \sqrt{\smash[b]{s_{_{\mathrm{NN}}}}} = $ 5.02 TeV | PRL 131 (2023) 151803 | CMS-HIN-21-009 2206.05192 |
| 550 | C. N. Azevedo, V. P. Goncalves, and B. D. Moreira | Double particle production in ultraperipheral PbPb collisions at the Large Hadron Collider and Future Circular Collider | Eur. Phys. J. A 59 (2023) 193 | 2306.05519 |
| 551 | D. d'Enterria and A. Snigirev | Double, triple, and $ n $-parton scatterings in high-energy proton and nuclear collisions | Adv. Ser. Direct. High Energy Phys. 29 (2018) 159 | 1708.07519 |
| 552 | A. Esposito, C. A. Manzari, A. Pilloni, and A. D. Polosa | Hunting for tetraquarks in ultraperipheral heavy ion collisions | PRD 104 (2021) 114029 | 2109.10359 |
| 553 | R. Fariello, D. Bhandari, C. A. Bertulani, and F. S. Navarra | Two- and three-photon fusion into charmonium in ultraperipheral nuclear collisions | Phys. Rev. C 108 (2023) 044901 | 2306.10642 |
| 554 | ATLAS Collaboration | Observation of centrality-dependent acoplanarity for muon pairs produced via two-photon scattering in Pb+Pb collisions at $ \sqrt{\smash[b]{s_{_{\mathrm{NN}}}}} = $ 5.02 TeV with the ATLAS detector | PRL 121 (2018) 212301 | 1806.08708 |
| 555 | C. G. Roldao and A. A. Natale | Photon-photon and pomeron-pomeron processes in peripheral heavy ion collisions | Phys. Rev. C 61 (2000) 064907 | nucl-th/0003038 |
| 556 | J. Thomas et al. | Parton distribution functions probed in ultraperipheral collisions at the CERN Large Hadron Collider | 1603.01919 | |
| 557 | X. Cid Vidal et al. | Report from Working Group 3: Beyond the Standard Model physics at the HL-LHC and HE-LHC | CERN Yellow Rep. Monogr. 7 (2019) 585 | 1812.07831 |
| 558 | R. Bruce et al. | New physics searches with heavy ion collisions at the CERN Large Hadron Collider | JPG 47 (2020) 060501 | 1812.07688 |
| 559 | D. d'Enterria et al. | Opportunities for new physics searches with heavy ions at colliders | JPG 50 (2023) 050501 | 2203.05939 |
| 560 | S. Fichet et al. | Probing new physics in diphoton production with proton tagging at the Large Hadron Collider | PRD 89 (2014) 114004 | 1312.5153 |
| 561 | M. Begel et al. | Precision QCD, hadronic structure and forward QCD, heavy ions: Report of energy frontier topical groups 5, 6, 7 submitted to Snowmass 2021 | 2209.14872 | |
| 562 | H.-S. Shao and D. d'Enterria | Gamma-UPC: automated generation of exclusive photon-photon processes in ultraperipheral proton and nuclear collisions with varying form factors | JHEP 09 (2022) 248 | 2207.03012 |
| 563 | R. Bruce et al. | First observations of beam losses due to bound-free pair production in a heavy ion collider | PRL 99 (2007) 144801 | 0706.2292 |
| 564 | A. J. Baltz, Y. Gorbunov, S. R. Klein, and J. Nystrand | Two-photon interactions with nuclear breakup in relativistic heavy ion collisions | Phys. Rev. C 80 (2009) 044902 | 0907.1214 |
| 565 | STAR Collaboration | Low-$ p_{\mathrm{T}} \mathrm{e}^+\mathrm{e}^- $ pair production in Au$ + $Au collisions at $ \sqrt{\smash[b]{s_{_{\mathrm{NN}}}}} = $ 200 GeV and U$ + $U collisions at $ \sqrt{\smash[b]{s_{_{\mathrm{NN}}}}} = $ 193 GeV at STAR | PRL 121 (2018) 132301 | 1806.02295 |
| 566 | W. Zha, J. D. Brandenburg, Z. Tang, and Z. Xu | Initial transverse-momentum broadening of Breit--Wheeler process in relativistic heavy-ion collisions | PLB 800 (2020) 135089 | 1812.02820 |
| 567 | C. Li, J. Zhou, and Y.-J. Zhou | Impact parameter dependence of the azimuthal asymmetry in lepton pair production in heavy ion collisions | PRD 101 (2020) 034015 | 1911.00237 |
| 568 | R.-j. Wang, S. Pu, and Q. Wang | Lepton pair production in ultraperipheral collisions | PRD 104 (2021) 056011 | 2106.05462 |
| 569 | G. Baur, K. Hencken, and D. Trautmann | Electron-positron pair production in relativistic heavy ion collisions | Phys. Rep. 453 (2007) 1 | 0706.0654 |
| 570 | ATLAS Collaboration | Exclusive dimuon production in ultraperipheral Pb+Pb collisions at $ \sqrt{\smash[b]{s_{_{\mathrm{NN}}}}} = $ 5.02 TeV with ATLAS | Phys. Rev. C 104 (2021) 024906 | 2011.12211 |
| 571 | J. D. Brandenburg et al. | Acoplanarity of QED pairs accompanied by nuclear dissociation in ultra-peripheral heavy ion collisions | 2006.07365 | |
| 572 | D. d'Enterria and G. G. da Silveira | Observing light-by-light scattering at the Large Hadron Collider | PRL 111 (2013) 080405 | 1305.7142 |
| 573 | CMS Collaboration | Exclusive photon-photon production of muon pairs in proton-proton collisions at $ \sqrt{\smash[b]{s}} = $ 7 TeV | JHEP 01 (2012) 052 | CMS-FWD-10-005 1111.5536 |
| 574 | CMS Collaboration | Search for exclusive or semi-exclusive photon pair production and observation of exclusive and semi-exclusive electron pair production in pp collisions at $ \sqrt{\smash[b]{s}} = $ 7 TeV | JHEP 11 (2012) 080 | CMS-FWD-11-004 1209.1666 |
| 575 | L. A. Harland-Lang | Exciting ions: A systematic treatment of ultraperipheral heavy ion collisions with nuclear breakup | PRD 107 (2023) 093004 | 2303.04826 |
| 576 | M. K\l usek-Gawenda, P. Lebiedowicz, and A. Szczurek | Light-by-light scattering in ultraperipheral Pb-Pb collisions at energies available at the CERN Large Hadron Collider | Phys. Rev. C 93 (2016) 044907 | 1601.07001 |
| 577 | ATLAS Collaboration | Evidence for light-by-light scattering in heavy-ion collisions with the ATLAS detector at the LHC | Nature Phys. 13 (2017) 852 | 1702.01625 |
| 578 | ATLAS Collaboration | Measurement of light-by-light scattering and search for axion-like particles with 2.2$\,\text{nb}^{-1}$ of Pb+Pb data with the ATLAS detector | JHEP 03 (2021) 243 | 2008.05355 |
| 579 | G. K. Krintiras et al. | Light-by-light scattering cross-section measurements at the LHC | Acta Phys. Polon. Supp. 16 (2023) 123 | |
| 580 | F. del Aguila, F. Cornet, and J. I. Illana | The possibility of using a large heavy ion collider for measuring the electromagnetic properties of the $ \tau $ lepton | PLB 271 (1991) 256 | |
| 581 | L. Beresford and J. Liu | New physics and $ \tau g- $ 2 using LHC heavy ion collisions | PRD 102 (2020) 113008 | 1908.05180 |
| 582 | M. Dyndal, M. Klusek-Gawenda, M. Schott, and A. Szczurek | Anomalous electromagnetic moments of $ \tau $ lepton in $ \gamma\gamma\to\tau^{+}\tau^{-} $ reaction in PbPb collisions at the LHC | PLB 809 (2020) 135682 | 2002.05503 |
| 583 | N. Burmasov, E. Kryshen, P. Bühler, and R. Lavicka | Feasibility studies of $ \tau $ lepton anomalous magnetic moment measurements in ultraperipheral collisions at the LHC | Phys. Part. Nucl. 54 (2023) 590 | |
| 584 | ATLAS Collaboration | Observation of the $ \gamma\gamma\to\tau\tau $ process in Pb+Pb collisions and constraints on the $ \tau $-lepton anomalous magnetic moment with the ATLAS detector | PRL 131 (2023) 151802 | 2204.13478 |
| 585 | DELPHI Collaboration | Study of $ \tau $ pair production in photon-photon collisions at LEP and limits on the anomalous electromagnetic moments of the $ \tau $ lepton | EPJC 35 (2004) 159 | hep-ex/0406010 |
| 586 | CMS Collaboration | Snowmass white paper contribution: Physics with the Phase-2 ATLAS and CMS detectors | CMS Physics Analysis Summary, 2022 CMS-PAS-FTR-22-001 |
|
| 587 | S. Knapen, T. Lin, H. K. Lou, and T. Melia | Searching for axion-like particles with ultraperipheral heavy ion collisions | PRL 118 (2017) 171801 | 1607.06083 |
| 588 | D. d'Enterria et al. | Collider constraints on massive gravitons coupling to photons | PLB 846 (2023) 138237 | 2306.15558 |
| 589 | J. Ellis, N. E. Mavromatos, and T. You | Light-by-light scattering constraint on Born-Infeld theory | PRL 118 (2017) 261802 | 1703.08450 |
| 590 | E. Chapon, C. Royon, and O. Kepka | Anomalous quartic $ \mathrm{W}\mathrm{W}\gamma\gamma $, $ \mathrm{Z}\mathrm{Z}\gamma\gamma $, and trilinear $ \mathrm{W}\mathrm{W}\gamma $ couplings in two-photon processes at high luminosity at the LHC | PRD 81 (2010) 074003 | 0912.5161 |
| 591 | A. L. Read | Presentation of search results: The CL$ _{\text{s}} $ technique | JPG 28 (2002) 2693 | |
| 592 | T. Junk | Confidence level computation for combining searches with small statistics | NIM A 434 (1999) 435 | hep-ex/9902006 |
| 593 | J. Jaeckel and M. Spannowsky | Probing MeV to 90 GeV axion-like particles with LEP and LHC | PLB 753 (2016) 482 | 1509.00476 |
| 594 | B. Döbrich et al. | ALPtraum: ALP production in proton beam dump experiments | JHEP 02 (2016) 018 | 1512.03069 |
| 595 | OPAL Collaboration | Multiphoton production in $ \mathrm{e}^-\mathrm{e}^+ $ collisions at $ \sqrt{\smash[b]{s}}= $ 181 to 209 GeV | EPJC 26 (2003) 331 | hep-ex/0210016 |
| 596 | ATLAS Collaboration | Search for scalar diphoton resonances in the mass range 65-600 GeV with the ATLAS detector in pp collision data at $ \sqrt{\smash[b]{s}} = $ 8 TeV | PRL 113 (2014) 171801 | 1407.6583 |
| 597 | ATLAS Collaboration | Search for new phenomena in events with at least three photons collected in pp collisions at $ \sqrt{\smash[b]{s}} = $ 8 TeV with the ATLAS detector | EPJC 76 (2016) 210 | 1509.05051 |
| 598 | H. A. Andrews et al. | Novel tools and observables for jet physics in heavy ion collisions | JPG 47 (2020) 065102 | 1808.03689 |
| 599 | C. Andres et al. | Resolving the scales of the quark-gluon plasma with energy correlators | PRL 130 (2023) 262301 | 2209.11236 |
| 600 | J. Brewer, A. Mazeliauskas, and W. van der Schee | Opportunities of OO and $ \mathrm{p} $O collisions at the LHC | 2103.01939 | |
| 601 | J. Albrecht et al. | The muon puzzle in cosmic-ray induced air showers and its connection to the Large Hadron Collider | Astrophys. Space Sci. 367 (2022) 27 | 2105.06148 |
| 602 | CMS Collaboration | The Phase-2 upgrade of the CMS tracker | technical report, 2017 link |
|
| 603 | R. Longo (for the ATLAS and CMS Collaborations) | Joint ATLAS/CMS ZDC upgrade project for the high-luminosity LHC | EPJ Web Conf. 276 (2023) 05003 | |
| 604 | CMS Collaboration | A MIP timing detector for the CMS Phase-2 upgrade | technical report, CERN, 2019 CDS |
|
| 605 | CMS Collaboration | New opportunities of heavy ion physics with CMS-MTD at the HL-LHC | technical report, 2021 CDS |
|
| 606 | CMS Collaboration | Performance of physics objects with low transverse momentum using ultraperipheral pbpb collisions at 5.36 tev in 2023 | CMS Detector Performance Summary CMS-DP-2024/011, 2024 link |
|
| 607 | V. Biloshytskyi et al. | Two-photon decay of X(6900) from light-by-light scattering at the LHC | PRD 106 (2022) L111902 | 2207.13623 |
| 608 | Z. Citron et al. | Report from Working Group 5: Future physics opportunities for high-density QCD at the LHC with heavy-ion and proton beams | CERN Yellow Rep. Monogr. 7 (2019) 1159 | 1812.06772 |
| 609 | P. Achenbach et al. | The present and future of QCD | 2303.02579 | |
| 610 | Program Advisory Committee (Brookhaven National Laboratory) | Recommendations of the nuclear and particle physics program | link | |
| 611 | A. Accardi et al. | Electron Ion Collider: The next QCD frontier: Understanding the glue that binds us all | Eur. Phys. J. A 52 (2016) 268 | 1212.1701 |
|
Compact Muon Solenoid LHC, CERN |
|
|
|
|
|
|