| CMS-PAS-EXO-24-029 | ||
| Search for $ s $-channel production of lepton-enriched semivisible jets in proton-proton collisions at 13 TeV | ||
| CMS Collaboration | ||
| 2025-08-23 | ||
| Abstract: A search for resonant production of strongly-coupled dark matter manifesting as lepton-enriched semivisible jets in proton-proton collisions at the LHC is presented. The search is performed using data collected by the CMS experiment during 2016--2018 at a center-of-mass energy of 13 TeV corresponding to a total integrated luminosity of 138 fb$ ^{-1} $. Final states with missing transverse momentum aligned to jets containing enhanced proportions of leptons are considered, as the signal jets are made of visible particles from the standard model sector and stable bound states from the dark sector. The analysis employs a machine learning-based strategy, utilizing both a graph neural network jet identification algorithm to discriminate between signal and background and a deep neural network-based approach to estimate the background in the signal region. Assuming the resonantly-produced mediator, a Z' boson, has a universal coupling of 0.25 to the standard model quarks, the search excludes mediator masses from 1.5 TeV up to 4.7 TeV at 95% confidence level, depending on the other signal model parameters. These results exclude a wide range of strongly-coupled dark matter models with lepton-enriched semivisible jet signatures for the first time. | ||
| Links: CDS record (PDF) ; CADI line (restricted) ; | ||
| Figures & Tables | Summary | Additional Figures | References | CMS Publications |
|---|
| Figures | |
|
png pdf |
Figure 1:
A diagram of $ s $-channel production of the SVJ$ \ell $ signature. |
|
png pdf |
Figure 2:
Illustration of the Lund tree before and after pruning, and its conversion to an IRC-safe graph. The edge colors indicate different Lund planes, with dashed edges indicating further Lund planes that are not fully shown. |
|
png pdf |
Figure 3:
Left: LundNet jet tagger score for the two highest $ p_{\mathrm{T}} $ jets in the multilepton $ \Delta\eta $-extended region for different signal models, simulated backgrounds, and data. Right: ROC curves for different signal models. The AUC is computed as the area under the ROC curve for the given signal model against the total background. |
|
png pdf |
Figure 3-a:
Left: LundNet jet tagger score for the two highest $ p_{\mathrm{T}} $ jets in the multilepton $ \Delta\eta $-extended region for different signal models, simulated backgrounds, and data. Right: ROC curves for different signal models. The AUC is computed as the area under the ROC curve for the given signal model against the total background. |
|
png pdf |
Figure 3-b:
Left: LundNet jet tagger score for the two highest $ p_{\mathrm{T}} $ jets in the multilepton $ \Delta\eta $-extended region for different signal models, simulated backgrounds, and data. Right: ROC curves for different signal models. The AUC is computed as the area under the ROC curve for the given signal model against the total background. |
|
png pdf |
Figure 4:
Sketch of the MD-ABCDisCoTEC background estimation method. On the left, the ABCD plane is shown, defined by the scores of the MD-ABCDisCoTEC neural network. On the right, the effect of mass decorrelation during the network training is illustrated: it results in similar $ m_{\mathrm{T}} $ distribution shapes across the different regions of the ABCD plane, enabling robust background estimation. |
|
png pdf |
Figure 5:
Left: evolution of the different components of the loss function in the training of the MD-ABCDisCoTEC model. Right: density distribution of simulated background and signal events, represented as Gaussian kernel density estimators (KDEs), in the ABCD plane defined by the two network scores in the multilepton $ \Delta\eta $-extended region. The dashed blue lines represent the ABCD boundaries chosen via the optimization procedure. |
|
png pdf |
Figure 5-a:
Left: evolution of the different components of the loss function in the training of the MD-ABCDisCoTEC model. Right: density distribution of simulated background and signal events, represented as Gaussian kernel density estimators (KDEs), in the ABCD plane defined by the two network scores in the multilepton $ \Delta\eta $-extended region. The dashed blue lines represent the ABCD boundaries chosen via the optimization procedure. |
|
png pdf |
Figure 5-b:
Left: evolution of the different components of the loss function in the training of the MD-ABCDisCoTEC model. Right: density distribution of simulated background and signal events, represented as Gaussian kernel density estimators (KDEs), in the ABCD plane defined by the two network scores in the multilepton $ \Delta\eta $-extended region. The dashed blue lines represent the ABCD boundaries chosen via the optimization procedure. |
|
png pdf |
Figure 6:
Comparison of estimated background and observed data in the multilepton low-$ \Delta\eta $ region for the SVJ$ \ell $ search. The distributions from several signal model examples are superimposed. The last bin of the distribution includes all events with $ m_{\mathrm{T}} > $ 3 TeV. |
|
png pdf |
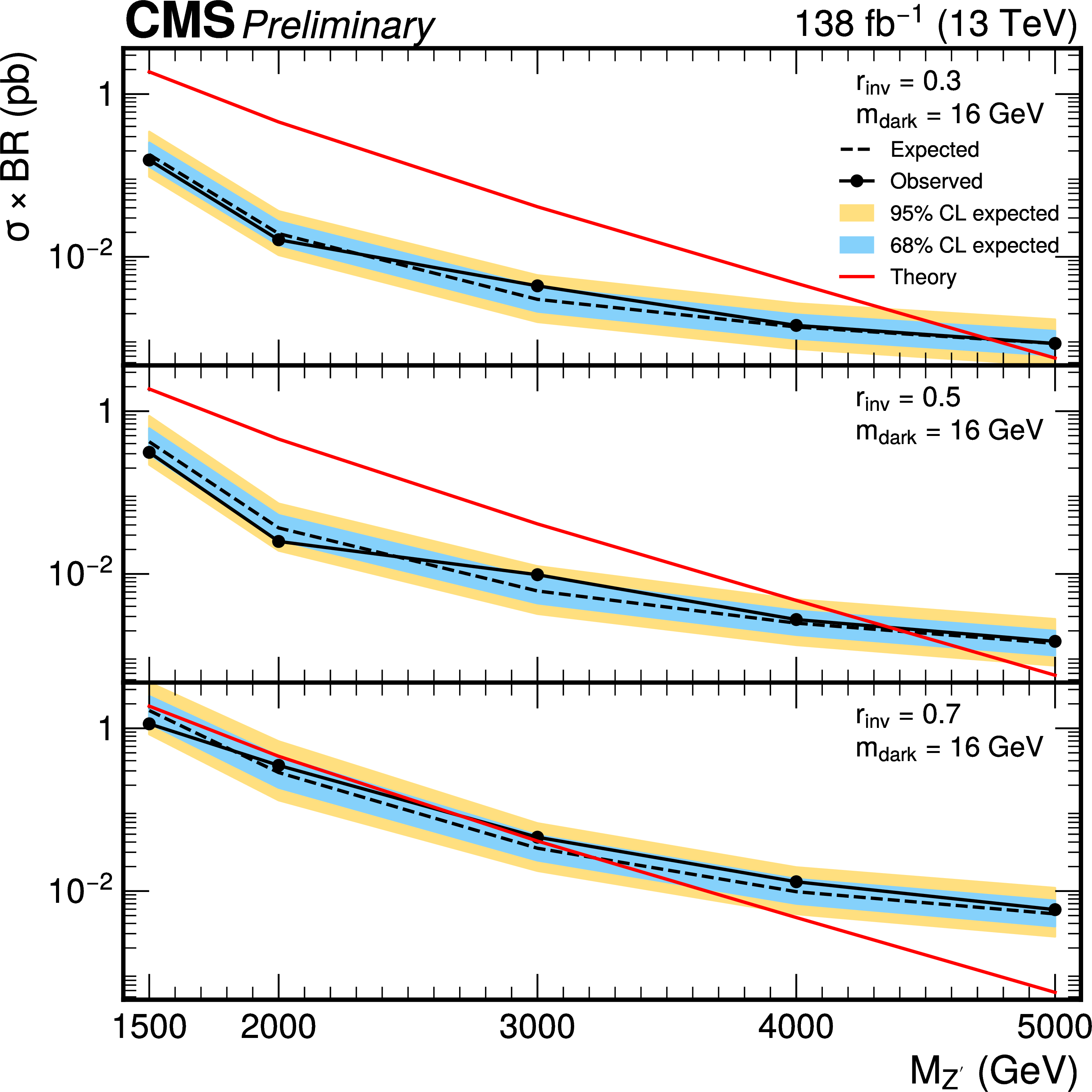
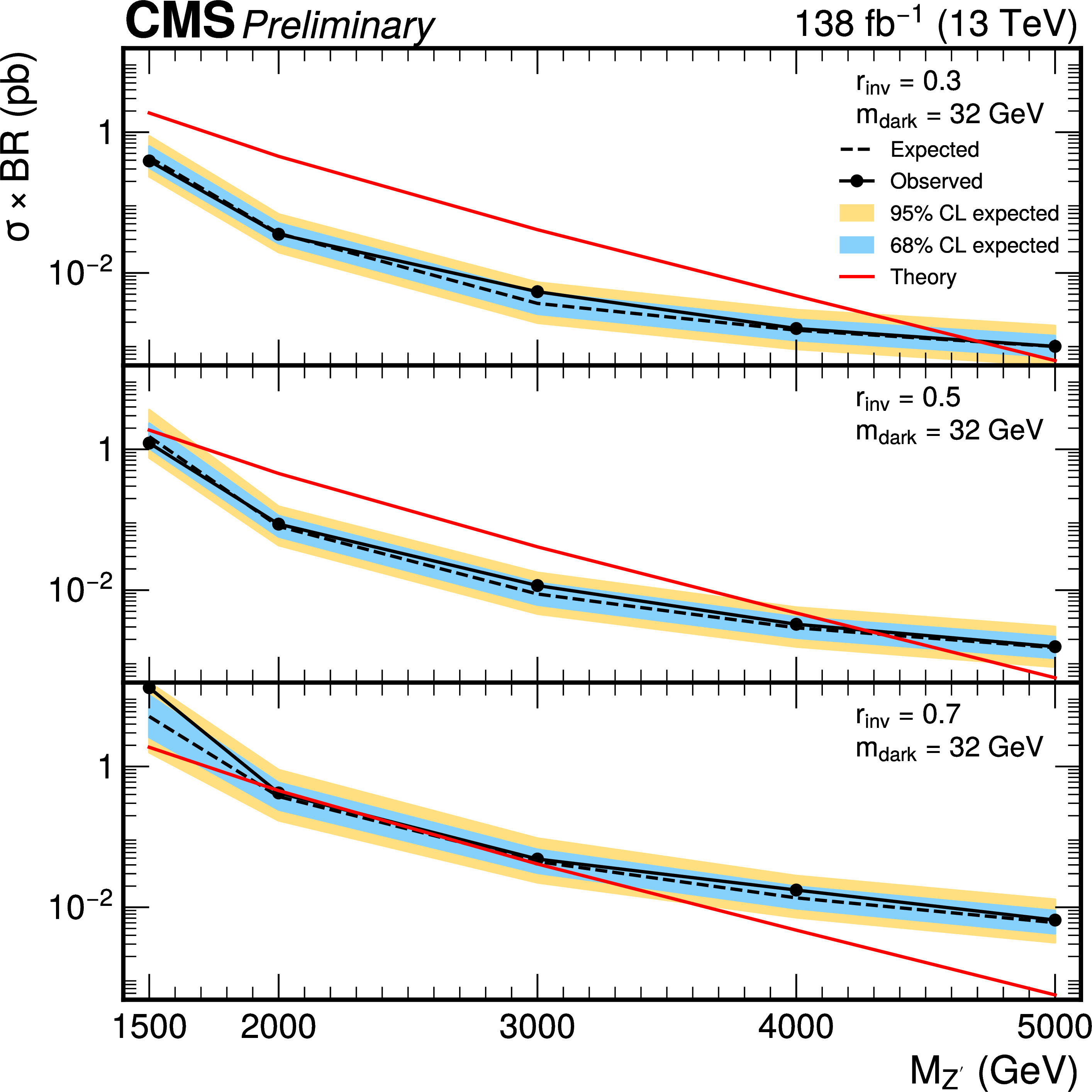
Figure 7:
The 95% CL upper limits on $ \sigma_{{\mathrm{Z}}^{\prime}}\mathcal{B}_{\text{dark}} $ for the SVJ$ \ell $ model as a function of $ m_{{\mathrm{Z}}^{\prime}} $, for $ r_{\text{inv}}= $ 0.3, 0.5, 0.7 and $ m_{\text{dark}}= $ 16 (left) and 32 GeV (right). The red solid line labeled ``Theory'' represents the nominal Z' cross section. |
|
png pdf |
Figure 7-a:
The 95% CL upper limits on $ \sigma_{{\mathrm{Z}}^{\prime}}\mathcal{B}_{\text{dark}} $ for the SVJ$ \ell $ model as a function of $ m_{{\mathrm{Z}}^{\prime}} $, for $ r_{\text{inv}}= $ 0.3, 0.5, 0.7 and $ m_{\text{dark}}= $ 16 (left) and 32 GeV (right). The red solid line labeled ``Theory'' represents the nominal Z' cross section. |
|
png pdf |
Figure 7-b:
The 95% CL upper limits on $ \sigma_{{\mathrm{Z}}^{\prime}}\mathcal{B}_{\text{dark}} $ for the SVJ$ \ell $ model as a function of $ m_{{\mathrm{Z}}^{\prime}} $, for $ r_{\text{inv}}= $ 0.3, 0.5, 0.7 and $ m_{\text{dark}}= $ 16 (left) and 32 GeV (right). The red solid line labeled ``Theory'' represents the nominal Z' cross section. |
| Tables | |
|
png pdf |
Table showing the absolute efficiency (in percentage) of each selection applied in the analysis for different signal models. The data quality filters refer to: the $ p_{\mathrm{T}}^\text{miss} $ filters, $ \Delta R(\mathrm{j}_{1,2},c_{\text{nonfunctional}}) > 0.1\ $, and $ \text{veto} f_{\gamma}(\mathrm{j}_{1}) > $ 0.7 & $ p_{\mathrm{T}}(\mathrm{j}_{1}) > $ 1.0 TeV. :
|
|
png pdf |
Table 2:
The range of effects on the signal yield for each signal-related systematic uncertainty. The variation in the yield effects arises from the different years of data taking and the range of signal models considered. Values less than 0.01% are rounded to 0.0%. |
| Summary |
| We present the first collider search for resonant production of lepton-enriched semivisible jets (the SVJ$ \ell $ signature). The search uses proton-proton collision data collected with the CMS detector in 2016--2018, corresponding to an integrated luminosity of 138 fb$ ^{-1} $ at a center-of-mass energy of 13 TeV. The signal model introduces a dark sector with multiple flavors of dark quarks that are charged under a dark confining force, giving rise to sprays of collimated stable and unstable dark hadrons. The stable dark hadrons constitute dark matter candidates, while the unstable dark hadrons decay promptly and democratically to standard model (SM) quarks and leptons, producing lepton-enriched semivisible jets. The hidden sector communicates with the SM via multiple portals: a Z' boson and a dark photon A'. The Z' mediator has a TeV-scale mass and can decay to dark quarks, while the A' mediator mainly governs the branching fractions for the dark hadron decays to leptons and quarks. We consider variations in several parameters of the hidden sector signal model: the Z' mass, $ m_{{\mathrm{Z}}^{\prime}} $; the dark hadron mass, $ m_{\text{dark}} $; and the fraction of stable dark hadrons, $ r_{\text{inv}} $. We adopt a machine learning-based approach, employing an extension of the LundNet algorithm to distinguish lepton-enriched semivisible jets from SM jets. Additionally, we utilize a deep neural network that takes the LundNet discriminators and other event-level and lepton-related variables as input to improve the discrimination of signal from background and to estimate the background in the signal region. The first 95% confidence level exclusion limits on the SVJ$ \ell $ signature are set for $ m_{{\mathrm{Z}}^{\prime}} $ masses from 1.5 TeV up to 4.7 TeV, depending on $ m_{\text{dark}} $ and $ r_{\text{inv}} $. These results target, for the first time, semivisible jet signatures with leptonic final states, complementing existing searches for dijet resonances, dark matter events with missing transverse momentum and initial-state radiation, and the fully hadronic semivisible jet search [40]. Compared to the existing fully hadronic semivisible jet results, the search presented here explores a new phase space. It leverages the presence of additional leptons expected in the signal events to reduce the extensive SM multijet background that dominates for the fully hadronic signature. |
| Additional Figures | |
|
png pdf |
Additional Figure 1:
The distributions of the $ \Delta\eta $ variable in the $ \Delta\eta $-extended region after applying the selection requirements, for the simulated background processes and various signal models. |
|
png pdf |
Additional Figure 2:
The distributions of the $ \Delta\phi_{\text{min}} $ variable in the $ \Delta\eta $-extended region after applying the selection requirements, for the simulated background processes and various signal models. |
|
png pdf |
Additional Figure 3:
The distribution of the $ m_{\mathrm{T}} $ variable in the $ \Delta\eta $-extended region after applying the selection requirements, for the simulated background processes and various signal models. |
|
png pdf |
Additional Figure 4:
The distributions of the $ R_{\mathrm{T}} $ variable in the $ \Delta\eta $-extended region after applying the selection requirements, for the simulated background processes and various signal models. |
|
png pdf |
Additional Figure 5:
The distributions of the muon $ p_{\mathrm{T}} $ in the $ \Delta\eta $-extended region after applying the selection requirements, except the mini-isolation requirement, for the simulated background processes and various signal models. |
|
png pdf |
Additional Figure 6:
The distributions of the muon mini-isolation $ I_{\text{mini}}(\mu) $ in the $ \Delta\eta $-extended region after applying the selection requirements, except the mini-isolation requirement, for the simulated background processes and various signal models. |
|
png pdf |
Additional Figure 7:
Pie chart showing the expected proportions of each background process, estimated from simulation, in the $ \Delta\eta $-extended region after applying the selection requirements, except the mini-isolation requirement. |
|
png pdf |
Additional Figure 8:
Pie chart showing the expected proportions of each background process, estimated from simulation, in the $ \Delta\eta $-extended region after applying the selection requirements, including the mini-isolation requirement. |
|
png pdf |
Additional Figure 9:
Left: EdgeConv block and its application to a node of the IRC-safe Lund graph. Right: architecture of the LundNet model. |
|
png pdf |
Additional Figure 10:
Example of Lund tree for a SVJ$ \ell $ signal jet. The color code refers to the energy fraction of muons in each pseudojet defined at each declustering step. |
|
png pdf |
Additional Figure 11:
Example of Lund tree for a QCD background jet. The color code refers to the energy fraction of muons in each pseudojet defined at each declustering step. |
|
png pdf |
Additional Figure 12:
Example of Lund tree for a $ \mathrm{t} \overline{\mathrm{t}} $ background jet. The color code refers to the energy fraction of muons in each pseudojet defined at each declustering step. |
|
png pdf |
Additional Figure 13:
Example of Lund tree for a W\text+jets} background jet. The color code refers to the energy fraction of muons in each pseudojet defined at each declustering step. |
|
png pdf |
Additional Figure 14:
ROC curves for different signal models for a LundNet trained without energy fractions assigned as node features and without applying $ k_{\mathrm{T}} $-pruning. The AUC is computed as the area under the ROC curve for the given signal model against the total background. |
|
png pdf |
Additional Figure 15:
ROC curves for different signal models for a LundNet trained with energy fractions assigned as node features and without applying $ k_{\mathrm{T}} $-pruning. The AUC is computed as the area under the ROC curve for the given signal model against the total background. |
|
png pdf |
Additional Figure 16:
The LundNet jet tagger score distribution for the two highest $ p_{\mathrm{T}} $ jets in the multilepton $ \Delta\eta $-extended region for different signal models, simulated backgrounds, and data. The LundNet is trained with energy fractions assigned as node features and without applying $ k_{\mathrm{T}} $-pruning. The ratio plot in the lower panel refers to data against total background MC. |
|
png pdf |
Additional Figure 17:
The LundNet jet tagger score distribution for the two highest $ p_{\mathrm{T}} $ jets in the multilepton $ \Delta\eta $-extended region for different signal models, simulated backgrounds, and data. The LundNet is trained with energy fractions assigned as node features and applying $ k_{\mathrm{T}} $-pruning. The ratio plot in the lower panel refers to data against total background MC. |
|
png pdf |
Additional Figure 18:
Comparison of estimated background and observed data in the multilepton high-$ \Delta\eta $ region for the SVJ$ \ell $ search. The last bin of the distribution includes all events with $ m_{\mathrm{T}} > $ 3 TeV. |
|
png pdf |
Additional Figure 19:
The 95% CL upper limits on $ \sigma_{{\mathrm{Z}}^{\prime}}\mathcal{B}_{\text{dark}} $, where $ \sigma_{{\mathrm{Z}}^{\prime}} $ is the production cross section for $ q\bar{q}\to{\mathrm{Z}}^{\prime} $, and $ \mathcal{B}_{\text{dark}} $ is branching ratio to dark quarks for the SVJ$ \ell $ model as a function of $ m_{{\mathrm{Z}}^{\prime}} $, for $ r_{\text{inv}}= $ 0.3, 0.5, 0.7 and $ m_{\text{dark}}= $ 8 GeV. The red solid line labeled ``Theory'' represents the nominal $ {\mathrm{Z}}^{\prime} $ cross section. |
|
png pdf |
Additional Figure 20:
The 95% CL upper limits on $ \sigma_{{\mathrm{Z}}^{\prime}}\mathcal{B}_{\text{dark}} $, where $ \sigma_{{\mathrm{Z}}^{\prime}} $ is the production cross section for $ q\bar{q}\to{\mathrm{Z}}^{\prime} $, and $ \mathcal{B}_{\text{dark}} $ is branching ratio to dark quarks for the SVJ$ \ell $ model as a function of $ m_{{\mathrm{Z}}^{\prime}} $, for $ r_{\text{inv}}= $ 0.3 and $ m_{\text{dark}}= $ 8 GeV. The red solid line labeled ``Theory'' represents the nominal $ {\mathrm{Z}}^{\prime} $ cross section. |
|
png pdf |
Additional Figure 21:
The 95% CL upper limits on $ \sigma_{{\mathrm{Z}}^{\prime}}\mathcal{B}_{\text{dark}} $, where $ \sigma_{{\mathrm{Z}}^{\prime}} $ is the production cross section for $ q\bar{q}\to{\mathrm{Z}}^{\prime} $, and $ \mathcal{B}_{\text{dark}} $ is branching ratio to dark quarks for the SVJ$ \ell $ model as a function of $ m_{{\mathrm{Z}}^{\prime}} $, for $ r_{\text{inv}}= $ 0.5 and $ m_{\text{dark}}= $ 8 GeV. The red solid line labeled ``Theory'' represents the nominal $ {\mathrm{Z}}^{\prime} $ cross section. |
|
png pdf |
Additional Figure 22:
The 95% CL upper limits on $ \sigma_{{\mathrm{Z}}^{\prime}}\mathcal{B}_{\text{dark}} $, where $ \sigma_{{\mathrm{Z}}^{\prime}} $ is the production cross section for $ q\bar{q}\to{\mathrm{Z}}^{\prime} $, and $ \mathcal{B}_{\text{dark}} $ is branching ratio to dark quarks for the SVJ$ \ell $ model as a function of $ m_{{\mathrm{Z}}^{\prime}} $, for $ r_{\text{inv}}= $ 0.7 and $ m_{\text{dark}}= $ 8 GeV. The red solid line labeled ``Theory'' represents the nominal $ {\mathrm{Z}}^{\prime} $ cross section. |
|
png pdf |
Additional Figure 23:
The 95% CL upper limits on $ \sigma_{{\mathrm{Z}}^{\prime}}\mathcal{B}_{\text{dark}} $, where $ \sigma_{{\mathrm{Z}}^{\prime}} $ is the production cross section for $ q\bar{q}\to{\mathrm{Z}}^{\prime} $, and $ \mathcal{B}_{\text{dark}} $ is branching ratio to dark quarks for the SVJ$ \ell $ model as a function of $ m_{{\mathrm{Z}}^{\prime}} $, for $ r_{\text{inv}}= $ 0.3 and $ m_{\text{dark}}= $ 16 GeV. The red solid line labeled ``Theory'' represents the nominal $ {\mathrm{Z}}^{\prime} $ cross section. |
|
png pdf |
Additional Figure 24:
The 95% CL upper limits on $ \sigma_{{\mathrm{Z}}^{\prime}}\mathcal{B}_{\text{dark}} $, where $ \sigma_{{\mathrm{Z}}^{\prime}} $ is the production cross section for $ q\bar{q}\to{\mathrm{Z}}^{\prime} $, and $ \mathcal{B}_{\text{dark}} $ is branching ratio to dark quarks for the SVJ$ \ell $ model as a function of $ m_{{\mathrm{Z}}^{\prime}} $, for $ r_{\text{inv}}= $ 0.5 and $ m_{\text{dark}}= $ 16 GeV. The red solid line labeled ``Theory'' represents the nominal $ {\mathrm{Z}}^{\prime} $ cross section. |
|
png pdf |
Additional Figure 25:
The 95% CL upper limits on $ \sigma_{{\mathrm{Z}}^{\prime}}\mathcal{B}_{\text{dark}} $, where $ \sigma_{{\mathrm{Z}}^{\prime}} $ is the production cross section for $ q\bar{q}\to{\mathrm{Z}}^{\prime} $, and $ \mathcal{B}_{\text{dark}} $ is branching ratio to dark quarks for the SVJ$ \ell $ model as a function of $ m_{{\mathrm{Z}}^{\prime}} $, for $ r_{\text{inv}}= $ 0.7 and $ m_{\text{dark}}= $ 16 GeV. The red solid line labeled ``Theory'' represents the nominal $ {\mathrm{Z}}^{\prime} $ cross section. |
|
png pdf |
Additional Figure 26:
The 95% CL upper limits on $ \sigma_{{\mathrm{Z}}^{\prime}}\mathcal{B}_{\text{dark}} $, where $ \sigma_{{\mathrm{Z}}^{\prime}} $ is the production cross section for $ q\bar{q}\to{\mathrm{Z}}^{\prime} $, and $ \mathcal{B}_{\text{dark}} $ is branching ratio to dark quarks for the SVJ$ \ell $ model as a function of $ m_{{\mathrm{Z}}^{\prime}} $, for $ r_{\text{inv}}= $ 0.3 and $ m_{\text{dark}}= $ 32 GeV. The red solid line labeled ``Theory'' represents the nominal $ {\mathrm{Z}}^{\prime} $ cross section. |
|
png pdf |
Additional Figure 27:
The 95% CL upper limits on $ \sigma_{{\mathrm{Z}}^{\prime}}\mathcal{B}_{\text{dark}} $, where $ \sigma_{{\mathrm{Z}}^{\prime}} $ is the production cross section for $ q\bar{q}\to{\mathrm{Z}}^{\prime} $, and $ \mathcal{B}_{\text{dark}} $ is branching ratio to dark quarks for the SVJ$ \ell $ model as a function of $ m_{{\mathrm{Z}}^{\prime}} $, for $ r_{\text{inv}}= $ 0.5 and $ m_{\text{dark}}= $ 32 GeV. The red solid line labeled ``Theory'' represents the nominal $ {\mathrm{Z}}^{\prime} $ cross section. |
|
png pdf |
Additional Figure 28:
The 95% CL upper limits on $ \sigma_{{\mathrm{Z}}^{\prime}}\mathcal{B}_{\text{dark}} $, where $ \sigma_{{\mathrm{Z}}^{\prime}} $ is the production cross section for $ q\bar{q}\to{\mathrm{Z}}^{\prime} $, and $ \mathcal{B}_{\text{dark}} $ is branching ratio to dark quarks for the SVJ$ \ell $ model as a function of $ m_{{\mathrm{Z}}^{\prime}} $, for $ r_{\text{inv}}= $ 0.7 and $ m_{\text{dark}}= $ 32 GeV. The red solid line labeled ``Theory'' represents the nominal $ {\mathrm{Z}}^{\prime} $ cross section. |
| References | ||||
| 1 | G. Bertone, D. Hooper, and J. Silk | Particle dark matter: Evidence, candidates and constraints | Phys. Rept. 405 (2005) 279 | hep-ph/0404175 |
| 2 | N. Aghanim et al. | Planck 2018 results | Astron. Astrophys. 641 (2020) A6 | |
| 3 | B. W. Lee and S. Weinberg | Cosmological lower bound on heavy neutrino masses | PRL 39 (1977) 165 | |
| 4 | G. Jungman, M. Kamionkowski, and K. Griest | Supersymmetric dark matter | Phys. Rept. 267 (1996) 195 | hep-ph/9506380 |
| 5 | CMS Collaboration | Search for new particles in events with energetic jets and large missing transverse momentum in proton-proton collisions at $ \sqrt{s} = $ 13 TeV | JHEP 11 (2021) 153 | CMS-EXO-20-004 2107.13021 |
| 6 | ATLAS Collaboration | Search for new phenomena in events with an energetic jet and missing transverse momentum in $ pp $ collisions at $ \sqrt {s} = $ 13 TeV with the ATLAS detector | PRD 103 (2021) 112006 | 2102.10874 |
| 7 | CMS Collaboration | Search for new physics in final states with a single photon and missing transverse momentum in proton-proton collisions at $ \sqrt{s} = $ 13 TeV | JHEP 02 (2019) 074 | CMS-EXO-16-053 1810.00196 |
| 8 | CMS Collaboration | Search for new physics in the lepton plus missing transverse momentum final state in proton-proton collisions at $ \sqrt{s} = $ 13 TeV | JHEP 07 (2022) 067 | CMS-EXO-19-017 2202.06075 |
| 9 | CMS Collaboration | Search for dark matter produced in association with a leptonically decaying Z boson in proton-proton collisions at $ \sqrt{s} = $ 13 TeV | [Erratum: Eur. Phys. J. C 81 333], 2021 EPJC 81 (2021) 13 |
CMS-EXO-19-003 2008.04735 |
| 10 | ATLAS Collaboration | Search for dark matter in events with a Z boson and missing transverse momentum in pp collisions at $ \sqrt{s}= $ 8 TeV with the ATLAS detector | PRD 90 (2014) 012004 | 1404.0051 |
| 11 | ATLAS Collaboration | Search for dark matter produced in association with a single top quark in $ \sqrt{s}= $ 13 TeV $ pp $ collisions with the ATLAS detector | EPJC 81 (2021) 860 | 2011.09308 |
| 12 | CMS Collaboration | Search for dark matter produced in association with a single top quark or a top quark pair in proton-proton collisions at $ \sqrt{s}= $ 13 TeV | JHEP 03 (2019) 141 | CMS-EXO-18-010 1901.01553 |
| 13 | CMS Collaboration | Search for dark matter particles produced in association with a Higgs boson in proton-proton collisions at $ \sqrt{\mathrm{s}} = $ 13 TeV | JHEP 03 (2020) 025 | CMS-EXO-18-011 1908.01713 |
| 14 | ATLAS Collaboration | Search for dark matter produced in association with a Standard Model Higgs boson decaying into b-quarks using the full Run 2 dataset from the ATLAS detector | JHEP 11 (2021) 209 | 2108.13391 |
| 15 | M. J. Strassler and K. M. Zurek | Echoes of a hidden valley at hadron colliders | PLB 651 (2007) 374 | hep-ph/0604261 |
| 16 | H. Beauchesne, E. Bertuzzo, and G. Grilli Di Cortona | Dark matter in hidden valley models with stable and unstable light dark mesons | JHEP 04 (2019) 118 | 1809.10152 |
| 17 | E. Bernreuther, F. Kahlhoefer, M. Kr ä mer, and P. Tunney | Strongly interacting dark sectors in the early universe and at the LHC through a simplified portal | JHEP 01 (2020) 162 | 1907.04346 |
| 18 | G. D. Kribs and E. T. Neil | Review of strongly-coupled composite dark matter models and lattice simulations | Int. J. Mod. Phys. A 31 (2016) 1643004 | 1604.04627 |
| 19 | N. Craig, A. Katz, M. Strassler, and R. Sundrum | Naturalness in the dark at the LHC | JHEP 07 (2015) 105 | 1501.05310 |
| 20 | LHCb Collaboration | Search for dark photons produced in 13 TeV $ pp $ collisions | PRL 120 (2018) 061801 | 1710.02867 |
| 21 | ATLAS Collaboration | Search for long-lived particles in final states with displaced dimuon vertices in $ pp $ collisions at $ \sqrt{s}= $ 13 TeV with the ATLAS detector | PRD 99 (2019) 012001 | 1808.03057 |
| 22 | CMS Collaboration | A search for pair production of new light bosons decaying into muons in proton-proton collisions at 13 TeV | PLB 796 (2019) 131 | CMS-HIG-18-003 1812.00380 |
| 23 | CMS Collaboration | Search for dark photons in decays of Higgs bosons produced in association with Z bosons in proton-proton collisions at $ \sqrt{s} = $ 13 TeV | JHEP 10 (2019) 139 | CMS-EXO-19-007 1908.02699 |
| 24 | ATLAS Collaboration | Search for light long-lived neutral particles produced in $ pp $ collisions at $ \sqrt{s} = $ 13 TeV and decaying into collimated leptons or light hadrons with the ATLAS detector | EPJC 80 (2020) 450 | 1909.01246 |
| 25 | LHCb Collaboration | Search for $ a'\to\mu^+\mu^- $ decays | PRL 124 (2020) 041801 | 1910.06926 |
| 26 | CMS Collaboration | Search for a narrow resonance lighter than 200 GeV decaying to a pair of muons in proton-proton collisions at $ \sqrt{s} = $ 13 TeV | PRL 124 (2020) 131802 | CMS-EXO-19-018 1912.04776 |
| 27 | LHCb Collaboration | Searches for low-mass dimuon resonances | JHEP 10 (2020) 156 | 2007.03923 |
| 28 | CMS Collaboration | Search for dark photons in Higgs boson production via vector boson fusion in proton-proton collisions at $ \sqrt{s} = $ 13 TeV | JHEP 03 (2021) 011 | CMS-EXO-20-005 2009.14009 |
| 29 | Planck Collaboration | Planck 2015 results. XIII. cosmological parameters | Astron. Astrophys. 594 (2016) A13 | 1502.01589 |
| 30 | K. Petraki and R. R. Volkas | Review of asymmetric dark matter | Int. J. Mod. Phys. A 28 (2013) 1330028 | 1305.4939 |
| 31 | Y. Bai and P. Schwaller | Scale of dark QCD | PRD 89 (2014) 063522 | 1306.4676 |
| 32 | Y. Bai and A. Rajaraman | Dark matter jets at the LHC | 1109.6009 | |
| 33 | P. Schwaller, D. Stolarski, and A. Weiler | Emerging jets | JHEP 05 (2015) 059 | 1502.05409 |
| 34 | N. Daci et al. | Simplified SIMPs and the LHC | JHEP 11 (2015) 108 | 1503.05505 |
| 35 | M. Park and M. Zhang | Tagging a jet from a dark sector with jet-substructures at colliders | PRD 100 (2019) 115009 | 1712.09279 |
| 36 | T. Cohen, J. Doss, and M. Freytsis | Jet substructure from dark sector showers | JHEP 09 (2020) 118 | 2004.00631 |
| 37 | T. Cohen, M. Lisanti, and H. K. Lou | Semivisible jets: Dark matter undercover at the LHC | PRL 115 (2015) 171804 | 1503.00009 |
| 38 | T. Cohen, M. Lisanti, H. K. Lou, and S. Mishra-Sharma | LHC searches for dark sector showers | JHEP 11 (2017) 196 | 1707.05326 |
| 39 | CMS Collaboration | Search for new particles decaying to a jet and an emerging jet | JHEP 02 (2019) 179 | CMS-EXO-18-001 1810.10069 |
| 40 | CMS Collaboration | Search for resonant production of strongly coupled dark matter in proton-proton collisions at 13 TeV | JHEP 06 (2022) 156 | CMS-EXO-19-020 2112.11125 |
| 41 | ATLAS Collaboration | Search for non-resonant production of semi-visible jets using run 2 data in ATLAS | PLB 848 (2024) 138324 | 2305.18037 |
| 42 | ATLAS Collaboration | Search for resonant production of dark quarks in the dijet final state with the ATLAS detector | JHEP 02 (2024) 128 | 2311.03944 |
| 43 | CMS Collaboration | Search for dark QCD with emerging jets in proton-proton collisions at $ \sqrt{s} = $ 13 TeV | JHEP 07 (2024) 142 | CMS-EXO-22-015 2403.01556 |
| 44 | CMS Collaboration | Search for long-lived particles decaying in the CMS muon detectors in proton-proton collisions at $ \sqrt{s}= $ 13 TeV | PRD 110 (2024) 032007 | CMS-EXO-21-008 2402.01898 |
| 45 | ATLAS Collaboration | Search for new physics in final states with semivisible jets or anomalous signatures using the ATLAS detector | PRD 112 (2025) 012021 | 2505.01634 |
| 46 | ATLAS Collaboration | Search for emerging jets in $ pp $ collisions at $ \sqrt{s} = $ 13.6 TeV with the ATLAS experiment | Submitted to Rept. Prog. Phys., 2025 | 2505.02429 |
| 47 | CMS Collaboration | Search for low-mass hidden valley dark showers with displaced dimuons in proton-proton collisions at $ \sqrt{s}= $ 13 TeV | CMS Physics Analysis Summary, 2025 CMS-PAS-EXO-24-008 |
CMS-PAS-EXO-24-008 |
| 48 | C. Cazzaniga and A. de Cosa | Leptons lurking in semi-visible jets at the LHC | EPJC 82 (2022) 793 | 2206.03909 |
| 49 | H. Beauchesne et al. | Uncovering tau leptons-enriched semi-visible jets at the LHC | EPJC 83 (2023) 599 | 2212.11523 |
| 50 | D. Curtin, R. Essig, S. Gori, and J. Shelton | Illuminating dark photons with high-energy colliders | JHEP 02 (2015) 157 | 1412.0018 |
| 51 | ATLAS Collaboration | Search for high-mass dilepton resonances using 139 fb$ ^{-1} $ of $ pp $ collision data collected at $ \sqrt{s}= $13 TeV with the ATLAS detector | PLB 796 (2019) 68 | 1903.06248 |
| 52 | CMS Collaboration | Search for direct production of GeV-scale resonances decaying to a pair of muons in proton-proton collisions at $ \sqrt{s} = $ 13 TeV | JHEP 12 (2023) 070 | CMS-EXO-21-005 2309.16003 |
| 53 | CMS Collaboration | Precision luminosity measurement in proton-proton collisions at $ \sqrt{s} = $ 13 TeV in 2015 and 2016 at CMS | EPJC 81 (2021) 800 | CMS-LUM-17-003 2104.01927 |
| 54 | F. A. Dreyer and H. Qu | Jet tagging in the Lund plane with graph networks | JHEP 03 (2021) 052 | 2012.08526 |
| 55 | CMS Collaboration | Machine learning method for enforcing variable independence in background estimation with LHC data: ABCDisCoTEC | Submitted to MLST, 2025 | CMS-MLG-23-003 2506.08826 |
| 56 | CMS Collaboration | The CMS experiment at the CERN LHC | JINST 3 (2008) S08004 | |
| 57 | CMS Collaboration | Development of the CMS detector for the CERN LHC Run 3 | JINST 19 (2024) P05064 | CMS-PRF-21-001 2309.05466 |
| 58 | CMS Collaboration | Performance of the CMS Level-1 trigger in proton-proton collisions at $ \sqrt{s} = $ 13 TeV | JINST 15 (2020) P10017 | CMS-TRG-17-001 2006.10165 |
| 59 | CMS Collaboration | The CMS trigger system | JINST 12 (2017) P01020 | CMS-TRG-12-001 1609.02366 |
| 60 | CMS Collaboration | Performance of the CMS high-level trigger during LHC run 2 | JINST 19 (2024) P11021 | CMS-TRG-19-001 2410.17038 |
| 61 | CMS Collaboration | Electron and photon reconstruction and identification with the CMS experiment at the CERN LHC | JINST 16 (2021) P05014 | CMS-EGM-17-001 2012.06888 |
| 62 | CMS Collaboration | Performance of the CMS muon detector and muon reconstruction with proton-proton collisions at $ \sqrt{s}= $ 13 TeV | JINST 13 (2018) P06015 | CMS-MUO-16-001 1804.04528 |
| 63 | CMS Collaboration | Description and performance of track and primary-vertex reconstruction with the CMS tracker | JINST 9 (2014) P10009 | CMS-TRK-11-001 1405.6569 |
| 64 | T. Sjöstrand et al. | An introduction to PYTHIA 8.2 | Comput. Phys. Commun. 191 (2015) 159 | 1410.3012 |
| 65 | L. Carloni and T. Sjostrand | Visible effects of invisible hidden valley radiation | JHEP 09 (2010) 105 | 1006.2911 |
| 66 | L. Carloni, J. Rathsman, and T. Sjostrand | Discerning secluded sector gauge structures | JHEP 04 (2011) 091 | 1102.3795 |
| 67 | G. Albouy et al. | Theory, phenomenology, and experimental avenues for dark showers: a Snowmass 2021 report | EPJC 82 (2022) 1132 | 2203.09503 |
| 68 | A. Albert et al. | Recommendations of the LHC dark matter working group: Comparing LHC searches for dark matter mediators in visible and invisible decay channels and calculations of the thermal relic density | Phys. Dark Univ. 26 (2019) 100377 | 1703.05703 |
| 69 | A. Boveia et al. | Recommendations on presenting LHC searches for missing transverse energy signals using simplified $ s $-channel models of dark matter | Phys. Dark Univ. 27 (2020) 100365 | 1603.04156 |
| 70 | GEANT4 Collaboration | GEANT 4---a simulation toolkit | NIM A 506 (2003) 250 | |
| 71 | J. Alwall et al. | The automated computation of tree-level and next-to-leading order differential cross sections, and their matching to parton shower simulations | JHEP 07 (2014) 079 | 1405.0301 |
| 72 | J. Alwall et al. | Comparative study of various algorithms for the merging of parton showers and matrix elements in hadronic collisions | EPJC 53 (2008) 473 | 0706.2569 |
| 73 | M. Beneke, P. Falgari, S. Klein, and C. Schwinn | Hadronic top-quark pair production with NNLL threshold resummation | NPB 855 (2012) 695 | 1109.1536 |
| 74 | M. Cacciari et al. | Top-pair production at hadron colliders with next-to-next-to-leading logarithmic soft-gluon resummation | PLB 710 (2012) 612 | 1111.5869 |
| 75 | P. B ä rnreuther, M. Czakon, and A. Mitov | Percent level precision physics at the Tevatron: First genuine NNLO QCD corrections to $ \mathrm{q}\overline{\mathrm{q}}\to{\mathrm{t}\overline{\mathrm{t}}} +X $ | PRL 109 (2012) 132001 | 1204.5201 |
| 76 | M. Czakon and A. Mitov | NNLO corrections to top-pair production at hadron colliders: the all-fermionic scattering channels | JHEP 12 (2012) 054 | 1207.0236 |
| 77 | M. Czakon and A. Mitov | NNLO corrections to top pair production at hadron colliders: the quark-gluon reaction | JHEP 01 (2013) 080 | 1210.6832 |
| 78 | M. Czakon, P. Fiedler, and A. Mitov | Total top-quark pair-production cross section at hadron colliders through $ O(\alpha_\mathrm{S}^4) $ | PRL 110 (2013) 252004 | 1303.6254 |
| 79 | Y. Li and F. Petriello | Combining QCD and electroweak corrections to dilepton production in FEWZ | PRD 86 (2012) 094034 | 1208.5967 |
| 80 | NNPDF Collaboration | Parton distributions from high-precision collider data | EPJC 77 (2017) 663 | 1706.00428 |
| 81 | CMS Collaboration | CMS PYTHIA 8 colour reconnection tunes based on underlying-event data | EPJC 83 (2023) 587 | CMS-GEN-17-002 2205.02905 |
| 82 | CMS Collaboration | Particle-flow reconstruction and global event description with the CMS detector | JINST 12 (2017) P10003 | CMS-PRF-14-001 1706.04965 |
| 83 | M. Cacciari, G. P. Salam, and G. Soyez | The anti-$ k_{\mathrm{T}} $ jet clustering algorithm | JHEP 04 (2008) 063 | 0802.1189 |
| 84 | M. Cacciari, G. P. Salam, and G. Soyez | Fastjet user manual | EPJC 72 (2012) 1896 | 1111.6097 |
| 85 | CMS Collaboration | Performance of missing transverse momentum reconstruction in proton-proton collisions at $ \sqrt{s} = $ 13 TeV using the CMS detector | JINST 14 (2019) P07004 | CMS-JME-17-001 1903.06078 |
| 86 | M. Cacciari and G. P. Salam | Pileup subtraction using jet areas | PLB 659 (2008) 119 | 0707.1378 |
| 87 | CMS Collaboration | Pileup mitigation at CMS in 13 TeV data | JINST 15 (2020) P09018 | CMS-JME-18-001 2003.00503 |
| 88 | D. Bertolini, P. Harris, M. Low, and N. Tran | Pileup per particle identification | JHEP 10 (2014) 059 | 1407.6013 |
| 89 | CMS Collaboration | Jet energy scale and resolution in the CMS experiment in pp collisions at 8 TeV | JINST 12 (2017) P02014 | CMS-JME-13-004 1607.03663 |
| 90 | CMS Collaboration | Jet algorithms performance in 13 TeV data | CMS Physics Analysis Summary, 2017 CMS-PAS-JME-16-003 |
CMS-PAS-JME-16-003 |
| 91 | K. Rehermann and B. Tweedie | Efficient identification of boosted semileptonic top quarks at the LHC | JHEP 03 (2011) 059 | 1007.2221 |
| 92 | F. A. Dreyer, G. P. Salam, and G. Soyez | The Lund jet plane | JHEP 12 (2018) 064 | 1807.04758 |
| 93 | T. Cohen, J. Roloff, and C. Scherb | Dark sector showers in the Lund jet plane | PRD 108 (2023) L031501 | 2301.07732 |
| 94 | S. Bentvelsen and I. Meyer | The Cambridge jet algorithm: Features and applications | EPJC 4 (1998) 623 | hep-ph/9803322 |
| 95 | Y. Wang et al. | Dynamic graph CNN for learning on point clouds | ACM Trans. Graph. 38 (2019) | 1801.07829 |
| 96 | A. Paszke et al. | PyTorch: an imperative style, high-performance deep learning library | in Proceedings of the 33rd International Conference on Neural Information Processing Systems, Curran Associates Inc, 2019 Proceedings of the 3 (2019) 721 |
|
| 97 | D. P. Kingma and J. Ba | Adam: A method for stochastic optimization | 1412.6980 | |
| 98 | G. J. Sz é kely, M. L. Rizzo, and N. K. Bakirov | Measuring and testing depefndence by correlation of distances | Ann. Stat. 35 (2007) 2769 | 0803.4101 |
| 99 | J. Platt and A. Barr | Constrained differential optimization | in Proceedings of the 1st International Conference on Neural Information Processing Systems. MIT Press, Cambridge, MA, USA, 1987 link |
|
| 100 | CMS Collaboration | CMS luminosity measurement for the 2017 data-taking period at $ \sqrt{s} = $ 13 TeV | CMS Physics Analysis Summary, 2018 CMS-PAS-LUM-17-004 |
CMS-PAS-LUM-17-004 |
| 101 | CMS Collaboration | CMS luminosity measurement for the 2018 data-taking period at $ \sqrt{s}= $ 13 TeV | CMS Physics Analysis Summary, 2019 CMS-PAS-LUM-18-002 |
CMS-PAS-LUM-18-002 |
| 102 | CMS Collaboration | Measurement of the inelastic proton-proton cross section at $ \sqrt{s}= $ 13 TeV | JHEP 07 (2018) 161 | CMS-FSQ-15-005 1802.02613 |
| 103 | NNPDF Collaboration | Parton distributions with QED corrections | NPB 877 (2013) 290 | 1308.0598 |
| 104 | A. Kalogeropoulos and J. Alwall | The SysCalc code: A tool to derive theoretical systematic uncertainties | 1801.08401 | |
| 105 | S. Catani, D. de Florian, M. Grazzini, and P. Nason | Soft gluon resummation for Higgs boson production at hadron colliders | JHEP 07 (2003) 028 | hep-ph/0306211 |
| 106 | M. Cacciari et al. | The $ \mathrm{t} \overline{\mathrm{t}} $ cross-section at 1.8 TeV and 1.96 TeV: a study of the systematics due to parton densities and scale dependence | JHEP 04 (2004) 068 | hep-ph/0303085 |
| 107 | S. Mrenna and P. Skands | Automated parton-shower variations in Pythia 8 | PRD 94 (2016) 074005 | 1605.08352 |
| 108 | T. Junk | Confidence level computation for combining searches with small statistics | NIM A 434 (1999) 435 | hep-ex/9902006 |
| 109 | A. L. Read | Presentation of search results: The CL(s) technique | JPG 28 (2002) 2693 | |
| 110 | CMS Collaboration | The CMS statistical analysis and combination tool: Combine | Comput. Softw. Big Sci. 8 (2024) 19 | CMS-CAT-23-001 2404.06614 |
| 111 | G. Cowan, K. Cranmer, E. Gross, and O. Vitells | Asymptotic formulae for likelihood-based tests of new physics | [Erratum: Eur. Phys. J. C 73 2501], 2011 EPJC 71 (2011) 1554 |
1007.1727 |
|
Compact Muon Solenoid LHC, CERN |
|
|
|
|
|
|