| CMS-EXO-23-015 ; CERN-EP-2025-021 | ||
| Search for vector-like leptons with long-lived particle decays in the CMS muon system in proton-proton collisions at $ \sqrt{s} = $ 13 TeV | ||
| CMS Collaboration | ||
| 20 March 2025 | ||
| JHEP 08 (2025) 156 | ||
| Abstract: A first search is presented for vector-like leptons (VLLs) exclusively decaying into a light long-lived pseudoscalar boson and a standard model $ \tau $ lepton. The pseudoscalar boson is assumed to have a mass below the $ \tau^{+} \! \tau^{-} $ threshold, so that it decays exclusively into two photons. It is identified using the CMS muon system. The analysis is carried out using a data set of proton-proton collisions at a center-of-mass energy of 13 TeV collected by the CMS experiment in 2016-2018, corresponding to an integrated luminosity of 138 fb$ ^{-1} $. Selected events contain at least one pseudoscalar boson decaying electromagnetically in the muon system and at least one hadronically decaying $ \tau $ lepton. No significant excess of data events is observed compared to the background expectation. Upper limits are set at 95% confidence level on the vector-like lepton production cross section as a function of the VLL mass and the pseudoscalar boson mean proper decay length. The observed and expected exclusion ranges of the VLL mass extend up to 700 and 670 GeV, respectively, depending on the pseudoscalar boson lifetime. | ||
| Links: e-print arXiv:2503.16699 [hep-ex] (PDF) ; CDS record ; inSPIRE record ; HepData record ; CADI line (restricted) ; | ||
| Figures | |
|
png pdf |
Figure 1:
Feynman diagram of pair production of singlet vector-like leptons ($\tau^{'}$), which in turn both decay into an SM $ \tau $ lepton and a new long-lived pseudoscalar boson ($ \mathrm{a}_{\tau} $). |
|
png pdf |
Figure 2:
The cluster reconstruction efficiency, including both DT and CSC clusters, as a function of the simulated $ r $ and $ |z| $ decay positions of the pseudoscalar boson $ \mathrm{a}_{\tau} $ decaying to $ \gamma\gamma $ in events with $ p_{\mathrm{T}}^\text{miss} > $ 200 GeV, for a VLL mass of 700 GeV, a pseudoscalar boson mass of 2 GeV, and a range of pseudoscalar boson mean proper decay lengths $ c\tau_\mathrm{a} $ uniformly distributed between 0.01 and 0.1m. The barrel and endcap muon stations are drawn as black boxes and labeled by their names. The regions between muon stations are mostly composed of steel from the return yoke. The cluster reconstruction efficiency presented here corresponds to electromagnetic decays, in contrast to that of hadronic decays shown in Ref. [38]. |
|
png pdf |
Figure 3:
Distributions of the number of hits in the cluster ($ N_\text{hits} $) for the DT (left) and CSC (right) cluster categories in the signal region (SR). The black markers represent the data. The solid orange line and associated orange band show the background prediction and corresponding uncertainty. The red dotted, blue dashed and green dashed-dotted lines denote different signal hypotheses for a pseudoscalar boson with a mass of 2 GeV. The last histogram bin contains all overflow events. The lower panel in each plot shows the ratio of the data to the estimated background. |
|
png pdf |
Figure 3-a:
Distributions of the number of hits in the cluster ($ N_\text{hits} $) for the DT (left) and CSC (right) cluster categories in the signal region (SR). The black markers represent the data. The solid orange line and associated orange band show the background prediction and corresponding uncertainty. The red dotted, blue dashed and green dashed-dotted lines denote different signal hypotheses for a pseudoscalar boson with a mass of 2 GeV. The last histogram bin contains all overflow events. The lower panel in each plot shows the ratio of the data to the estimated background. |
|
png pdf |
Figure 3-b:
Distributions of the number of hits in the cluster ($ N_\text{hits} $) for the DT (left) and CSC (right) cluster categories in the signal region (SR). The black markers represent the data. The solid orange line and associated orange band show the background prediction and corresponding uncertainty. The red dotted, blue dashed and green dashed-dotted lines denote different signal hypotheses for a pseudoscalar boson with a mass of 2 GeV. The last histogram bin contains all overflow events. The lower panel in each plot shows the ratio of the data to the estimated background. |
|
png pdf |
Figure 4:
Distributions of the number of hits in the cluster ($ N_\text{hits} $) for the DT (left) and CSC (right) cluster categories in the out-of-time (OOT) region. The black markers represent the data. The solid orange line and associated orange band show the background prediction and corresponding uncertainty. The red dotted, blue dashed and green dashed-dotted lines denote different signal hypotheses for a pseudoscalar boson with a mass of 2 GeV. The last histogram bin contains all overflow events. The lower panel in each plot shows the ratio of the data to the estimated background. |
|
png pdf |
Figure 4-a:
Distributions of the number of hits in the cluster ($ N_\text{hits} $) for the DT (left) and CSC (right) cluster categories in the out-of-time (OOT) region. The black markers represent the data. The solid orange line and associated orange band show the background prediction and corresponding uncertainty. The red dotted, blue dashed and green dashed-dotted lines denote different signal hypotheses for a pseudoscalar boson with a mass of 2 GeV. The last histogram bin contains all overflow events. The lower panel in each plot shows the ratio of the data to the estimated background. |
|
png pdf |
Figure 4-b:
Distributions of the number of hits in the cluster ($ N_\text{hits} $) for the DT (left) and CSC (right) cluster categories in the out-of-time (OOT) region. The black markers represent the data. The solid orange line and associated orange band show the background prediction and corresponding uncertainty. The red dotted, blue dashed and green dashed-dotted lines denote different signal hypotheses for a pseudoscalar boson with a mass of 2 GeV. The last histogram bin contains all overflow events. The lower panel in each plot shows the ratio of the data to the estimated background. |
|
png pdf |
Figure 5:
The 95% CL observed and expected upper limits on the VLL production cross section as a function of the VLL mass for the pseudoscalar boson mean proper decay length $ c\tau_\mathrm{a}= $ 0.025m (left), and as a function of $ c\tau_\mathrm{a} $ for VLL mass of 700 GeV (right). The pseudoscalar boson mass is 2 GeV. The NLO theoretical prediction [36] is shown as a red line. |
|
png pdf |
Figure 5-a:
The 95% CL observed and expected upper limits on the VLL production cross section as a function of the VLL mass for the pseudoscalar boson mean proper decay length $ c\tau_\mathrm{a}= $ 0.025m (left), and as a function of $ c\tau_\mathrm{a} $ for VLL mass of 700 GeV (right). The pseudoscalar boson mass is 2 GeV. The NLO theoretical prediction [36] is shown as a red line. |
|
png pdf |
Figure 5-b:
The 95% CL observed and expected upper limits on the VLL production cross section as a function of the VLL mass for the pseudoscalar boson mean proper decay length $ c\tau_\mathrm{a}= $ 0.025m (left), and as a function of $ c\tau_\mathrm{a} $ for VLL mass of 700 GeV (right). The pseudoscalar boson mass is 2 GeV. The NLO theoretical prediction [36] is shown as a red line. |
|
png pdf |
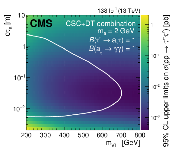
Figure 6:
The 95% CL observed upper limits on the VLL production cross section as a function of the VLL mass and the pseudoscalar boson mean proper decay length $ c\tau_\mathrm{a} $. The pseudoscalar boson mass is 2 GeV. The area enclosed by the white line corresponds to the excluded region. |
| Summary |
| The first search for singlet vector-like leptons (VLLs) that decay into a light long-lived pseudoscalar boson and a $ \tau $ lepton has been presented. It is performed using the CMS data set of proton-proton collisions at 13 TeV collected in 2016-2018, corresponding to an integrated luminosity of 138 fb$ ^{-1} $. This analysis targets a reconstructed signature with at least one hadronically decaying tau lepton and with at least one muon detector shower resulting from the pseudoscalar boson decay in the CMS muon system. Selected events are categorized based on the presence of a cluster of muon detector hits in the barrel or the endcap region. No significant deviation from the background-only hypothesis is observed. The results of each category are combined to derive upper limits on the VLL production cross section as a function of the VLL mass and the pseudoscalar boson proper decay length. For pseudoscalar boson mean proper decay lengths in the range of 0.005-2.4 m, VLL masses up to 700 GeV are excluded at 95% confidence level. These are the most stringent constraints on the production of singlet VLLs with long-lived decays. |
| References | ||||
| 1 | A. Djouadi and A. Lenz | Sealing the fate of a fourth generation of fermions | PLB 715 (2012) 310 | 1204.1252 |
| 2 | A. Lenz | Constraints on a fourth generation of fermions from Higgs boson searches | Adv. High Energy Phys. 2013 (2013) 910275 | |
| 3 | ATLAS Collaboration | Search for pair production of a new heavy quark that decays into a $ W $ boson and a light quark in pp collisions at $ \sqrt{s} = $ 8 TeV with the ATLAS detector | PRD 92 (2015) 112007 | 1509.04261 |
| 4 | CMS Collaboration | Combined search for the quarks of a sequential fourth generation | PRD 86 (2012) 112003 | CMS-EXO-11-098 1209.1062 |
| 5 | J. A. Aguilar-Saavedra, D. E. López-Fogliani, and C. Mu \ n oz | Novel signatures for vector-like quarks | JHEP 06 (2017) 095 | 1705.02526 |
| 6 | N. Kumar and S. P. Martin | Vectorlike leptons at the Large Hadron Collider | PRD 92 (2015) 115018 | 1510.03456 |
| 7 | P. N. Bhattiprolu and S. P. Martin | Prospects for vectorlike leptons at future proton-proton colliders | PRD 100 (2019) 015033 | 1905.00498 |
| 8 | K. Kong, S. C. Park, and T. G. Rizzo | A vector-like fourth generation with a discrete symmetry from Split-UED | JHEP 07 (2010) 059 | 1004.4635 |
| 9 | G.-Y. Huang, K. Kong, and S. C. Park | Bounds on the fermion-bulk masses in models with universal extra dimensions | JHEP 06 (2012) 099 | 1204.0522 |
| 10 | T. P. T. Dijkstra, L. R. Huiszoon, and A. N. Schellekens | Supersymmetric standard model spectra from RCFT orientifolds | NPB 710 (2005) 3 | hep-th/0411129 |
| 11 | S. Raby and A. Wingerter | Gauge coupling unification and light exotica in string theory | PRL 99 (2007) 051802 | 0705.0294 |
| 12 | O. Lebedev et al. | A mini-landscape of exact MSSM spectra in heterotic orbifolds | PLB 645 (2007) 88 | hep-th/0611095 |
| 13 | S. P. Martin | Extra vector-like matter and the lightest Higgs scalar boson mass in low-energy supersymmetry | PRD 81 (2010) 035004 | 0910.2732 |
| 14 | P. W. Graham, A. Ismail, S. Rajendran, and P. Saraswat | A little solution to the little hierarchy problem: A vector-like generation | PRD 81 (2010) 055016 | 0910.3020 |
| 15 | M. Endo, K. Hamaguchi, S. Iwamoto, and N. Yokozaki | Higgs mass and muon anomalous magnetic moment in supersymmetric models with vector-like matters | PRD 84 (2011) 075017 | 1108.3071 |
| 16 | S. Zheng | Minimal vectorlike model in supersymmetric unification | EPJC 80 (2020) 273 | 1904.10145 |
| 17 | R. Nevzorov | $ E_6 $ inspired supersymmetric models with exact custodial symmetry | PRD 87 (2013) 015029 | 1205.5967 |
| 18 | I. Doršner, S. Fajfer, and I. Mustac | Light vector-like fermions in a minimal SU(5) setup | PRD 89 (2014) 115004 | 1401.6870 |
| 19 | A. Joglekar and J. L. Rosner | Searching for signatures of $ E_{6} $ | PRD 96 (2017) 015026 | 1607.06900 |
| 20 | J. A. Aguilar-Saavedra | Identifying top partners at LHC | JHEP 11 (2009) 030 | 0907.3155 |
| 21 | A. Deandrea et al. | Single production of vector-like quarks: The effects of large width, interference and NLO corrections | JHEP 08 (2021) 107 | 2105.08745 |
| 22 | ATLAS Collaboration | Combination of the searches for pair-produced vector-like partners of the third-generation quarks at $ \sqrt{s} = $ 13 TeV with the ATLAS detector | PRL 121 (2018) 211801 | 1808.02343 |
| 23 | CMS Collaboration | Search for pair production of vector-like quarks in leptonic final states in proton-proton collisions at $ \sqrt{s} = $ 13 TeV | JHEP 07 (2023) 020 | 2209.07327 |
| 24 | CMS Collaboration | Review of searches for vector-like quarks, vector-like leptons, and heavy neutral leptons in proton-proton collisions at $ \sqrt{s} = $ 13 TeV at the CMS experiment | Phys. Rept. 1115 (2025) 570 | CMS-EXO-23-006 2405.17605 |
| 25 | A. Greljo and B. A. Stefanek | Third family quark-lepton unification at the TeVns scale | PLB 782 (2018) 131 | 1802.04274 |
| 26 | ATLAS Collaboration | Search for third-generation vector-like leptons in pp collisions at $ \sqrt{s} = $ 13 TeV with the ATLAS detector | JHEP 07 (2023) 118 | 2303.05441 |
| 27 | ATLAS Collaboration | Search for electroweak production of vector-like leptons in $ \tau $-lepton and b-jet final states in pp collisions at $ \sqrt{s} = $ 13 TeV with the ATLAS detector | Submitted to Eur. Phys. J. C, 2025 | 2503.22581 |
| 28 | CMS Collaboration | Inclusive nonresonant multilepton probes of new phenomena at $ \sqrt{s}= $ 13 TeV | PRD 105 (2022) 112007 | CMS-EXO-21-002 2202.08676 |
| 29 | CMS Collaboration | Search for pair-produced vector-like leptons in final states with third-generation leptons and at least three b quark jets in proton-proton collisions at $ \sqrt{s} = $ 13 TeV | PLB 846 (2023) 137713 | 2208.09700 |
| 30 | B. A. Dobrescu | Minimal composite Higgs model with light bosons | PRD 63 (2001) 015004 | hep-ph/9908391 |
| 31 | H.-C. Cheng, I. Low, and L.-T. Wang | Top partners in little Higgs theories with T-parity | PRD 74 (2006) 055001 | hep-ph/0510225 |
| 32 | G. Cacciapaglia, A. Deandrea, S. R. Choudhury, and N. Gaur | T-parity odd heavy leptons at LHC | PRD 81 (2010) 075005 | 0911.4632 |
| 33 | B. A. Dobrescu | Quark and lepton compositeness: A renormalizable model | PRL 128 (2022) 241804 | 2112.15132 |
| 34 | B. Assi and B. A. Dobrescu | Proton decay from quark and lepton compositeness | JHEP 12 (2022) 116 | 2211.02211 |
| 35 | M. Bauer, M. Neubert, and A. Thamm | Collider probes of axion-like particles | JHEP 12 (2017) 044 | 1708.00443 |
| 36 | E. Bernreuther and B. A. Dobrescu | Vectorlike leptons and long-lived bosons at the LHC | JHEP 07 (2023) 079 | 2304.08509 |
| 37 | CMS Collaboration | Search for long-lived particles decaying in the CMS endcap muon detectors in proton-proton collisions at $ \sqrt{s} = $ 13 TeV | PRL 127 (2021) 261804 | CMS-EXO-20-015 2107.04838 |
| 38 | CMS Collaboration | Search for long-lived particles decaying in the CMS muon detectors in proton-proton collisions at $ \sqrt{s}= $ 13 TeV | PRD 110 (2024) 032007 | CMS-EXO-21-008 2402.01898 |
| 39 | CMS Collaboration | Search for long-lived heavy neutral leptons decaying in the CMS muon detectors in proton-proton collisions at $ \sqrt{s}= $ 13 TeV | PRD 110 (2024) 012004 | CMS-EXO-22-017 2402.18658 |
| 40 | CMS Collaboration | HEPData record for this analysis | link | |
| 41 | CMS Collaboration | The CMS experiment at the CERN LHC | JINST 3 (2008) S08004 | |
| 42 | CMS Collaboration | Development of the CMS detector for the CERN LHC Run 3 | JINST 19 (2024) P05064 | CMS-PRF-21-001 2309.05466 |
| 43 | CMS Collaboration | Performance of the CMS level-1 trigger in proton-proton collisions at $ \sqrt{s} = $ 13 TeV | JINST 15 (2020) P10017 | CMS-TRG-17-001 2006.10165 |
| 44 | CMS Collaboration | The CMS trigger system | JINST 12 (2017) P01020 | CMS-TRG-12-001 1609.02366 |
| 45 | CMS Collaboration | Performance of the CMS high-level trigger during LHC Run 2 | JINST 19 (2024) P11021 | CMS-TRG-19-001 2410.17038 |
| 46 | J. Alwall et al. | The automated computation of tree-level and next-to-leading order differential cross sections, and their matching to parton shower simulations | JHEP 07 (2014) 079 | 1405.0301 |
| 47 | T. Sjostrand et al. | An introduction to PYTHIA8.2 | Comp. Phys. Comm. 191 (2015) 159 | 1410.3012 |
| 48 | CMS Collaboration | Extraction and validation of a new set of CMS PYTHIA8 tunes from underlying-event measurements | EPJC 80 (2020) 4 | CMS-GEN-17-001 1903.12179 |
| 49 | NNPDF Collaboration | Parton distributions from high-precision collider data | EPJC 77 (2017) 663 | 1706.00428 |
| 50 | GEANT4 Collaboration | GEANT 4---a simulation toolkit | NIM A 506 (2003) 250 | |
| 51 | CMS Collaboration | Particle-flow reconstruction and global event description with the CMS detector | JINST 12 (2017) P10003 | CMS-PRF-14-001 1706.04965 |
| 52 | CMS Collaboration | Technical proposal for the Phase-II upgrade of the Compact Muon Solenoid | CMS Technical Proposal CERN-LHCC-2015-010, CMS-TDR-15-02, 2015 CDS |
|
| 53 | CMS Collaboration | Performance of the CMS muon detector and muon reconstruction with proton-proton collisions at $ \sqrt{s}= $ 13 TeV | JINST 13 (2018) P06015 | CMS-MUO-16-001 1804.04528 |
| 54 | M. Cacciari, G. P. Salam, and G. Soyez | The anti-$ k_{\mathrm{T}} $ jet clustering algorithm | JHEP 04 (2008) 063 | 0802.1189 |
| 55 | M. Cacciari, G. P. Salam, and G. Soyez | FastJet user manual | EPJC 72 (2012) 1896 | 1111.6097 |
| 56 | CMS Collaboration | Pileup mitigation at CMS in 13 TeV data | JINST 15 (2020) P09018 | CMS-JME-18-001 2003.00503 |
| 57 | CMS Collaboration | Jet energy scale and resolution in the CMS experiment in pp collisions at 8 TeV | JINST 12 (2017) P02014 | CMS-JME-13-004 1607.03663 |
| 58 | CMS Collaboration | Jet algorithms performance in 13 TeV data | CMS Physics Analysis Summary, 2017 CMS-PAS-JME-16-003 |
CMS-PAS-JME-16-003 |
| 59 | CMS Collaboration | Performance of missing transverse momentum reconstruction in proton-proton collisions at $ \sqrt{s} = $ 13 TeV using the CMS detector | JINST 14 (2019) P07004 | CMS-JME-17-001 1903.06078 |
| 60 | CMS Collaboration | Performance of reconstruction and identification of $ \tau $ leptons decaying to hadrons and $ \nu_\tau $ in pp collisions at $ \sqrt{s}= $ 13 TeV | JINST 13 (2018) P10005 | CMS-TAU-16-003 1809.02816 |
| 61 | CMS Collaboration | Identification of hadronic tau lepton decays using a deep neural network | JINST 17 (2022) P07023 | CMS-TAU-20-001 2201.08458 |
| 62 | M. Ester, H.-P. Kriegel, J. Sander, and X. Xu | A density-based algorithm for discovering clusters in large spatial databases with noise | in Proc. 2nd Int. Conf. on Knowledge Discovery and Data Mining, 1996 | |
| 63 | R. A. Fisher | On the interpretation of $ \chi^{2} $ from contingency tables, and the calculation of P | J. R. Stat. Soc. 85 (1922) 87 | |
| 64 | S. Baker and R. D. Cousins | Clarification of the use of chi square and likelihood functions in fits to histograms | NIM 221 (1984) 437 | |
| 65 | J. K. Lindsey | Parametric statistical inference | Oxford Science Publications. Clarendon Press, ISBN 978023598, 1996 | |
| 66 | CMS Collaboration | Precision luminosity measurement in proton-proton collisions at $ \sqrt{s} = $ 13 TeV in 2015 and 2016 at CMS | EPJC 81 (2021) 800 | CMS-LUM-17-003 2104.01927 |
| 67 | CMS Collaboration | CMS luminosity measurement for the 2017 data-taking period at $ \sqrt{s} = $ 13 TeV | CMS Physics Analysis Summary, 2018 link |
CMS-PAS-LUM-17-004 |
| 68 | CMS Collaboration | CMS luminosity measurement for the 2018 data-taking period at $ \sqrt{s} = $ 13 TeV | CMS Physics Analysis Summary, 2019 link |
CMS-PAS-LUM-18-002 |
| 69 | T. Junk | Confidence level computation for combining searches with small statistics | NIM A 434 (1999) 435 | hep-ex/9902006 |
| 70 | A. L. Read | Presentation of search results: The $ \text{CL}_\text{s} $ technique | JPG 28 (2002) 2693 | |
| 71 | ATLAS and CMS Collaborations, and LHC Higgs Combination Group | Procedure for the LHC Higgs boson search combination in Summer 2011 | Technical Report CMS-NOTE-2011-005, ATL-PHYS-PUB-2011-11, 2011 | |
| 72 | G. Cowan, K. Cranmer, E. Gross, and O. Vitells | Asymptotic formulae for likelihood-based tests of new physics | EPJC 71 (2011) 1554 | 1007.1727 |
| 73 | CMS Collaboration | The CMS statistical analysis and combination tool: Combine | Comput. Softw. Big Sci. 8 (2024) 19 | CMS-CAT-23-001 2404.06614 |
| 74 | W. Verkerke and D. Kirkby | The RooFit toolkit for data modeling | in Proc. 13th International Conference on Computing in High Energy and Nuclear Physics (CHEP 2003): La Jolla CA, United States, 2003. [eConf C0303241 (2003) MOLT007] link |
physics/0306116 |
| 75 | L. Moneta et al. | The RooStats project | in Proc. 13th International Workshop on Advanced Computing and Analysis Techniques in Physics Research (ACAT 2010): Jaipur, India, 2010 [PoS (ACAT2010) 057] link |
1009.1003 |
|
Compact Muon Solenoid LHC, CERN |
|
|
|
|
|
|