| CMS-PAS-TOP-24-004 | ||
| Combination of exclusion limits on modified couplings between top quarks and heavy bosons in the effective field theory framework | ||
| CMS Collaboration | ||
| 1 April 2025 | ||
| Abstract: The statistical combination of two indirect searches for physics beyond the standard model within the framework of effective field theory using 138 fb$ ^{-1} $ of data collected by the CMS experiment at $ \sqrt{s}= $ 13 TeV is presented. In the first measurement, top quarks in association with a hadronically decaying boson with large transverse momentum are studied, while in the second, the production of top quarks associated with additional leptons is explored. The events examined in the first search involve a single lepton (electron or muon) in the final state while in the latter case, events with two same-charge leptons, three leptons, or four or more leptons are studied. Eight Wilson coefficients are simultaneously measured, each of which is associated to an independent operator in effective field theory. The combination of the two analyses improves the results by up to 10% with respect to either analysis alone. | ||
| Links: CDS record (PDF) ; CADI line (restricted) ; | ||
| Figures & Tables | Summary | Additional Figures & Tables | References | CMS Publications |
|---|
| Figures | |
|
png pdf |
Figure 1:
The one-dimensional likelihood scans over each of the eight WCs under consideration. We determine the regions where the test statistic falls below 1 and below 4. For each WC, the other seven WCs are fixed to the SM during the scan. |
|
png pdf |
Figure 1-a:
The one-dimensional likelihood scans over each of the eight WCs under consideration. We determine the regions where the test statistic falls below 1 and below 4. For each WC, the other seven WCs are fixed to the SM during the scan. |
|
png pdf |
Figure 1-b:
The one-dimensional likelihood scans over each of the eight WCs under consideration. We determine the regions where the test statistic falls below 1 and below 4. For each WC, the other seven WCs are fixed to the SM during the scan. |
|
png pdf |
Figure 1-c:
The one-dimensional likelihood scans over each of the eight WCs under consideration. We determine the regions where the test statistic falls below 1 and below 4. For each WC, the other seven WCs are fixed to the SM during the scan. |
|
png pdf |
Figure 1-d:
The one-dimensional likelihood scans over each of the eight WCs under consideration. We determine the regions where the test statistic falls below 1 and below 4. For each WC, the other seven WCs are fixed to the SM during the scan. |
|
png pdf |
Figure 1-e:
The one-dimensional likelihood scans over each of the eight WCs under consideration. We determine the regions where the test statistic falls below 1 and below 4. For each WC, the other seven WCs are fixed to the SM during the scan. |
|
png pdf |
Figure 1-f:
The one-dimensional likelihood scans over each of the eight WCs under consideration. We determine the regions where the test statistic falls below 1 and below 4. For each WC, the other seven WCs are fixed to the SM during the scan. |
|
png pdf |
Figure 1-g:
The one-dimensional likelihood scans over each of the eight WCs under consideration. We determine the regions where the test statistic falls below 1 and below 4. For each WC, the other seven WCs are fixed to the SM during the scan. |
|
png pdf |
Figure 1-h:
The one-dimensional likelihood scans over each of the eight WCs under consideration. We determine the regions where the test statistic falls below 1 and below 4. For each WC, the other seven WCs are fixed to the SM during the scan. |
|
png pdf |
Figure 1-i:
The one-dimensional likelihood scans over each of the eight WCs under consideration. We determine the regions where the test statistic falls below 1 and below 4. For each WC, the other seven WCs are fixed to the SM during the scan. |
|
png pdf |
Figure 2:
The one-dimensional likelihood scans over each of the eight WCs under consideration. We determine the regions where the test statistic falls below 1 and below 4. For each WC, the other seven WCs are marginalized during the scan. |
|
png pdf |
Figure 2-a:
The one-dimensional likelihood scans over each of the eight WCs under consideration. We determine the regions where the test statistic falls below 1 and below 4. For each WC, the other seven WCs are marginalized during the scan. |
|
png pdf |
Figure 2-b:
The one-dimensional likelihood scans over each of the eight WCs under consideration. We determine the regions where the test statistic falls below 1 and below 4. For each WC, the other seven WCs are marginalized during the scan. |
|
png pdf |
Figure 2-c:
The one-dimensional likelihood scans over each of the eight WCs under consideration. We determine the regions where the test statistic falls below 1 and below 4. For each WC, the other seven WCs are marginalized during the scan. |
|
png pdf |
Figure 2-d:
The one-dimensional likelihood scans over each of the eight WCs under consideration. We determine the regions where the test statistic falls below 1 and below 4. For each WC, the other seven WCs are marginalized during the scan. |
|
png pdf |
Figure 2-e:
The one-dimensional likelihood scans over each of the eight WCs under consideration. We determine the regions where the test statistic falls below 1 and below 4. For each WC, the other seven WCs are marginalized during the scan. |
|
png pdf |
Figure 2-f:
The one-dimensional likelihood scans over each of the eight WCs under consideration. We determine the regions where the test statistic falls below 1 and below 4. For each WC, the other seven WCs are marginalized during the scan. |
|
png pdf |
Figure 2-g:
The one-dimensional likelihood scans over each of the eight WCs under consideration. We determine the regions where the test statistic falls below 1 and below 4. For each WC, the other seven WCs are marginalized during the scan. |
|
png pdf |
Figure 2-h:
The one-dimensional likelihood scans over each of the eight WCs under consideration. We determine the regions where the test statistic falls below 1 and below 4. For each WC, the other seven WCs are marginalized during the scan. |
|
png pdf |
Figure 2-i:
The one-dimensional likelihood scans over each of the eight WCs under consideration. We determine the regions where the test statistic falls below 1 and below 4. For each WC, the other seven WCs are marginalized during the scan. |
|
png pdf |
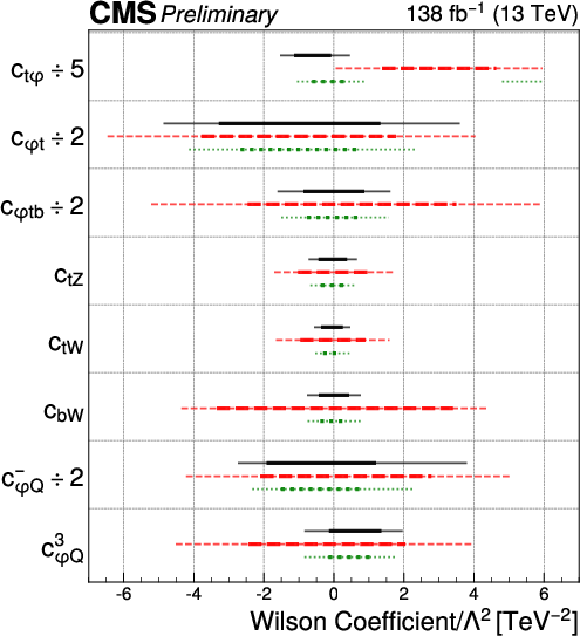
Figure 3:
A summary of the intervals where the test statistic falls below 1 and below 4, for each of the eight WCs under consideration. For each WC, the other seven WCs are fixed to the SM during the likelihood scan used to determine the intervals. |
|
png pdf |
Figure 3-a:
A summary of the intervals where the test statistic falls below 1 and below 4, for each of the eight WCs under consideration. For each WC, the other seven WCs are fixed to the SM during the likelihood scan used to determine the intervals. |
|
png pdf |
Figure 3-b:
A summary of the intervals where the test statistic falls below 1 and below 4, for each of the eight WCs under consideration. For each WC, the other seven WCs are fixed to the SM during the likelihood scan used to determine the intervals. |
|
png pdf |
Figure 4:
A summary of the intervals where the test statistic falls below 1 and below 4, for each of the eight WCs under consideration. For each WC, the other seven WCs are marginalized during the likelihood scan used to determine the intervals. |
|
png pdf |
Figure 4-a:
A summary of the intervals where the test statistic falls below 1 and below 4, for each of the eight WCs under consideration. For each WC, the other seven WCs are marginalized during the likelihood scan used to determine the intervals. |
|
png pdf |
Figure 4-b:
A summary of the intervals where the test statistic falls below 1 and below 4, for each of the eight WCs under consideration. For each WC, the other seven WCs are marginalized during the likelihood scan used to determine the intervals. |
|
png pdf |
Figure 5:
The energy scale $ \Lambda $ each WC can exclude when set to 0.01, 1, and $ (4\pi)^2 $ respectively. For each WC, the other seven WCs are marginalized during the likelihood scan used to determine the intervals. |
|
png pdf |
Figure 6:
Likelihood scans as a function of $c_{\mathrm{ \varphi t}}$ and $c^{-}_{\mathrm{ \varphi Q}}$ (upper left), $c_{\mathrm{ t W }}$ and $c_{\mathrm{ t Z }}$ (upper right), and $c^{3}_{\mathrm{ \varphi Q }}$ and $c^{-}_{\mathrm{ \varphi Q}}$ (lower left). The scan is performed with the other six WCs fixed to the SM. |
|
png pdf |
Figure 6-a:
Likelihood scans as a function of $c_{\mathrm{ \varphi t}}$ and $c^{-}_{\mathrm{ \varphi Q}}$ (upper left), $c_{\mathrm{ t W }}$ and $c_{\mathrm{ t Z }}$ (upper right), and $c^{3}_{\mathrm{ \varphi Q }}$ and $c^{-}_{\mathrm{ \varphi Q}}$ (lower left). The scan is performed with the other six WCs fixed to the SM. |
|
png pdf |
Figure 6-b:
Likelihood scans as a function of $c_{\mathrm{ \varphi t}}$ and $c^{-}_{\mathrm{ \varphi Q}}$ (upper left), $c_{\mathrm{ t W }}$ and $c_{\mathrm{ t Z }}$ (upper right), and $c^{3}_{\mathrm{ \varphi Q }}$ and $c^{-}_{\mathrm{ \varphi Q}}$ (lower left). The scan is performed with the other six WCs fixed to the SM. |
|
png pdf |
Figure 6-c:
Likelihood scans as a function of $c_{\mathrm{ \varphi t}}$ and $c^{-}_{\mathrm{ \varphi Q}}$ (upper left), $c_{\mathrm{ t W }}$ and $c_{\mathrm{ t Z }}$ (upper right), and $c^{3}_{\mathrm{ \varphi Q }}$ and $c^{-}_{\mathrm{ \varphi Q}}$ (lower left). The scan is performed with the other six WCs fixed to the SM. |
|
png pdf |
Figure 6-d:
Likelihood scans as a function of $c_{\mathrm{ \varphi t}}$ and $c^{-}_{\mathrm{ \varphi Q}}$ (upper left), $c_{\mathrm{ t W }}$ and $c_{\mathrm{ t Z }}$ (upper right), and $c^{3}_{\mathrm{ \varphi Q }}$ and $c^{-}_{\mathrm{ \varphi Q}}$ (lower left). The scan is performed with the other six WCs fixed to the SM. |
|
png pdf |
Figure 7:
Likelihood scans as a function of $c_{\mathrm{ \varphi t}}$ and $c^{-}_{\mathrm{ \varphi Q}}$ (upper left), $c_{\mathrm{ t W }}$ and $c_{\mathrm{ t Z }}$ (upper right), and $c^{3}_{\mathrm{ \varphi Q }}$ and $c^{-}_{\mathrm{ \varphi Q}}$ (lower left). The scan is performed while marginalizing the other six WCs. |
|
png pdf |
Figure 7-a:
Likelihood scans as a function of $c_{\mathrm{ \varphi t}}$ and $c^{-}_{\mathrm{ \varphi Q}}$ (upper left), $c_{\mathrm{ t W }}$ and $c_{\mathrm{ t Z }}$ (upper right), and $c^{3}_{\mathrm{ \varphi Q }}$ and $c^{-}_{\mathrm{ \varphi Q}}$ (lower left). The scan is performed while marginalizing the other six WCs. |
|
png pdf |
Figure 7-b:
Likelihood scans as a function of $c_{\mathrm{ \varphi t}}$ and $c^{-}_{\mathrm{ \varphi Q}}$ (upper left), $c_{\mathrm{ t W }}$ and $c_{\mathrm{ t Z }}$ (upper right), and $c^{3}_{\mathrm{ \varphi Q }}$ and $c^{-}_{\mathrm{ \varphi Q}}$ (lower left). The scan is performed while marginalizing the other six WCs. |
|
png pdf |
Figure 7-c:
Likelihood scans as a function of $c_{\mathrm{ \varphi t}}$ and $c^{-}_{\mathrm{ \varphi Q}}$ (upper left), $c_{\mathrm{ t W }}$ and $c_{\mathrm{ t Z }}$ (upper right), and $c^{3}_{\mathrm{ \varphi Q }}$ and $c^{-}_{\mathrm{ \varphi Q}}$ (lower left). The scan is performed while marginalizing the other six WCs. |
|
png pdf |
Figure 7-d:
Likelihood scans as a function of $c_{\mathrm{ \varphi t}}$ and $c^{-}_{\mathrm{ \varphi Q}}$ (upper left), $c_{\mathrm{ t W }}$ and $c_{\mathrm{ t Z }}$ (upper right), and $c^{3}_{\mathrm{ \varphi Q }}$ and $c^{-}_{\mathrm{ \varphi Q}}$ (lower left). The scan is performed while marginalizing the other six WCs. |
| Tables | |
|
png pdf |
Table 1:
Summary of sources of systematic uncertainty and their correlation between the two analyses. See Refs. [] for more details. Sources that have ``partial'' correlation are composed of multiple finer-grained sources of systematic uncertainty, some of which are 100% correlated and some of which are uncorrelated. |
|
png pdf |
Table 2:
Comparison of the profiled results of this work with the CMS global EFT combination [none-none-none-none-none] for the quadratic case, where interference between BSM terms is included. The leading analysis is the input analysis in the global combination which has the largest contribution to each WC. |
| Summary |
| A statistical combination of two analyses involving top quarks is presented: one with a boosted boson [10], and the other with two or more electrons or muons in the final state [11]. Both are top quark studies that constrain the Wilson coefficients of the ``dim6top'' realization of the standard model effective field theory [17]. After determining that the statistical overlap between the two analyses is negligible and assigning correlations to the systematic uncertainties, constraints are established on the eight Wilson coefficients that were considered by both of the input analyses. The combination is up to 10% more sensitive than either analysis alone, depending on the Wilson coefficient under consideration. |
| Additional Figures | |
|
png pdf |
Additional Figure 1:
Likelihood scans as a function of $c_{\mathrm{t \varphi}}$ and $c_{\mathrm{ \varphi t}}$, $c_{\mathrm{t \varphi}}$ and $c_{\mathrm{ b W }}$, $c_{\mathrm{t \varphi}}$ and $c_{\mathrm{ t W }}$, $c_{\mathrm{t \varphi}}$ and $c_{\mathrm{ t Z }}$, $c_{\mathrm{t \varphi}}$ and $c^{3}_{\mathrm{ \varphi Q }}$, $c_{\mathrm{t \varphi}}$ and $c^{-}_{\mathrm{ \varphi Q}}$, $c_{\mathrm{t \varphi}}$ and $c_{\mathrm{ \varphi t b }}$. The scan is performed with the other six WCs fixed to the SM. |
|
png pdf |
Additional Figure 1-a:
Likelihood scans as a function of $c_{\mathrm{t \varphi}}$ and $c_{\mathrm{ \varphi t}}$, $c_{\mathrm{t \varphi}}$ and $c_{\mathrm{ b W }}$, $c_{\mathrm{t \varphi}}$ and $c_{\mathrm{ t W }}$, $c_{\mathrm{t \varphi}}$ and $c_{\mathrm{ t Z }}$, $c_{\mathrm{t \varphi}}$ and $c^{3}_{\mathrm{ \varphi Q }}$, $c_{\mathrm{t \varphi}}$ and $c^{-}_{\mathrm{ \varphi Q}}$, $c_{\mathrm{t \varphi}}$ and $c_{\mathrm{ \varphi t b }}$. The scan is performed with the other six WCs fixed to the SM. |
|
png pdf |
Additional Figure 1-b:
Likelihood scans as a function of $c_{\mathrm{t \varphi}}$ and $c_{\mathrm{ \varphi t}}$, $c_{\mathrm{t \varphi}}$ and $c_{\mathrm{ b W }}$, $c_{\mathrm{t \varphi}}$ and $c_{\mathrm{ t W }}$, $c_{\mathrm{t \varphi}}$ and $c_{\mathrm{ t Z }}$, $c_{\mathrm{t \varphi}}$ and $c^{3}_{\mathrm{ \varphi Q }}$, $c_{\mathrm{t \varphi}}$ and $c^{-}_{\mathrm{ \varphi Q}}$, $c_{\mathrm{t \varphi}}$ and $c_{\mathrm{ \varphi t b }}$. The scan is performed with the other six WCs fixed to the SM. |
|
png pdf |
Additional Figure 1-c:
Likelihood scans as a function of $c_{\mathrm{t \varphi}}$ and $c_{\mathrm{ \varphi t}}$, $c_{\mathrm{t \varphi}}$ and $c_{\mathrm{ b W }}$, $c_{\mathrm{t \varphi}}$ and $c_{\mathrm{ t W }}$, $c_{\mathrm{t \varphi}}$ and $c_{\mathrm{ t Z }}$, $c_{\mathrm{t \varphi}}$ and $c^{3}_{\mathrm{ \varphi Q }}$, $c_{\mathrm{t \varphi}}$ and $c^{-}_{\mathrm{ \varphi Q}}$, $c_{\mathrm{t \varphi}}$ and $c_{\mathrm{ \varphi t b }}$. The scan is performed with the other six WCs fixed to the SM. |
|
png pdf |
Additional Figure 1-d:
Likelihood scans as a function of $c_{\mathrm{t \varphi}}$ and $c_{\mathrm{ \varphi t}}$, $c_{\mathrm{t \varphi}}$ and $c_{\mathrm{ b W }}$, $c_{\mathrm{t \varphi}}$ and $c_{\mathrm{ t W }}$, $c_{\mathrm{t \varphi}}$ and $c_{\mathrm{ t Z }}$, $c_{\mathrm{t \varphi}}$ and $c^{3}_{\mathrm{ \varphi Q }}$, $c_{\mathrm{t \varphi}}$ and $c^{-}_{\mathrm{ \varphi Q}}$, $c_{\mathrm{t \varphi}}$ and $c_{\mathrm{ \varphi t b }}$. The scan is performed with the other six WCs fixed to the SM. |
|
png pdf |
Additional Figure 1-e:
Likelihood scans as a function of $c_{\mathrm{t \varphi}}$ and $c_{\mathrm{ \varphi t}}$, $c_{\mathrm{t \varphi}}$ and $c_{\mathrm{ b W }}$, $c_{\mathrm{t \varphi}}$ and $c_{\mathrm{ t W }}$, $c_{\mathrm{t \varphi}}$ and $c_{\mathrm{ t Z }}$, $c_{\mathrm{t \varphi}}$ and $c^{3}_{\mathrm{ \varphi Q }}$, $c_{\mathrm{t \varphi}}$ and $c^{-}_{\mathrm{ \varphi Q}}$, $c_{\mathrm{t \varphi}}$ and $c_{\mathrm{ \varphi t b }}$. The scan is performed with the other six WCs fixed to the SM. |
|
png pdf |
Additional Figure 1-f:
Likelihood scans as a function of $c_{\mathrm{t \varphi}}$ and $c_{\mathrm{ \varphi t}}$, $c_{\mathrm{t \varphi}}$ and $c_{\mathrm{ b W }}$, $c_{\mathrm{t \varphi}}$ and $c_{\mathrm{ t W }}$, $c_{\mathrm{t \varphi}}$ and $c_{\mathrm{ t Z }}$, $c_{\mathrm{t \varphi}}$ and $c^{3}_{\mathrm{ \varphi Q }}$, $c_{\mathrm{t \varphi}}$ and $c^{-}_{\mathrm{ \varphi Q}}$, $c_{\mathrm{t \varphi}}$ and $c_{\mathrm{ \varphi t b }}$. The scan is performed with the other six WCs fixed to the SM. |
|
png pdf |
Additional Figure 1-g:
Likelihood scans as a function of $c_{\mathrm{t \varphi}}$ and $c_{\mathrm{ \varphi t}}$, $c_{\mathrm{t \varphi}}$ and $c_{\mathrm{ b W }}$, $c_{\mathrm{t \varphi}}$ and $c_{\mathrm{ t W }}$, $c_{\mathrm{t \varphi}}$ and $c_{\mathrm{ t Z }}$, $c_{\mathrm{t \varphi}}$ and $c^{3}_{\mathrm{ \varphi Q }}$, $c_{\mathrm{t \varphi}}$ and $c^{-}_{\mathrm{ \varphi Q}}$, $c_{\mathrm{t \varphi}}$ and $c_{\mathrm{ \varphi t b }}$. The scan is performed with the other six WCs fixed to the SM. |
|
png pdf |
Additional Figure 1-h:
Likelihood scans as a function of $c_{\mathrm{t \varphi}}$ and $c_{\mathrm{ \varphi t}}$, $c_{\mathrm{t \varphi}}$ and $c_{\mathrm{ b W }}$, $c_{\mathrm{t \varphi}}$ and $c_{\mathrm{ t W }}$, $c_{\mathrm{t \varphi}}$ and $c_{\mathrm{ t Z }}$, $c_{\mathrm{t \varphi}}$ and $c^{3}_{\mathrm{ \varphi Q }}$, $c_{\mathrm{t \varphi}}$ and $c^{-}_{\mathrm{ \varphi Q}}$, $c_{\mathrm{t \varphi}}$ and $c_{\mathrm{ \varphi t b }}$. The scan is performed with the other six WCs fixed to the SM. |
|
png pdf |
Additional Figure 2:
Likelihood scans as a function of $c_{\mathrm{t \varphi}}$ and $c_{\mathrm{ \varphi t}}$, $c_{\mathrm{t \varphi}}$ and $c_{\mathrm{ b W }}$, $c_{\mathrm{t \varphi}}$ and $c_{\mathrm{ t W }}$, $c_{\mathrm{t \varphi}}$ and $c_{\mathrm{ t Z }}$, $c_{\mathrm{t \varphi}}$ and $c^{3}_{\mathrm{ \varphi Q }}$, $c_{\mathrm{t \varphi}}$ and $c^{-}_{\mathrm{ \varphi Q}}$, $c_{\mathrm{t \varphi}}$ and $c_{\mathrm{ \varphi t b }}$. The scan is performed while marginalizing the other six WCs. |
|
png pdf |
Additional Figure 2-a:
Likelihood scans as a function of $c_{\mathrm{t \varphi}}$ and $c_{\mathrm{ \varphi t}}$, $c_{\mathrm{t \varphi}}$ and $c_{\mathrm{ b W }}$, $c_{\mathrm{t \varphi}}$ and $c_{\mathrm{ t W }}$, $c_{\mathrm{t \varphi}}$ and $c_{\mathrm{ t Z }}$, $c_{\mathrm{t \varphi}}$ and $c^{3}_{\mathrm{ \varphi Q }}$, $c_{\mathrm{t \varphi}}$ and $c^{-}_{\mathrm{ \varphi Q}}$, $c_{\mathrm{t \varphi}}$ and $c_{\mathrm{ \varphi t b }}$. The scan is performed while marginalizing the other six WCs. |
|
png pdf |
Additional Figure 2-b:
Likelihood scans as a function of $c_{\mathrm{t \varphi}}$ and $c_{\mathrm{ \varphi t}}$, $c_{\mathrm{t \varphi}}$ and $c_{\mathrm{ b W }}$, $c_{\mathrm{t \varphi}}$ and $c_{\mathrm{ t W }}$, $c_{\mathrm{t \varphi}}$ and $c_{\mathrm{ t Z }}$, $c_{\mathrm{t \varphi}}$ and $c^{3}_{\mathrm{ \varphi Q }}$, $c_{\mathrm{t \varphi}}$ and $c^{-}_{\mathrm{ \varphi Q}}$, $c_{\mathrm{t \varphi}}$ and $c_{\mathrm{ \varphi t b }}$. The scan is performed while marginalizing the other six WCs. |
|
png pdf |
Additional Figure 2-c:
Likelihood scans as a function of $c_{\mathrm{t \varphi}}$ and $c_{\mathrm{ \varphi t}}$, $c_{\mathrm{t \varphi}}$ and $c_{\mathrm{ b W }}$, $c_{\mathrm{t \varphi}}$ and $c_{\mathrm{ t W }}$, $c_{\mathrm{t \varphi}}$ and $c_{\mathrm{ t Z }}$, $c_{\mathrm{t \varphi}}$ and $c^{3}_{\mathrm{ \varphi Q }}$, $c_{\mathrm{t \varphi}}$ and $c^{-}_{\mathrm{ \varphi Q}}$, $c_{\mathrm{t \varphi}}$ and $c_{\mathrm{ \varphi t b }}$. The scan is performed while marginalizing the other six WCs. |
|
png pdf |
Additional Figure 2-d:
Likelihood scans as a function of $c_{\mathrm{t \varphi}}$ and $c_{\mathrm{ \varphi t}}$, $c_{\mathrm{t \varphi}}$ and $c_{\mathrm{ b W }}$, $c_{\mathrm{t \varphi}}$ and $c_{\mathrm{ t W }}$, $c_{\mathrm{t \varphi}}$ and $c_{\mathrm{ t Z }}$, $c_{\mathrm{t \varphi}}$ and $c^{3}_{\mathrm{ \varphi Q }}$, $c_{\mathrm{t \varphi}}$ and $c^{-}_{\mathrm{ \varphi Q}}$, $c_{\mathrm{t \varphi}}$ and $c_{\mathrm{ \varphi t b }}$. The scan is performed while marginalizing the other six WCs. |
|
png pdf |
Additional Figure 2-e:
Likelihood scans as a function of $c_{\mathrm{t \varphi}}$ and $c_{\mathrm{ \varphi t}}$, $c_{\mathrm{t \varphi}}$ and $c_{\mathrm{ b W }}$, $c_{\mathrm{t \varphi}}$ and $c_{\mathrm{ t W }}$, $c_{\mathrm{t \varphi}}$ and $c_{\mathrm{ t Z }}$, $c_{\mathrm{t \varphi}}$ and $c^{3}_{\mathrm{ \varphi Q }}$, $c_{\mathrm{t \varphi}}$ and $c^{-}_{\mathrm{ \varphi Q}}$, $c_{\mathrm{t \varphi}}$ and $c_{\mathrm{ \varphi t b }}$. The scan is performed while marginalizing the other six WCs. |
|
png pdf |
Additional Figure 2-f:
Likelihood scans as a function of $c_{\mathrm{t \varphi}}$ and $c_{\mathrm{ \varphi t}}$, $c_{\mathrm{t \varphi}}$ and $c_{\mathrm{ b W }}$, $c_{\mathrm{t \varphi}}$ and $c_{\mathrm{ t W }}$, $c_{\mathrm{t \varphi}}$ and $c_{\mathrm{ t Z }}$, $c_{\mathrm{t \varphi}}$ and $c^{3}_{\mathrm{ \varphi Q }}$, $c_{\mathrm{t \varphi}}$ and $c^{-}_{\mathrm{ \varphi Q}}$, $c_{\mathrm{t \varphi}}$ and $c_{\mathrm{ \varphi t b }}$. The scan is performed while marginalizing the other six WCs. |
|
png pdf |
Additional Figure 2-g:
Likelihood scans as a function of $c_{\mathrm{t \varphi}}$ and $c_{\mathrm{ \varphi t}}$, $c_{\mathrm{t \varphi}}$ and $c_{\mathrm{ b W }}$, $c_{\mathrm{t \varphi}}$ and $c_{\mathrm{ t W }}$, $c_{\mathrm{t \varphi}}$ and $c_{\mathrm{ t Z }}$, $c_{\mathrm{t \varphi}}$ and $c^{3}_{\mathrm{ \varphi Q }}$, $c_{\mathrm{t \varphi}}$ and $c^{-}_{\mathrm{ \varphi Q}}$, $c_{\mathrm{t \varphi}}$ and $c_{\mathrm{ \varphi t b }}$. The scan is performed while marginalizing the other six WCs. |
|
png pdf |
Additional Figure 2-h:
Likelihood scans as a function of $c_{\mathrm{t \varphi}}$ and $c_{\mathrm{ \varphi t}}$, $c_{\mathrm{t \varphi}}$ and $c_{\mathrm{ b W }}$, $c_{\mathrm{t \varphi}}$ and $c_{\mathrm{ t W }}$, $c_{\mathrm{t \varphi}}$ and $c_{\mathrm{ t Z }}$, $c_{\mathrm{t \varphi}}$ and $c^{3}_{\mathrm{ \varphi Q }}$, $c_{\mathrm{t \varphi}}$ and $c^{-}_{\mathrm{ \varphi Q}}$, $c_{\mathrm{t \varphi}}$ and $c_{\mathrm{ \varphi t b }}$. The scan is performed while marginalizing the other six WCs. |
|
png pdf |
Additional Figure 3:
Likelihood scans as a function of $c_{\mathrm{ \varphi t}}$ and $c_{\mathrm{ b W }}$, $c_{\mathrm{ \varphi t}}$ and $c_{\mathrm{ t W }}$, $c_{\mathrm{ \varphi t}}$ and $c_{\mathrm{ t Z }}$, $c_{\mathrm{ \varphi t}}$ and $c^{3}_{\mathrm{ \varphi Q }}$, $c_{\mathrm{ \varphi t}}$ and $c_{\mathrm{ \varphi t b }}$. The scan is performed with the other six WCs fixed to the SM. |
|
png pdf |
Additional Figure 3-a:
Likelihood scans as a function of $c_{\mathrm{ \varphi t}}$ and $c_{\mathrm{ b W }}$, $c_{\mathrm{ \varphi t}}$ and $c_{\mathrm{ t W }}$, $c_{\mathrm{ \varphi t}}$ and $c_{\mathrm{ t Z }}$, $c_{\mathrm{ \varphi t}}$ and $c^{3}_{\mathrm{ \varphi Q }}$, $c_{\mathrm{ \varphi t}}$ and $c_{\mathrm{ \varphi t b }}$. The scan is performed with the other six WCs fixed to the SM. |
|
png pdf |
Additional Figure 3-b:
Likelihood scans as a function of $c_{\mathrm{ \varphi t}}$ and $c_{\mathrm{ b W }}$, $c_{\mathrm{ \varphi t}}$ and $c_{\mathrm{ t W }}$, $c_{\mathrm{ \varphi t}}$ and $c_{\mathrm{ t Z }}$, $c_{\mathrm{ \varphi t}}$ and $c^{3}_{\mathrm{ \varphi Q }}$, $c_{\mathrm{ \varphi t}}$ and $c_{\mathrm{ \varphi t b }}$. The scan is performed with the other six WCs fixed to the SM. |
|
png pdf |
Additional Figure 3-c:
Likelihood scans as a function of $c_{\mathrm{ \varphi t}}$ and $c_{\mathrm{ b W }}$, $c_{\mathrm{ \varphi t}}$ and $c_{\mathrm{ t W }}$, $c_{\mathrm{ \varphi t}}$ and $c_{\mathrm{ t Z }}$, $c_{\mathrm{ \varphi t}}$ and $c^{3}_{\mathrm{ \varphi Q }}$, $c_{\mathrm{ \varphi t}}$ and $c_{\mathrm{ \varphi t b }}$. The scan is performed with the other six WCs fixed to the SM. |
|
png pdf |
Additional Figure 3-d:
Likelihood scans as a function of $c_{\mathrm{ \varphi t}}$ and $c_{\mathrm{ b W }}$, $c_{\mathrm{ \varphi t}}$ and $c_{\mathrm{ t W }}$, $c_{\mathrm{ \varphi t}}$ and $c_{\mathrm{ t Z }}$, $c_{\mathrm{ \varphi t}}$ and $c^{3}_{\mathrm{ \varphi Q }}$, $c_{\mathrm{ \varphi t}}$ and $c_{\mathrm{ \varphi t b }}$. The scan is performed with the other six WCs fixed to the SM. |
|
png pdf |
Additional Figure 3-e:
Likelihood scans as a function of $c_{\mathrm{ \varphi t}}$ and $c_{\mathrm{ b W }}$, $c_{\mathrm{ \varphi t}}$ and $c_{\mathrm{ t W }}$, $c_{\mathrm{ \varphi t}}$ and $c_{\mathrm{ t Z }}$, $c_{\mathrm{ \varphi t}}$ and $c^{3}_{\mathrm{ \varphi Q }}$, $c_{\mathrm{ \varphi t}}$ and $c_{\mathrm{ \varphi t b }}$. The scan is performed with the other six WCs fixed to the SM. |
|
png pdf |
Additional Figure 3-f:
Likelihood scans as a function of $c_{\mathrm{ \varphi t}}$ and $c_{\mathrm{ b W }}$, $c_{\mathrm{ \varphi t}}$ and $c_{\mathrm{ t W }}$, $c_{\mathrm{ \varphi t}}$ and $c_{\mathrm{ t Z }}$, $c_{\mathrm{ \varphi t}}$ and $c^{3}_{\mathrm{ \varphi Q }}$, $c_{\mathrm{ \varphi t}}$ and $c_{\mathrm{ \varphi t b }}$. The scan is performed with the other six WCs fixed to the SM. |
|
png pdf |
Additional Figure 4:
Likelihood scans as a function of $c_{\mathrm{ \varphi t}}$ and $c_{\mathrm{ b W }}$, $c_{\mathrm{ \varphi t}}$ and $c_{\mathrm{ t W }}$, $c_{\mathrm{ \varphi t}}$ and $c_{\mathrm{ t Z }}$, $c_{\mathrm{ \varphi t}}$ and $c^{3}_{\mathrm{ \varphi Q }}$, $c_{\mathrm{ \varphi t}}$ and $c_{\mathrm{ \varphi t b }}$. The scan is performed while marginalizing the other six WCs. |
|
png pdf |
Additional Figure 4-a:
Likelihood scans as a function of $c_{\mathrm{ \varphi t}}$ and $c_{\mathrm{ b W }}$, $c_{\mathrm{ \varphi t}}$ and $c_{\mathrm{ t W }}$, $c_{\mathrm{ \varphi t}}$ and $c_{\mathrm{ t Z }}$, $c_{\mathrm{ \varphi t}}$ and $c^{3}_{\mathrm{ \varphi Q }}$, $c_{\mathrm{ \varphi t}}$ and $c_{\mathrm{ \varphi t b }}$. The scan is performed while marginalizing the other six WCs. |
|
png pdf |
Additional Figure 4-b:
Likelihood scans as a function of $c_{\mathrm{ \varphi t}}$ and $c_{\mathrm{ b W }}$, $c_{\mathrm{ \varphi t}}$ and $c_{\mathrm{ t W }}$, $c_{\mathrm{ \varphi t}}$ and $c_{\mathrm{ t Z }}$, $c_{\mathrm{ \varphi t}}$ and $c^{3}_{\mathrm{ \varphi Q }}$, $c_{\mathrm{ \varphi t}}$ and $c_{\mathrm{ \varphi t b }}$. The scan is performed while marginalizing the other six WCs. |
|
png pdf |
Additional Figure 4-c:
Likelihood scans as a function of $c_{\mathrm{ \varphi t}}$ and $c_{\mathrm{ b W }}$, $c_{\mathrm{ \varphi t}}$ and $c_{\mathrm{ t W }}$, $c_{\mathrm{ \varphi t}}$ and $c_{\mathrm{ t Z }}$, $c_{\mathrm{ \varphi t}}$ and $c^{3}_{\mathrm{ \varphi Q }}$, $c_{\mathrm{ \varphi t}}$ and $c_{\mathrm{ \varphi t b }}$. The scan is performed while marginalizing the other six WCs. |
|
png pdf |
Additional Figure 4-d:
Likelihood scans as a function of $c_{\mathrm{ \varphi t}}$ and $c_{\mathrm{ b W }}$, $c_{\mathrm{ \varphi t}}$ and $c_{\mathrm{ t W }}$, $c_{\mathrm{ \varphi t}}$ and $c_{\mathrm{ t Z }}$, $c_{\mathrm{ \varphi t}}$ and $c^{3}_{\mathrm{ \varphi Q }}$, $c_{\mathrm{ \varphi t}}$ and $c_{\mathrm{ \varphi t b }}$. The scan is performed while marginalizing the other six WCs. |
|
png pdf |
Additional Figure 4-e:
Likelihood scans as a function of $c_{\mathrm{ \varphi t}}$ and $c_{\mathrm{ b W }}$, $c_{\mathrm{ \varphi t}}$ and $c_{\mathrm{ t W }}$, $c_{\mathrm{ \varphi t}}$ and $c_{\mathrm{ t Z }}$, $c_{\mathrm{ \varphi t}}$ and $c^{3}_{\mathrm{ \varphi Q }}$, $c_{\mathrm{ \varphi t}}$ and $c_{\mathrm{ \varphi t b }}$. The scan is performed while marginalizing the other six WCs. |
|
png pdf |
Additional Figure 4-f:
Likelihood scans as a function of $c_{\mathrm{ \varphi t}}$ and $c_{\mathrm{ b W }}$, $c_{\mathrm{ \varphi t}}$ and $c_{\mathrm{ t W }}$, $c_{\mathrm{ \varphi t}}$ and $c_{\mathrm{ t Z }}$, $c_{\mathrm{ \varphi t}}$ and $c^{3}_{\mathrm{ \varphi Q }}$, $c_{\mathrm{ \varphi t}}$ and $c_{\mathrm{ \varphi t b }}$. The scan is performed while marginalizing the other six WCs. |
|
png pdf |
Additional Figure 5:
Likelihood scans as a function of $c_{\mathrm{ b W }}$ and $c_{\mathrm{ t W }}$, $c_{\mathrm{ b W }}$ and $c_{\mathrm{ t Z }}$, $c_{\mathrm{ b W }}$ and $c^{3}_{\mathrm{ \varphi Q }}$, $c_{\mathrm{ b W }}$ and $c^{-}_{\mathrm{ \varphi Q}}$, $c_{\mathrm{ b W }}$ and $c_{\mathrm{ \varphi t b }}$. The scan is performed with the other six WCs fixed to the SM. |
|
png pdf |
Additional Figure 5-a:
Likelihood scans as a function of $c_{\mathrm{ b W }}$ and $c_{\mathrm{ t W }}$, $c_{\mathrm{ b W }}$ and $c_{\mathrm{ t Z }}$, $c_{\mathrm{ b W }}$ and $c^{3}_{\mathrm{ \varphi Q }}$, $c_{\mathrm{ b W }}$ and $c^{-}_{\mathrm{ \varphi Q}}$, $c_{\mathrm{ b W }}$ and $c_{\mathrm{ \varphi t b }}$. The scan is performed with the other six WCs fixed to the SM. |
|
png pdf |
Additional Figure 5-b:
Likelihood scans as a function of $c_{\mathrm{ b W }}$ and $c_{\mathrm{ t W }}$, $c_{\mathrm{ b W }}$ and $c_{\mathrm{ t Z }}$, $c_{\mathrm{ b W }}$ and $c^{3}_{\mathrm{ \varphi Q }}$, $c_{\mathrm{ b W }}$ and $c^{-}_{\mathrm{ \varphi Q}}$, $c_{\mathrm{ b W }}$ and $c_{\mathrm{ \varphi t b }}$. The scan is performed with the other six WCs fixed to the SM. |
|
png pdf |
Additional Figure 5-c:
Likelihood scans as a function of $c_{\mathrm{ b W }}$ and $c_{\mathrm{ t W }}$, $c_{\mathrm{ b W }}$ and $c_{\mathrm{ t Z }}$, $c_{\mathrm{ b W }}$ and $c^{3}_{\mathrm{ \varphi Q }}$, $c_{\mathrm{ b W }}$ and $c^{-}_{\mathrm{ \varphi Q}}$, $c_{\mathrm{ b W }}$ and $c_{\mathrm{ \varphi t b }}$. The scan is performed with the other six WCs fixed to the SM. |
|
png pdf |
Additional Figure 5-d:
Likelihood scans as a function of $c_{\mathrm{ b W }}$ and $c_{\mathrm{ t W }}$, $c_{\mathrm{ b W }}$ and $c_{\mathrm{ t Z }}$, $c_{\mathrm{ b W }}$ and $c^{3}_{\mathrm{ \varphi Q }}$, $c_{\mathrm{ b W }}$ and $c^{-}_{\mathrm{ \varphi Q}}$, $c_{\mathrm{ b W }}$ and $c_{\mathrm{ \varphi t b }}$. The scan is performed with the other six WCs fixed to the SM. |
|
png pdf |
Additional Figure 5-e:
Likelihood scans as a function of $c_{\mathrm{ b W }}$ and $c_{\mathrm{ t W }}$, $c_{\mathrm{ b W }}$ and $c_{\mathrm{ t Z }}$, $c_{\mathrm{ b W }}$ and $c^{3}_{\mathrm{ \varphi Q }}$, $c_{\mathrm{ b W }}$ and $c^{-}_{\mathrm{ \varphi Q}}$, $c_{\mathrm{ b W }}$ and $c_{\mathrm{ \varphi t b }}$. The scan is performed with the other six WCs fixed to the SM. |
|
png pdf |
Additional Figure 5-f:
Likelihood scans as a function of $c_{\mathrm{ b W }}$ and $c_{\mathrm{ t W }}$, $c_{\mathrm{ b W }}$ and $c_{\mathrm{ t Z }}$, $c_{\mathrm{ b W }}$ and $c^{3}_{\mathrm{ \varphi Q }}$, $c_{\mathrm{ b W }}$ and $c^{-}_{\mathrm{ \varphi Q}}$, $c_{\mathrm{ b W }}$ and $c_{\mathrm{ \varphi t b }}$. The scan is performed with the other six WCs fixed to the SM. |
|
png pdf |
Additional Figure 6:
Likelihood scans as a function of $c_{\mathrm{ b W }}$ and $c_{\mathrm{ t W }}$, $c_{\mathrm{ b W }}$ and $c_{\mathrm{ t Z }}$, $c_{\mathrm{ b W }}$ and $c^{3}_{\mathrm{ \varphi Q }}$, $c_{\mathrm{ b W }}$ and $c^{-}_{\mathrm{ \varphi Q}}$, $c_{\mathrm{ b W }}$ and $c_{\mathrm{ \varphi t b }}$. The scan is performed while marginalizing the other six WCs. |
|
png pdf |
Additional Figure 6-a:
Likelihood scans as a function of $c_{\mathrm{ b W }}$ and $c_{\mathrm{ t W }}$, $c_{\mathrm{ b W }}$ and $c_{\mathrm{ t Z }}$, $c_{\mathrm{ b W }}$ and $c^{3}_{\mathrm{ \varphi Q }}$, $c_{\mathrm{ b W }}$ and $c^{-}_{\mathrm{ \varphi Q}}$, $c_{\mathrm{ b W }}$ and $c_{\mathrm{ \varphi t b }}$. The scan is performed while marginalizing the other six WCs. |
|
png pdf |
Additional Figure 6-b:
Likelihood scans as a function of $c_{\mathrm{ b W }}$ and $c_{\mathrm{ t W }}$, $c_{\mathrm{ b W }}$ and $c_{\mathrm{ t Z }}$, $c_{\mathrm{ b W }}$ and $c^{3}_{\mathrm{ \varphi Q }}$, $c_{\mathrm{ b W }}$ and $c^{-}_{\mathrm{ \varphi Q}}$, $c_{\mathrm{ b W }}$ and $c_{\mathrm{ \varphi t b }}$. The scan is performed while marginalizing the other six WCs. |
|
png pdf |
Additional Figure 6-c:
Likelihood scans as a function of $c_{\mathrm{ b W }}$ and $c_{\mathrm{ t W }}$, $c_{\mathrm{ b W }}$ and $c_{\mathrm{ t Z }}$, $c_{\mathrm{ b W }}$ and $c^{3}_{\mathrm{ \varphi Q }}$, $c_{\mathrm{ b W }}$ and $c^{-}_{\mathrm{ \varphi Q}}$, $c_{\mathrm{ b W }}$ and $c_{\mathrm{ \varphi t b }}$. The scan is performed while marginalizing the other six WCs. |
|
png pdf |
Additional Figure 6-d:
Likelihood scans as a function of $c_{\mathrm{ b W }}$ and $c_{\mathrm{ t W }}$, $c_{\mathrm{ b W }}$ and $c_{\mathrm{ t Z }}$, $c_{\mathrm{ b W }}$ and $c^{3}_{\mathrm{ \varphi Q }}$, $c_{\mathrm{ b W }}$ and $c^{-}_{\mathrm{ \varphi Q}}$, $c_{\mathrm{ b W }}$ and $c_{\mathrm{ \varphi t b }}$. The scan is performed while marginalizing the other six WCs. |
|
png pdf |
Additional Figure 6-e:
Likelihood scans as a function of $c_{\mathrm{ b W }}$ and $c_{\mathrm{ t W }}$, $c_{\mathrm{ b W }}$ and $c_{\mathrm{ t Z }}$, $c_{\mathrm{ b W }}$ and $c^{3}_{\mathrm{ \varphi Q }}$, $c_{\mathrm{ b W }}$ and $c^{-}_{\mathrm{ \varphi Q}}$, $c_{\mathrm{ b W }}$ and $c_{\mathrm{ \varphi t b }}$. The scan is performed while marginalizing the other six WCs. |
|
png pdf |
Additional Figure 6-f:
Likelihood scans as a function of $c_{\mathrm{ b W }}$ and $c_{\mathrm{ t W }}$, $c_{\mathrm{ b W }}$ and $c_{\mathrm{ t Z }}$, $c_{\mathrm{ b W }}$ and $c^{3}_{\mathrm{ \varphi Q }}$, $c_{\mathrm{ b W }}$ and $c^{-}_{\mathrm{ \varphi Q}}$, $c_{\mathrm{ b W }}$ and $c_{\mathrm{ \varphi t b }}$. The scan is performed while marginalizing the other six WCs. |
|
png pdf |
Additional Figure 7:
Likelihood scans as a function of $c_{\mathrm{ t W }}$ and $c^{3}_{\mathrm{ \varphi Q }}$, $c_{\mathrm{ t W }}$ and $c^{-}_{\mathrm{ \varphi Q}}$, $c_{\mathrm{ t W }}$ and $c_{\mathrm{ \varphi t b }}$. The scan is performed with the other six WCs fixed to the SM. |
|
png pdf |
Additional Figure 7-a:
Likelihood scans as a function of $c_{\mathrm{ t W }}$ and $c^{3}_{\mathrm{ \varphi Q }}$, $c_{\mathrm{ t W }}$ and $c^{-}_{\mathrm{ \varphi Q}}$, $c_{\mathrm{ t W }}$ and $c_{\mathrm{ \varphi t b }}$. The scan is performed with the other six WCs fixed to the SM. |
|
png pdf |
Additional Figure 7-b:
Likelihood scans as a function of $c_{\mathrm{ t W }}$ and $c^{3}_{\mathrm{ \varphi Q }}$, $c_{\mathrm{ t W }}$ and $c^{-}_{\mathrm{ \varphi Q}}$, $c_{\mathrm{ t W }}$ and $c_{\mathrm{ \varphi t b }}$. The scan is performed with the other six WCs fixed to the SM. |
|
png pdf |
Additional Figure 7-c:
Likelihood scans as a function of $c_{\mathrm{ t W }}$ and $c^{3}_{\mathrm{ \varphi Q }}$, $c_{\mathrm{ t W }}$ and $c^{-}_{\mathrm{ \varphi Q}}$, $c_{\mathrm{ t W }}$ and $c_{\mathrm{ \varphi t b }}$. The scan is performed with the other six WCs fixed to the SM. |
|
png pdf |
Additional Figure 7-d:
Likelihood scans as a function of $c_{\mathrm{ t W }}$ and $c^{3}_{\mathrm{ \varphi Q }}$, $c_{\mathrm{ t W }}$ and $c^{-}_{\mathrm{ \varphi Q}}$, $c_{\mathrm{ t W }}$ and $c_{\mathrm{ \varphi t b }}$. The scan is performed with the other six WCs fixed to the SM. |
|
png pdf |
Additional Figure 8:
Likelihood scans as a function of $c_{\mathrm{ t W }}$ and $c^{3}_{\mathrm{ \varphi Q }}$, $c_{\mathrm{ t W }}$ and $c^{-}_{\mathrm{ \varphi Q}}$, $c_{\mathrm{ t W }}$ and $c_{\mathrm{ \varphi t b }}$. The scan is performed while marginalizing the other six WCs. |
|
png pdf |
Additional Figure 8-a:
Likelihood scans as a function of $c_{\mathrm{ t W }}$ and $c^{3}_{\mathrm{ \varphi Q }}$, $c_{\mathrm{ t W }}$ and $c^{-}_{\mathrm{ \varphi Q}}$, $c_{\mathrm{ t W }}$ and $c_{\mathrm{ \varphi t b }}$. The scan is performed while marginalizing the other six WCs. |
|
png pdf |
Additional Figure 8-b:
Likelihood scans as a function of $c_{\mathrm{ t W }}$ and $c^{3}_{\mathrm{ \varphi Q }}$, $c_{\mathrm{ t W }}$ and $c^{-}_{\mathrm{ \varphi Q}}$, $c_{\mathrm{ t W }}$ and $c_{\mathrm{ \varphi t b }}$. The scan is performed while marginalizing the other six WCs. |
|
png pdf |
Additional Figure 8-c:
Likelihood scans as a function of $c_{\mathrm{ t W }}$ and $c^{3}_{\mathrm{ \varphi Q }}$, $c_{\mathrm{ t W }}$ and $c^{-}_{\mathrm{ \varphi Q}}$, $c_{\mathrm{ t W }}$ and $c_{\mathrm{ \varphi t b }}$. The scan is performed while marginalizing the other six WCs. |
|
png pdf |
Additional Figure 8-d:
Likelihood scans as a function of $c_{\mathrm{ t W }}$ and $c^{3}_{\mathrm{ \varphi Q }}$, $c_{\mathrm{ t W }}$ and $c^{-}_{\mathrm{ \varphi Q}}$, $c_{\mathrm{ t W }}$ and $c_{\mathrm{ \varphi t b }}$. The scan is performed while marginalizing the other six WCs. |
|
png pdf |
Additional Figure 9:
Likelihood scans as a function of $c_{\mathrm{ t Z }}$ and $c^{3}_{\mathrm{ \varphi Q }}$, $c_{\mathrm{ t Z }}$ and $c^{-}_{\mathrm{ \varphi Q}}$, $c_{\mathrm{ t Z }}$ and $c_{\mathrm{ \varphi t b }}$. The scan is performed with the other six WCs fixed to the SM. |
|
png pdf |
Additional Figure 9-a:
Likelihood scans as a function of $c_{\mathrm{ t Z }}$ and $c^{3}_{\mathrm{ \varphi Q }}$, $c_{\mathrm{ t Z }}$ and $c^{-}_{\mathrm{ \varphi Q}}$, $c_{\mathrm{ t Z }}$ and $c_{\mathrm{ \varphi t b }}$. The scan is performed with the other six WCs fixed to the SM. |
|
png pdf |
Additional Figure 9-b:
Likelihood scans as a function of $c_{\mathrm{ t Z }}$ and $c^{3}_{\mathrm{ \varphi Q }}$, $c_{\mathrm{ t Z }}$ and $c^{-}_{\mathrm{ \varphi Q}}$, $c_{\mathrm{ t Z }}$ and $c_{\mathrm{ \varphi t b }}$. The scan is performed with the other six WCs fixed to the SM. |
|
png pdf |
Additional Figure 9-c:
Likelihood scans as a function of $c_{\mathrm{ t Z }}$ and $c^{3}_{\mathrm{ \varphi Q }}$, $c_{\mathrm{ t Z }}$ and $c^{-}_{\mathrm{ \varphi Q}}$, $c_{\mathrm{ t Z }}$ and $c_{\mathrm{ \varphi t b }}$. The scan is performed with the other six WCs fixed to the SM. |
|
png pdf |
Additional Figure 9-d:
Likelihood scans as a function of $c_{\mathrm{ t Z }}$ and $c^{3}_{\mathrm{ \varphi Q }}$, $c_{\mathrm{ t Z }}$ and $c^{-}_{\mathrm{ \varphi Q}}$, $c_{\mathrm{ t Z }}$ and $c_{\mathrm{ \varphi t b }}$. The scan is performed with the other six WCs fixed to the SM. |
|
png pdf |
Additional Figure 10:
Likelihood scans as a function of $c_{\mathrm{ t Z }}$ and $c^{3}_{\mathrm{ \varphi Q }}$, $c_{\mathrm{ t Z }}$ and $c^{-}_{\mathrm{ \varphi Q}}$, $c_{\mathrm{ t Z }}$ and $c_{\mathrm{ \varphi t b }}$. The scan is performed while marginalizing the other six WCs. |
|
png pdf |
Additional Figure 10-a:
Likelihood scans as a function of $c_{\mathrm{ t Z }}$ and $c^{3}_{\mathrm{ \varphi Q }}$, $c_{\mathrm{ t Z }}$ and $c^{-}_{\mathrm{ \varphi Q}}$, $c_{\mathrm{ t Z }}$ and $c_{\mathrm{ \varphi t b }}$. The scan is performed while marginalizing the other six WCs. |
|
png pdf |
Additional Figure 10-b:
Likelihood scans as a function of $c_{\mathrm{ t Z }}$ and $c^{3}_{\mathrm{ \varphi Q }}$, $c_{\mathrm{ t Z }}$ and $c^{-}_{\mathrm{ \varphi Q}}$, $c_{\mathrm{ t Z }}$ and $c_{\mathrm{ \varphi t b }}$. The scan is performed while marginalizing the other six WCs. |
|
png pdf |
Additional Figure 10-c:
Likelihood scans as a function of $c_{\mathrm{ t Z }}$ and $c^{3}_{\mathrm{ \varphi Q }}$, $c_{\mathrm{ t Z }}$ and $c^{-}_{\mathrm{ \varphi Q}}$, $c_{\mathrm{ t Z }}$ and $c_{\mathrm{ \varphi t b }}$. The scan is performed while marginalizing the other six WCs. |
|
png pdf |
Additional Figure 10-d:
Likelihood scans as a function of $c_{\mathrm{ t Z }}$ and $c^{3}_{\mathrm{ \varphi Q }}$, $c_{\mathrm{ t Z }}$ and $c^{-}_{\mathrm{ \varphi Q}}$, $c_{\mathrm{ t Z }}$ and $c_{\mathrm{ \varphi t b }}$. The scan is performed while marginalizing the other six WCs. |
|
png pdf |
Additional Figure 11:
Likelihood scans as a function of $c^{3}_{\mathrm{ \varphi Q }}$ and $c_{\mathrm{ \varphi t b }}$. The scan is performed with the other six WCs fixed to the SM. |
|
png pdf |
Additional Figure 11-a:
Likelihood scans as a function of $c^{3}_{\mathrm{ \varphi Q }}$ and $c_{\mathrm{ \varphi t b }}$. The scan is performed with the other six WCs fixed to the SM. |
|
png pdf |
Additional Figure 11-b:
Likelihood scans as a function of $c^{3}_{\mathrm{ \varphi Q }}$ and $c_{\mathrm{ \varphi t b }}$. The scan is performed with the other six WCs fixed to the SM. |
|
png pdf |
Additional Figure 12:
Likelihood scans as a function of $c^{3}_{\mathrm{ \varphi Q }}$ and $c_{\mathrm{ \varphi t b }}$. The scan is performed while marginalizing the other six WCs. |
|
png pdf |
Additional Figure 12-a:
Likelihood scans as a function of $c^{3}_{\mathrm{ \varphi Q }}$ and $c_{\mathrm{ \varphi t b }}$. The scan is performed while marginalizing the other six WCs. |
|
png pdf |
Additional Figure 12-b:
Likelihood scans as a function of $c^{3}_{\mathrm{ \varphi Q }}$ and $c_{\mathrm{ \varphi t b }}$. The scan is performed while marginalizing the other six WCs. |
|
png pdf |
Additional Figure 13:
Likelihood scans as a function of $c^{-}_{\mathrm{ \varphi Q}}$ and $c_{\mathrm{ \varphi t b }}$. The scan is performed with the other six WCs fixed to the SM. |
|
png pdf |
Additional Figure 13-a:
Likelihood scans as a function of $c^{-}_{\mathrm{ \varphi Q}}$ and $c_{\mathrm{ \varphi t b }}$. The scan is performed with the other six WCs fixed to the SM. |
|
png pdf |
Additional Figure 13-b:
Likelihood scans as a function of $c^{-}_{\mathrm{ \varphi Q}}$ and $c_{\mathrm{ \varphi t b }}$. The scan is performed with the other six WCs fixed to the SM. |
|
png pdf |
Additional Figure 14:
Likelihood scans as a function of $c^{-}_{\mathrm{ \varphi Q}}$ and $c_{\mathrm{ \varphi t b }}$. The scan is performed while marginalizing the other six WCs. |
|
png pdf |
Additional Figure 14-a:
Likelihood scans as a function of $c^{-}_{\mathrm{ \varphi Q}}$ and $c_{\mathrm{ \varphi t b }}$. The scan is performed while marginalizing the other six WCs. |
|
png pdf |
Additional Figure 14-b:
Likelihood scans as a function of $c^{-}_{\mathrm{ \varphi Q}}$ and $c_{\mathrm{ \varphi t b }}$. The scan is performed while marginalizing the other six WCs. |
| Additional Tables | |
|
png pdf |
Additional Table 1:
The $ q < $ 1 uncertainty intervals extracted from the likelihood fits. The intervals are shown for the case where the other Wilson coefficients (WCs) are profiled, and the case where the other WCs are fixed to their SM values of zero. |
|
png pdf |
Additional Table 2:
The $ q < $ 4 uncertainty intervals extracted from the likelihood fits. The intervals are shown for the case where the other Wilson coefficients (WCs) are profiled, and the case where the other WCs are fixed to their SM values of zero. |
| References | ||||
| 1 | CMS Collaboration | Searches for Higgs boson production through decays of heavy resonances | Phys. Rep. 1115 (2025) 368 | 2403.16926 |
| 2 | CMS Collaboration | Dark sector searches with the CMS experiment | Phys. Rep. 1115 (2025) 448 | CMS-EXO-23-005 2405.13778 |
| 3 | CMS Collaboration | Review of searches for vector-like quarks, vector-like leptons, and heavy neutral leptons in proton-proton collisions at $ \sqrt{s} = $ 13 TeV at the CMS experiment | Phys. Rep. 1115 (2025) 570 | CMS-EXO-23-006 2405.17605 |
| 4 | ATLAS Collaboration | The quest to discover supersymmetry at the ATLAS experiment | Accepted for publication in Phys. Rep, 2024 | 2403.02455 |
| 5 | ATLAS Collaboration | ATLAS searches for additional scalars and exotic Higgs boson decays with the LHC Run 2 dataset | Accepted for publication in Phys. Rep, 2024 | 2405.04914 |
| 6 | ATLAS Collaboration | Exploration at the high-energy frontier: ATLAS Run 2 searches investigating the exotic jungle beyond the standard model | Accepted for publication in Phys. Rep, 2024 | 2403.09292 |
| 7 | W. Buchm ΓΌ ller and D. Wyler | Effective Lagrangian analysis of new interactions and flavour conservation | NPB 268 (1986) 621 | |
| 8 | B. Grzadkowski, M. Iskrzy \' n ski, M. Misiak, and J. Rosiek | Dimension-six terms in the standard model Lagrangian | JHEP 10 (2010) 085 | 1008.4884 |
| 9 | A. Falkowski and R. Rattazzi | Which EFT | JHEP 10 (2019) 255 | 1902.05936 |
| 10 | CMS Collaboration | Search for new physics using effective field theory in 13 TeV pp collision events that contain a top quark pair and a boosted Z or Higgs boson | PRD 108 (2023) 032008 | CMS-TOP-21-003 2208.12837 |
| 11 | CMS Collaboration | Search for physics beyond the standard model in top quark production with additional leptons in the context of effective field theory | JHEP 12 (2023) 068 | CMS-TOP-22-006 2307.15761 |
| 12 | CMS Collaboration | The CMS trigger system | JINST 12 (2017) P01020 | CMS-TRG-12-001 1609.02366 |
| 13 | CMS Collaboration | Precision luminosity measurement in proton-proton collisions at $ \sqrt{s} = $ 13 TeV in 2015 and 2016 at CMS | EPJC 81 (2021) 800 | CMS-LUM-17-003 2104.01927 |
| 14 | CMS Collaboration | CMS luminosity measurement for the 2017 data-taking period at $ \sqrt{s} $ = 13 TeV | CMS Physics Analysis Summary, 2018 link |
CMS-PAS-LUM-17-004 |
| 15 | CMS Collaboration | CMS luminosity measurement for the 2018 data-taking period at $ \sqrt{s} $ = 13 TeV | CMS Physics Analysis Summary, 2019 link |
CMS-PAS-LUM-18-002 |
| 16 | J. Alwall et al. | The automated computation of tree-level and next-to-leading order differential cross sections, and their matching to parton shower simulations | JHEP 07 (2014) 079 | 1405.0301 |
| 17 | J. A. Aguilar-Saavedra et al. | Interpreting top-quark LHC measurements in the standard-model effective field theory | LHC TOP WG note CERN-LPCC-2018-01, 2018 | 1802.07237 |
| 18 | CMS Collaboration | Combined effective field theory interpretation of Higgs boson, electroweak vector boson, top quark, and multi-jet measurements | CMS Physics Analysis Summary , CERN, Geneva, 2024 CMS-PAS-SMP-24-003 |
CMS-PAS-SMP-24-003 |
| 19 | CMS Collaboration | Identification of heavy-flavour jets with the CMS detector in pp collisions at 13 TeV | JINST 13 (2018) P05011 | CMS-BTV-16-002 1712.07158 |
| 20 | M. Cacciari, G. P. Salam, and G. Soyez | The anti-$ k_t $ jet clustering algorithm | JHEP 04 (2008) 063 | 0802.1189 |
| 21 | M. Cacciari, G. P. Salam, and G. Soyez | FastJet user manual | EPJC 72 (2012) 1896 | 1111.6097 |
| 22 | NNPDF Collaboration | Parton distributions from high-precision collider data | EPJC 77 (2017) 663 | 1706.00428 |
| 23 | NNPDF Collaboration | Parton distributions for the LHC run II | JHEP 04 (2015) 040 | 1410.8849 |
| 24 | S. S. Wilks | The large-sample distribution of the likelihood ratio for testing composite hypotheses | Ann. Math. Stat. 9 (1938) 60 | |
| 25 | F. U. Bernlochner, D. C. Fry, S. B. Menary, and E. Persson | Cover your bases: asymptotic distributions of the profile likelihood ratio when constraining effective field theories in high-energy physics | SciPost Phys. Core 6 (2023) 013 | 2207.01350 |
| 26 | R. D. Cousins | Lectures on statistics in theory: Prelude to statistics in practice | 1807.05996 | |
| 27 | ALEPH, DELPHI, L3, OPAL, SLD, LEP Electroweak Working Group, SLD Electroweak Group, SLD Heavy Flavour Group Collaboration | Precision electroweak measurements on the $ Z $ resonance | Phys. Rept. 427 (2006) 257 | hep-ex/0509008 |
| 28 | T. Corbett, A. Helset, A. Martin, and M. Trott | EWPD in the SMEFT to dimension eight | JHEP 06 (2021) 076 | 2102.02819 |
| 29 | I. Brivio | SMEFTsim 3.0 \textemdash a practical guide | JHEP 04 (2021) 073 | 2012.11343 |
| 30 | CMS Collaboration | Measurements of Higgs boson production cross sections and couplings in the diphoton decay channel at $ \sqrt{s} = $ 13 TeV | JHEP 07 (2021) 027 | CMS-HIG-19-015 2103.06956 |
|
Compact Muon Solenoid LHC, CERN |
|
|
|
|
|
|