| CMS-PAS-EXO-24-033 | ||
| Search for long-lived particles using displaced vertices with low-momentum tracks and missing transverse momentum in proton-proton collisions at $ \sqrt{s}= $ 13 TeV | ||
| CMS Collaboration | ||
| 2025-07-01 | ||
| Abstract: A search for long-lived particles using final states including a displaced vertex with low-momentum tracks, significant missing transverse momentum, and a jet from initial state radiation is presented. The search uses the proton-proton collision data at a center-of-mass energy of 13 TeV collected by the CMS experiment at the CERN LHC in 2017 and 2018 with a total integrated luminosity of 100 fb$ ^{-1} $. This search adopts specific supersymmetric (SUSY) coannihilation scenarios as benchmark signal models, characterized by a next-to-lightest SUSY particle (NLSP) with a mass difference of less than 25 GeV relative to the lightest SUSY particle (LSP). In the top squark coannihilation model, the NLSP is a long-lived top squark, while the LSP is a bino-like neutralino. In the bino-wino coannihilation model, the NLSPs are long-lived wino-like neutralino and prompt wino-like chargino, and the LSP remains a bino-like neutralino. The search excludes top squarks with masses less than 400-1100 GeV and wino-like neutralinos with masses less than 220-550 GeV, depending on the signal parameters. It sets the most stringent limits to date for the top squark coannihilation and bino-wino coannihilation models. | ||
|
Links:
CDS record (PDF) ;
CADI line (restricted) ;
These preliminary results are superseded in this paper, Submitted to JHEP. |
||
| Figures | |
|
png pdf |
Figure 1:
Feynman diagrams for top squark coannihilation model (left) and bino-wino coannihilation model (right). The ISR jet is not shown in the diagrams. |
|
png pdf |
Figure 1-a:
Feynman diagrams for top squark coannihilation model (left) and bino-wino coannihilation model (right). The ISR jet is not shown in the diagrams. |
|
png pdf |
Figure 1-b:
Feynman diagrams for top squark coannihilation model (left) and bino-wino coannihilation model (right). The ISR jet is not shown in the diagrams. |
|
png pdf |
Figure 2:
LLP reconstruction efficiency as a function of the transverse displacement. Bino-wino coannihilation samples with LLP mass of 400 GeV, $ c\tau = $ 20 mm, and $ \Delta m = $ 25 (blue) and 12 (red) GeV are shown in the plot. Tuned (solid) and default (dashed) IVF are compared. |
|
png pdf |
Figure 3:
Diagram that shows key features of a displaced vertex. |
|
png pdf |
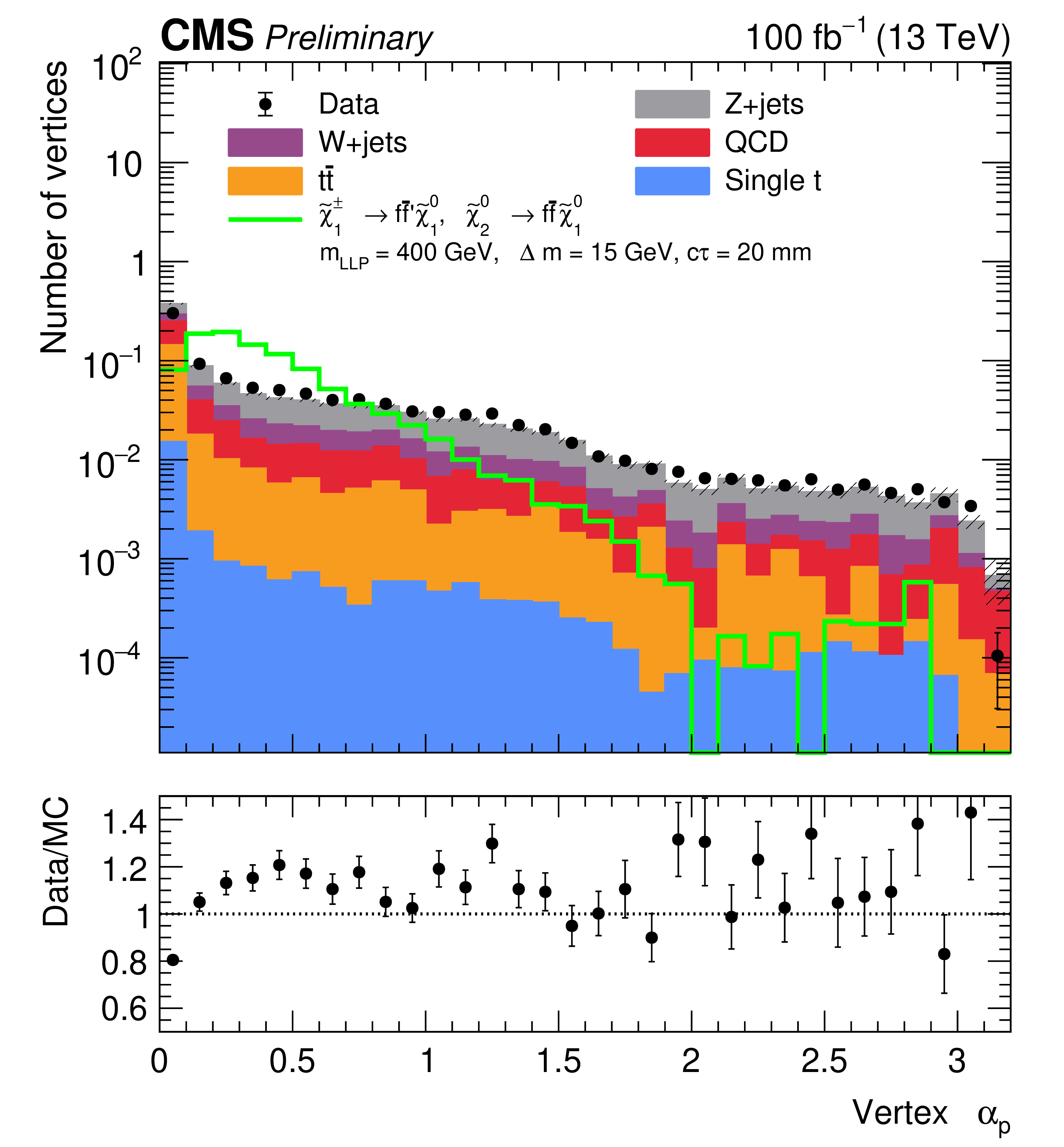
Figure 4:
The vertex $ \alpha_{\text{p}} $ distribution compared between data, simulation, and bino-wino coannihilation sample with LLP mass of 400 GeV, $ c\tau = $ 20 mm, and $ \Delta m = $ 15 GeV. All distributions are normalized to unity. The ratios between data and simulation are shown in the lower panel. |
|
png pdf |
Figure 5:
Material map for CMS tracker derived from data. |
|
png pdf |
Figure 6:
Definition of signal (orange) and control (blue) regions. Different planes are defined based on the number of good tracks in the vertex. In each plane, different regions are divided according to the $ p_{\mathrm{T}}^\text{miss} $ and $ S_{xy}^{\text{vtx}} $. The letters in the boxes correspond to the region labels described in the text, while the numbers in the boxes correspond to the plane definitions. |
|
png pdf |
Figure 7:
The $ \mathrm{K^0_S} $ decay candidate vertex $ L_{xy} $ distribution compared between data and simulation. The ratios between data and simulation are shown in the lower panel. |
|
png pdf |
Figure 8:
Observed 95% CL upper limits on the top squark production cross section, as a function of $ m_{\tilde{\mathrm{t}}} $ and $ \Delta m $, for $ \mathcal{B}(\tilde{\mathrm{t}} \to \mathrm{b} \mathrm{f}\mathrm{\overline{f}'} \tilde{\chi}_{1}^{0}) $ of 10% (upper left), 50% (upper right), and 100% (lower). The observed (solid black) and expected (dashed red) exclusion curves are overlaid on the plot. |
|
png pdf |
Figure 8-a:
Observed 95% CL upper limits on the top squark production cross section, as a function of $ m_{\tilde{\mathrm{t}}} $ and $ \Delta m $, for $ \mathcal{B}(\tilde{\mathrm{t}} \to \mathrm{b} \mathrm{f}\mathrm{\overline{f}'} \tilde{\chi}_{1}^{0}) $ of 10% (upper left), 50% (upper right), and 100% (lower). The observed (solid black) and expected (dashed red) exclusion curves are overlaid on the plot. |
|
png pdf |
Figure 8-b:
Observed 95% CL upper limits on the top squark production cross section, as a function of $ m_{\tilde{\mathrm{t}}} $ and $ \Delta m $, for $ \mathcal{B}(\tilde{\mathrm{t}} \to \mathrm{b} \mathrm{f}\mathrm{\overline{f}'} \tilde{\chi}_{1}^{0}) $ of 10% (upper left), 50% (upper right), and 100% (lower). The observed (solid black) and expected (dashed red) exclusion curves are overlaid on the plot. |
|
png pdf |
Figure 8-c:
Observed 95% CL upper limits on the top squark production cross section, as a function of $ m_{\tilde{\mathrm{t}}} $ and $ \Delta m $, for $ \mathcal{B}(\tilde{\mathrm{t}} \to \mathrm{b} \mathrm{f}\mathrm{\overline{f}'} \tilde{\chi}_{1}^{0}) $ of 10% (upper left), 50% (upper right), and 100% (lower). The observed (solid black) and expected (dashed red) exclusion curves are overlaid on the plot. |
|
png pdf |
Figure 9:
Observed 95% CL upper limits on the production cross section for the bino-wino coannihilation model, as a function of LLP mass and $ c\tau $, for $ \Delta m $ of 12 GeV (upper left), 15 GeV (upper right), 20 GeV (lower left), and 25 GeV (lower right). The observed (solid black) and expected (dashed red) exclusion curves are overlaid on the plot. |
|
png pdf |
Figure 9-a:
Observed 95% CL upper limits on the production cross section for the bino-wino coannihilation model, as a function of LLP mass and $ c\tau $, for $ \Delta m $ of 12 GeV (upper left), 15 GeV (upper right), 20 GeV (lower left), and 25 GeV (lower right). The observed (solid black) and expected (dashed red) exclusion curves are overlaid on the plot. |
|
png pdf |
Figure 9-b:
Observed 95% CL upper limits on the production cross section for the bino-wino coannihilation model, as a function of LLP mass and $ c\tau $, for $ \Delta m $ of 12 GeV (upper left), 15 GeV (upper right), 20 GeV (lower left), and 25 GeV (lower right). The observed (solid black) and expected (dashed red) exclusion curves are overlaid on the plot. |
|
png pdf |
Figure 9-c:
Observed 95% CL upper limits on the production cross section for the bino-wino coannihilation model, as a function of LLP mass and $ c\tau $, for $ \Delta m $ of 12 GeV (upper left), 15 GeV (upper right), 20 GeV (lower left), and 25 GeV (lower right). The observed (solid black) and expected (dashed red) exclusion curves are overlaid on the plot. |
|
png pdf |
Figure 9-d:
Observed 95% CL upper limits on the production cross section for the bino-wino coannihilation model, as a function of LLP mass and $ c\tau $, for $ \Delta m $ of 12 GeV (upper left), 15 GeV (upper right), 20 GeV (lower left), and 25 GeV (lower right). The observed (solid black) and expected (dashed red) exclusion curves are overlaid on the plot. |
| Tables | |
|
png pdf |
Table 1:
Summary of the systematic uncertainties. |
|
png pdf |
Table 2:
Event yield of data in the search planes. Predictions for control regions, including all regions in the control plane and Regions B and D in the loose signal plane, are not available because those regions are used to make predictions. In addition, the event yield of the top squark coannihilation sample with $ m_{\tilde{\mathrm{t}}}= $ 1000 GeV, $ \Delta m = $ 20 GeV, and $ \mathcal{B}(\tilde{\mathrm{t}} \to \mathrm{b} \mathrm{f}\mathrm{\overline{f}'} \tilde{\chi}_{1}^{0}) = $ 100% is shown in the row labeled as ``signal''. |
| Summary |
| This note presents a search for long-lived particles in signatures of low-momentum displaced vertices, missing transverse momentum, and an initial state radiation jet. Proton-proton collision data at a center-of-mass energy of 13 TeV collected by the CMS experiment at the CERN LHC, with a total integrated luminosity of 100 fb$ ^{-1} $, are used in the search. Compared with the previous CMS and ATLAS searches using displaced vertices, this search targets vertices with significantly lower momentum. This search adopts specific supersymmetric (SUSY) coannihilation scenarios as benchmark signal models, characterized by a long-lived next-to-lightest SUSY particle (NLSP) with a mass difference of less than 25 GeV relative to the lightest SUSY particle (LSP). In the top squark coannihilation model, the NLSP is a top squark, while the LSP is a bino-like neutralino. In the bino-wino coannihilation model, the NLSPs are long-lived wino-like neutralino and prompt wino-like chargino, and the LSP remains a bino-like neutralino. This search reconstructs displaced vertices using a customized reconstruction algorithm based on the adaptive vertex fitter [60]. In addition, the background estimation method using transfer factors allows targeting multiple search regions, thus enhancing the search sensitivity. The search shows good overall agreement between the background predictions and observed event yields across most search regions. The resulting $ p $-value is 0.5, indicating no significant deviation from the background expectation. It excludes top squark masses less than 400-1100 GeV and wino-like neutralinos with masses less than 220 -550 GeV, depending on signal parameters. This search is the first LHC search that targets displaced vertices and shows sensitivity for hadronically decaying long-lived particles with a mass difference of less than 25 GeV. It sets the most stringent upper limits to date for the top squark coannihilation and bino-wino coannihilation signal models. |
| References | ||||
| 1 | A. Delgado et al. | The light stop window | EPJC 73 (2013) 2370 | 1212.6847 |
| 2 | R. Gröber, M. M. Mühlleitner, E. Popenda, and A. Wlotzka | Light stop decays: Implications for LHC searches | EPJC 75 (2015) 420 | 1408.4662 |
| 3 | N. Nagata, H. Otono, and S. Shirai | Probing bino-wino coannihilation at the LHC | JHEP 10 (2015) 086 | 1506.08206 |
| 4 | G. F. Giudice and A. Romanino | Split supersymmetry | NPB 699 (2004) 65 | hep-ph/0406088 |
| 5 | J. L. Hewett, B. Lillie, M. Masip, and T. G. Rizzo | Signatures of long-lived gluinos in split supersymmetry | JHEP 09 (2004) 070 | hep-ph/0408248 |
| 6 | N. Arkani-Hamed, S. Dimopoulos, G. F. Giudice, and A. Romanino | Aspects of split supersymmetry | NPB 709 (2005) 3 | hep-ph/0409232 |
| 7 | P. Gambino, G. F. Giudice, and P. Slavich | Gluino decays in split supersymmetry | NPB 726 (2005) 35 | hep-ph/0506214 |
| 8 | A. Arvanitaki, N. Craig, S. Dimopoulos, and G. Villadoro | Mini-split | JHEP 02 (2013) 126 | 1210.0555 |
| 9 | N. Arkani-Hamed et al. | Simply unnatural supersymmetry | 1212.6971 | |
| 10 | J. Fan, M. Reece, and J. T. Ruderman | Stealth supersymmetry | JHEP 11 (2011) 012 | 1105.5135 |
| 11 | J. Fan, M. Reece, and J. T. Ruderman | A stealth supersymmetry sampler | JHEP 07 (2012) 196 | 1201.4875 |
| 12 | G. F. Giudice and R. Rattazzi | Theories with gauge mediated supersymmetry breaking | Phys. Rept. 322 (1999) 419 | hep-ph/9801271 |
| 13 | P. Meade, N. Seiberg, and D. Shih | General gauge mediation | Prog. Theor. Phys. Suppl. 177 (2009) 143 | 0801.3278 |
| 14 | M. Buican, P. Meade, N. Seiberg, and D. Shih | Exploring general gauge mediation | JHEP 03 (2009) 016 | 0812.3668 |
| 15 | M. J. Strassler and K. M. Zurek | Echoes of a hidden valley at hadron colliders | PLB 651 (2007) 374 | hep-ph/0604261 |
| 16 | M. J. Strassler and K. M. Zurek | Discovering the Higgs through highly-displaced vertices | PLB 661 (2008) 263 | hep-ph/0605193 |
| 17 | T. Han, Z. Si, K. M. Zurek, and M. J. Strassler | Phenomenology of hidden valleys at hadron colliders | JHEP 07 (2008) 008 | 0712.2041 |
| 18 | ATLAS Collaboration | Search for long-lived, massive particles in events with displaced vertices and missing transverse momentum in $ \sqrt{s} $ = 13 TeV pp collisions with the ATLAS detector | PRD 97 (2018) 052012 | 1710.04901 |
| 19 | ATLAS Collaboration | Search for long-lived, massive particles in events with a displaced vertex and a muon with large impact parameter in pp collisions at $ \sqrt{s} = $ 13 TeV with the ATLAS detector | PRD 102 (2020) 032006 | 2003.11956 |
| 20 | CMS Collaboration | Search for long-lived particles decaying to jets with displaced vertices in proton-proton collisions at $ \sqrt{s}= $ 13 TeV | PRD 104 (2021) 052011 | CMS-EXO-19-013 2104.13474 |
| 21 | CMS Collaboration | Search for long-lived particles using displaced jets in proton-proton collisions at $ \sqrt{s} = $ 13 TeV | PRD 104 (2021) 012015 | CMS-EXO-19-021 2012.01581 |
| 22 | ATLAS Collaboration | Search for long-lived, massive particles in events with displaced vertices and multiple jets in pp collisions at $ \sqrt{s} $ = 13 TeV with the ATLAS detector | JHEP 06 (2023) 200 | 2301.13866 |
| 23 | CMS Collaboration | Search for long-lived particles using displaced vertices and missing transverse momentum in proton-proton collisions at $ \sqrt{s} = $ 13 TeV | PRD 109 (2024) 112005 | CMS-EXO-22-020 2402.15804 |
| 24 | CMS Collaboration | Search for light long-lived particles decaying to displaced jets in proton-proton collisions at $ \sqrt{s} = $ 13.6 TeV | Rept. Prog. Phys. 88 (2025) 037801 | CMS-EXO-23-013 2409.10806 |
| 25 | CMS Collaboration | The CMS experiment at the CERN LHC | JINST 3 (2008) S08004 | |
| 26 | CMS Collaboration | Development of the CMS detector for the CERN LHC Run 3 | JINST 19 (2024) P05064 | CMS-PRF-21-001 2309.05466 |
| 27 | CMS Collaboration | Performance of the CMS Level-1 trigger in proton-proton collisions at $ \sqrt{s} = $ 13\,TeV | JINST 15 (2020) P10017 | CMS-TRG-17-001 2006.10165 |
| 28 | CMS Collaboration | The CMS trigger system | JINST 12 (2017) P01020 | CMS-TRG-12-001 1609.02366 |
| 29 | CMS Collaboration | Performance of the CMS high-level trigger during LHC Run 2 | JINST 19 (2024) P11021 | CMS-TRG-19-001 2410.17038 |
| 30 | CMS Collaboration | Electron and photon reconstruction and identification with the CMS experiment at the CERN LHC | JINST 16 (2021) P05014 | CMS-EGM-17-001 2012.06888 |
| 31 | CMS Collaboration | Performance of the CMS muon detector and muon reconstruction with proton-proton collisions at $ \sqrt{s}= $ 13 TeV | JINST 13 (2018) P06015 | CMS-MUO-16-001 1804.04528 |
| 32 | CMS Collaboration | Description and performance of track and primary-vertex reconstruction with the CMS tracker | JINST 9 (2014) P10009 | CMS-TRK-11-001 1405.6569 |
| 33 | Tracker Group of the CMS Collaboration | The CMS Phase-1 pixel detector upgrade | JINST 16 (2021) P02027 | 2012.14304 |
| 34 | CMS Collaboration | Track impact parameter resolution for the full pseudo rapidity coverage in the 2017 dataset with the CMS Phase-1 pixel detector | CMS Detector Performance Summary CMS-DP-2020-049, 2020 CDS |
|
| 35 | CMS Collaboration | Particle-flow reconstruction and global event description with the CMS detector | JINST 12 (2017) P10003 | CMS-PRF-14-001 1706.04965 |
| 36 | CMS Collaboration | Technical proposal for the Phase-II upgrade of the Compact Muon Solenoid | CMS Technical Proposal CERN-LHCC-2015-010, CMS-TDR-15-02, 2015 link |
|
| 37 | M. Cacciari, G. P. Salam, and G. Soyez | The anti-$ k_{\mathrm{T}} $ jet clustering algorithm | JHEP 04 (2008) 063 | 0802.1189 |
| 38 | M. Cacciari, G. P. Salam, and G. Soyez | FastJet user manual | EPJC 72 (2012) 1896 | 1111.6097 |
| 39 | CMS Collaboration | Jet energy scale and resolution in the CMS experiment in pp collisions at 8 TeV | JINST 12 (2017) P02014 | CMS-JME-13-004 1607.03663 |
| 40 | CMS Collaboration | CMS jet algorithms performance in 13 TeV data | CMS Physics Analysis Summary, 2016 CMS-PAS-JME-16-003 |
CMS-PAS-JME-16-003 |
| 41 | CMS Collaboration | Identification of heavy-flavour jets with the CMS detector in pp collisions at 13 TeV | JINST 13 (2018) P05011 | CMS-BTV-16-002 1712.07158 |
| 42 | E. Bols et al. | Jet flavour classification using DeepJet | JINST 15 (2020) P12012 | 2008.10519 |
| 43 | CMS Collaboration | Performance of the DeepJet b tagging algorithm using 41.9/fb of data from proton-proton collisions at 13 TeV with Phase 1 CMS detector | CMS Detector Performance Summary CMS-DP-2018-058, 2018 CDS |
|
| 44 | CMS Collaboration | Performance of missing transverse momentum reconstruction in proton-proton collisions at $ \sqrt{s} = $ 13 TeV using the CMS detector | JINST 14 (2019) P07004 | CMS-JME-17-001 1903.06078 |
| 45 | CMS Collaboration | Performance of reconstruction and identification of $ \tau $ leptons decaying to hadrons and $ \nu_\tau $ in pp collisions at $ \sqrt{s}= $ 13 TeV | JINST 13 (2018) P10005 | CMS-TAU-16-003 1809.02816 |
| 46 | J. Alwall et al. | The automated computation of tree-level and next-to-leading order differential cross sections, and their matching to parton shower simulations | JHEP 07 (2014) 079 | 1405.0301 |
| 47 | NNPDF Collaboration | Parton distributions from high-precision collider data | EPJC 77 (2017) 663 | 1706.00428 |
| 48 | T. Sjöstrand et al. | An introduction to PYTHIA 8.2 | Comput. Phys. Commun. 191 (2015) 159 | 1410.3012 |
| 49 | CMS Collaboration | Extraction and validation of a new set of CMS PYTHIA8 tunes from underlying-event measurements | EPJC 80 (2020) 4 | CMS-GEN-17-001 1903.12179 |
| 50 | J. Alwall et al. | Comparative study of various algorithms for the merging of parton showers and matrix elements in hadronic collisions | EPJC 53 (2008) 473 | 0706.2569 |
| 51 | W. Beenakker et al. | NNLL-fast: Predictions for coloured supersymmetric particle production at the LHC with threshold and Coulomb resummation | JHEP 12 (2016) 133 | 1607.07741 |
| 52 | R. Frederix and S. Frixione | Merging meets matching in MC@NLO | JHEP 12 (2012) 061 | 1209.6215 |
| 53 | P. Nason | A new method for combining NLO QCD with shower Monte Carlo algorithms | JHEP 11 (2004) 040 | hep-ph/0409146 |
| 54 | S. Frixione, P. Nason, and C. Oleari | Matching NLO QCD computations with parton shower simulations: the POWHEG method | JHEP 11 (2007) 070 | 0709.2092 |
| 55 | S. Alioli, P. Nason, C. Oleari, and E. Re | A general framework for implementing NLO calculations in shower Monte Carlo programs: the POWHEG BOX | JHEP 06 (2010) 043 | 1002.2581 |
| 56 | E. Re | Single-top $ {\mathrm{W}}{\mathrm{t}} $-channel production matched with parton showers using the POWHEG method | EPJC 71 (2011) 1547 | 1009.2450 |
| 57 | S. Alioli, P. Nason, C. Oleari, and E. Re | NLO single-top production matched with shower in POWHEG: $ s $- and $ t $-channel contributions | JHEP 09 (2009) 111 | 0907.4076 |
| 58 | NNPDF Collaboration | Parton distributions for the LHC Run II | JHEP 04 (2015) 040 | 1410.8849 |
| 59 | GEANT4 Collaboration | GEANT 4---a simulation toolkit | NIM A 506 (2003) 250 | |
| 60 | J. D'Hondt, P. Vanlaer, R. Fruhwirth, and W. Waltenberger | Sensitivity of robust vertex fitting algorithms | IEEE Trans. Nucl. Sci. 51 (2004) 2037 | |
| 61 | CMS Collaboration | CMS luminosity measurement for the 2017 data-taking period at $ \sqrt{s} $ = 13 TeV | CMS Physics Analysis Summary, 2018 link |
CMS-PAS-LUM-17-004 |
| 62 | CMS Collaboration | CMS luminosity measurement for the 2018 data-taking period at $ \sqrt{s} $ = 13 TeV | CMS Physics Analysis Summary, 2019 link |
CMS-PAS-LUM-18-002 |
| 63 | J. Butterworth et al. | PDF4LHC recommendations for LHC Run II | JPG 43 (2016) 023001 | 1510.03865 |
| 64 | A. L. Read | Presentation of search results: The CL$ _{\text{s}} $ technique | JPG 28 (2002) 2693 | |
| 65 | T. Junk | Confidence level computation for combining searches with small statistics | NIM A 434 (1999) 435 | hep-ex/9902006 |
| 66 | CMS Collaboration | The CMS statistical analysis and combination tool: \textscCombine | Comput. Softw. Big Sci. 8 (2024) 19 | CMS-CAT-23-001 2404.06614 |
| 67 | C. Borschensky et al. | Squark and gluino production cross sections in pp collisions at $ \sqrt{s} $ = 13, 14, 33 and 100 TeV | EPJC 74 (2014) 3174 | 1407.5066 |
|
Compact Muon Solenoid LHC, CERN |
|
|
|
|
|
|