| CMS-PAS-SUS-24-002 | ||
| Search for light pseudoscalar bosons produced in Higgs boson decays in the 4$ \tau $ and 2$ \mu $ 2$ \tau $ final states in proton-proton collisions at $ \sqrt{s}= $ 13 TeV | ||
| CMS Collaboration | ||
| 27 September 2024 | ||
| Abstract: A search for a pair of light pseudoscalar bosons ($ \mathrm{a}_1 $) produced from the decay of the 125 GeV Higgs boson (H) is presented. The analysis examines decay modes where one $ \mathrm{a}_1 $ decays into a pair of tau leptons, and the other decays into either another pair of tau leptons or a pair of muons. The $ \mathrm{a}_1 $ mass probed in this study ranges from 4 to 15 GeV. The data sample used was recorded by the CMS experiment in proton-proton collisions at a center-of-mass energy of 13 TeV and corresponds to an integrated luminosity of 138 fb$ ^{-1} $. The study uses the 2$ \mu$2$\tau $ and 4$ \tau $ channels in combination to constrain the product of the Higgs boson production cross section and the branching fraction to the 4$ \tau $ final state, $ \sigma (\mathrm{pp}\to \text{H}+\text{X} ) \mathcal{B}(\text{H}\to\text{a}_{1}\text{a}_{1})\mathcal{B}^2(\text{a}_{1}\to\tau\tau) $. This methodology takes advantage of the linear dependence of the fermionic coupling strength of pseudoscalar bosons on the fermion mass. Model-independent upper limits at 95% confidence level (CL) on $ \sigma (\mathrm{pp}\to \text{H}+\text{X}) \mathcal{B}(\text{H}\to\text{a}_{1}\text{a}_{1})\mathcal{B}^2(\text{a}_{1}\to\tau\tau) $, relative to the standard model Higgs boson production cross section $ \sigma_{\text{SM}} $, are set. The observed (expected) upper limits range between 0.007 (0.011) and 0.079 (0.066) across the mass range considered. Exclusion limits at 95% on $ \sigma (\mathrm{pp}\to \text{H}+\text{X}) \mathcal{B}(\text{H}\to\text{a}_{1}\text{a}_{1}) $, relative to $ \sigma_{\text{SM}} $, are derived for various Two Higgs Doublet Model + Singlet scenarios. | ||
|
Links:
CDS record (PDF) ;
CADI line (restricted) ;
These preliminary results are superseded in this paper, Submitted to . The superseded preliminary plots can be found here. |
||
| Figures | |
|
png pdf |
Figure 1:
Illustration of the signal topology, in which the H boson decays into two $ \mathrm{a}_1 $ bosons, where one $ \mathrm{a}_1 $ boson decays into a pair of tau leptons, while the other decays into a pair of muons or a pair of tau leptons. The analyzed final state consists of one muon and an oppositely charged track in each $ \mathrm{a}_1 $ decay. |
|
png pdf |
Figure 2:
Binning of the 2D ($ m_1,m_2 $) distribution. |
|
png pdf |
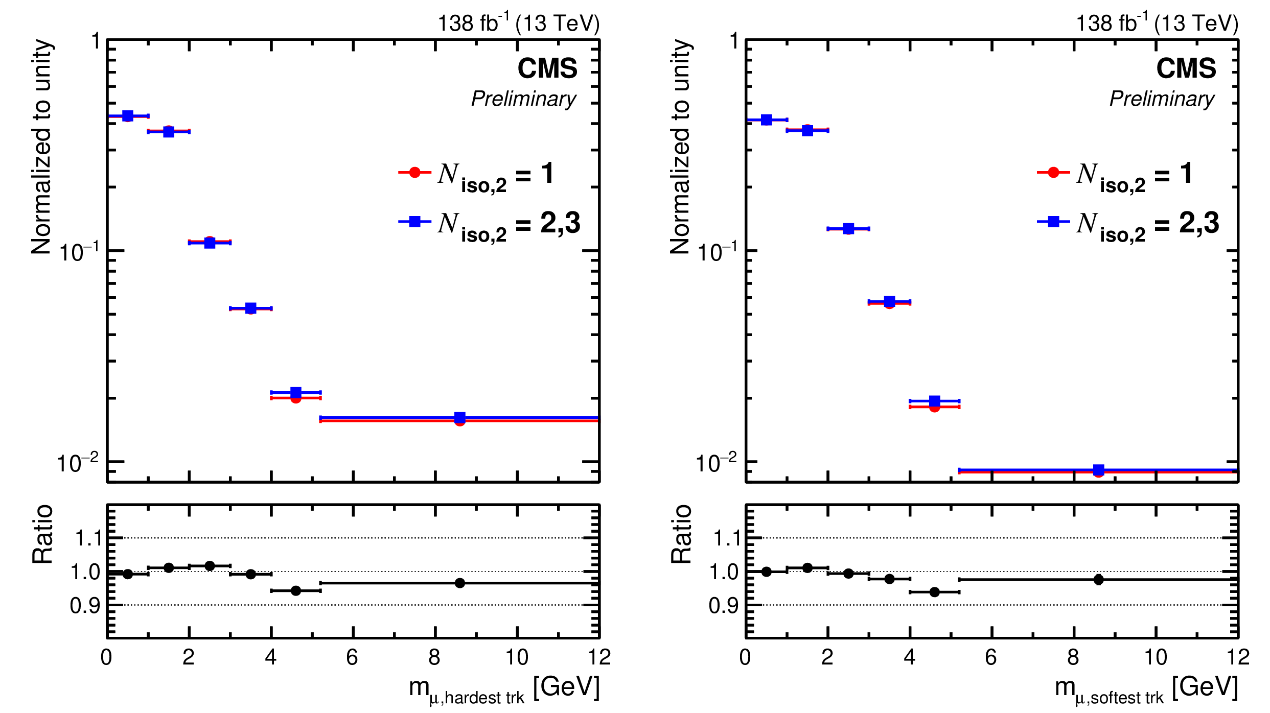
Figure 3:
The observed invariant mass distribution, normalized to unity, of the first muon and the softest (left) or hardest (right) accompanying ``signal'' track for different isolation requirements imposed on the second muon: one ``isolation'' track ($ N_\text{iso,2}= $ 1; circles) or two to three ``isolation'' tracks ($ N_\text{iso,2} = 2, $ 3). |
|
png pdf |
Figure 3-a:
The observed invariant mass distribution, normalized to unity, of the first muon and the softest (left) or hardest (right) accompanying ``signal'' track for different isolation requirements imposed on the second muon: one ``isolation'' track ($ N_\text{iso,2}= $ 1; circles) or two to three ``isolation'' tracks ($ N_\text{iso,2} = 2, $ 3). |
|
png pdf |
Figure 3-b:
The observed invariant mass distribution, normalized to unity, of the first muon and the softest (left) or hardest (right) accompanying ``signal'' track for different isolation requirements imposed on the second muon: one ``isolation'' track ($ N_\text{iso,2}= $ 1; circles) or two to three ``isolation'' tracks ($ N_\text{iso,2} = 2, $ 3). |
|
png pdf |
Figure 4:
Normalized invariant mass distribution of the muon-track system for events passing the signal selection. Observed events are shown as black points with error bars. The background model in blue is derived from the $ N_{23} $ control region. Also shown are normalized distributions from signal simulations for four mass hypotheses, $ m_{\mathrm{a}_1} $= 5, 8, 12, and 15 GeV (dashed histograms). Signal distributions include both the 2$ \mu$2$\tau $ and 4$ \tau $ contributions. Each event contributes two entries, corresponding to the two muon-track systems in each event that pass the selection. The lower panel shows the ratio of observed to expected background events in each bin. The grey shaded area represents the uncertainty of the background model. |
|
png pdf |
Figure 5:
The correlation factors $ C(i,j)^{\text{CR}}_{\text{data}} $ with statistical uncertainties. |
|
png pdf |
Figure 6:
The correlation factors $ C(i,j)^{\text{SR}}_{\text{MC}} $ (upper) and $ C(i,j)^{\text{CR}}_{\text{MC}} $ (lower) with statistical uncertainties. |
|
png pdf |
Figure 6-a:
The correlation factors $ C(i,j)^{\text{SR}}_{\text{MC}} $ (upper) and $ C(i,j)^{\text{CR}}_{\text{MC}} $ (lower) with statistical uncertainties. |
|
png pdf |
Figure 6-b:
The correlation factors $ C(i,j)^{\text{SR}}_{\text{MC}} $ (upper) and $ C(i,j)^{\text{CR}}_{\text{MC}} $ (lower) with statistical uncertainties. |
|
png pdf |
Figure 7:
The signal $ f_\text{2D}(i,j) $ templates for mass hypothesis $ m_{\mathrm{a}_1}= $ 5 GeV (upper left), 8 GeV (upper right), 12 GeV (lower left) and 15 GeV (lower right). The $ \mathrm{H}\to\mathrm{a}_1\mathrm{a}_1\to 2\mu 2\tau $ (blue histogram) and $ \mathrm{H}\to\mathrm{a}_1\mathrm{a}_1\to 4\tau $ (red histogram) contributions are shown. The distributions are normalized assuming SM H production cross section and $ {\mathcal{B}} (\mathrm{H}\to\mathrm{a}_1\mathrm{a}_1){\mathcal{B}}^{2}(\mathrm{a}_1\to \tau\tau) $ = 0.05. The bin notation follows that of Fig. 2. |
|
png pdf |
Figure 7-a:
The signal $ f_\text{2D}(i,j) $ templates for mass hypothesis $ m_{\mathrm{a}_1}= $ 5 GeV (upper left), 8 GeV (upper right), 12 GeV (lower left) and 15 GeV (lower right). The $ \mathrm{H}\to\mathrm{a}_1\mathrm{a}_1\to 2\mu 2\tau $ (blue histogram) and $ \mathrm{H}\to\mathrm{a}_1\mathrm{a}_1\to 4\tau $ (red histogram) contributions are shown. The distributions are normalized assuming SM H production cross section and $ {\mathcal{B}} (\mathrm{H}\to\mathrm{a}_1\mathrm{a}_1){\mathcal{B}}^{2}(\mathrm{a}_1\to \tau\tau) $ = 0.05. The bin notation follows that of Fig. 2. |
|
png pdf |
Figure 7-b:
The signal $ f_\text{2D}(i,j) $ templates for mass hypothesis $ m_{\mathrm{a}_1}= $ 5 GeV (upper left), 8 GeV (upper right), 12 GeV (lower left) and 15 GeV (lower right). The $ \mathrm{H}\to\mathrm{a}_1\mathrm{a}_1\to 2\mu 2\tau $ (blue histogram) and $ \mathrm{H}\to\mathrm{a}_1\mathrm{a}_1\to 4\tau $ (red histogram) contributions are shown. The distributions are normalized assuming SM H production cross section and $ {\mathcal{B}} (\mathrm{H}\to\mathrm{a}_1\mathrm{a}_1){\mathcal{B}}^{2}(\mathrm{a}_1\to \tau\tau) $ = 0.05. The bin notation follows that of Fig. 2. |
|
png pdf |
Figure 7-c:
The signal $ f_\text{2D}(i,j) $ templates for mass hypothesis $ m_{\mathrm{a}_1}= $ 5 GeV (upper left), 8 GeV (upper right), 12 GeV (lower left) and 15 GeV (lower right). The $ \mathrm{H}\to\mathrm{a}_1\mathrm{a}_1\to 2\mu 2\tau $ (blue histogram) and $ \mathrm{H}\to\mathrm{a}_1\mathrm{a}_1\to 4\tau $ (red histogram) contributions are shown. The distributions are normalized assuming SM H production cross section and $ {\mathcal{B}} (\mathrm{H}\to\mathrm{a}_1\mathrm{a}_1){\mathcal{B}}^{2}(\mathrm{a}_1\to \tau\tau) $ = 0.05. The bin notation follows that of Fig. 2. |
|
png pdf |
Figure 7-d:
The signal $ f_\text{2D}(i,j) $ templates for mass hypothesis $ m_{\mathrm{a}_1}= $ 5 GeV (upper left), 8 GeV (upper right), 12 GeV (lower left) and 15 GeV (lower right). The $ \mathrm{H}\to\mathrm{a}_1\mathrm{a}_1\to 2\mu 2\tau $ (blue histogram) and $ \mathrm{H}\to\mathrm{a}_1\mathrm{a}_1\to 4\tau $ (red histogram) contributions are shown. The distributions are normalized assuming SM H production cross section and $ {\mathcal{B}} (\mathrm{H}\to\mathrm{a}_1\mathrm{a}_1){\mathcal{B}}^{2}(\mathrm{a}_1\to \tau\tau) $ = 0.05. The bin notation follows that of Fig. 2. |
|
png pdf |
Figure 8:
The ($ m_1,m_2 $) in one-row distribution used to extract the signal. The observed number of events is represented by data points with error bars. The background with its uncertainty is shown as the blue histogram with the shaded error band. The normalization for the background is obtained by fitting the observed data under the background-only hypothesis. Signal expectations for the 4$ \tau $ and 2$ \mu$2$\tau $ final states are shown as dashed histograms for the mass hypotheses $ m_{\mathrm{a}_1} $= 5, 8, 12, and 15 GeV. The relative normalization of the 4$ \tau $ and 2$ \mu$2$\tau $ final states are given by Eq. (1) as explained in Section 7. The signal normalization is computed assuming that the H boson is produced in pp collisions with a rate predicted by the SM and decays into $ \mathrm{a}_1 \mathrm{a}_1 \to 4\tau $ final state with the branching fraction of 5%. The lower plot shows the ratio of the observed data events to the expected background yield in each bin of the ($ m_1,m_2 $) distribution. |
|
png pdf |
Figure 9:
The observed and expected upper limits at 95% confidence level on the product of the signal cross section and the branching fraction $ \sigma (\mathrm{p}\mathrm{p} \to \mathrm{H}+\text{X}) {\mathcal{B}} (\mathrm{H} \to \mathrm{a}_1 \mathrm{a}_1) {\mathcal{B}}^{2} (\mathrm{a}_1 \to \tau \tau) $, relative to the inclusive Higgs boson production cross section $ \sigma_\text{SM} $ predicted in the SM. The green and yellow bands indicate the regions containing 68% and 95% of the distribution of limits expected under the background-only hypothesis. |
|
png pdf |
Figure 10:
The observed and expected upper limits at 95% CLs on $ \sigma (\mathrm{p}\mathrm{p} \to \mathrm{H}+\text{X}) {\mathcal{B}} (\mathrm{H} \to \mathrm{a}_1 \mathrm{a}_1) $, relative to $ \sigma_\text{SM} $, as a function of $ m_{\mathrm{a}_1} $ for different 2HDM+S models for benchmark $ \tan\beta $ values: Type I ($ \tan\beta $ independent; upper left), Type II ($ \tan\beta = $ 5; upper right), Type III ($ \tan\beta = $ 2; lower left) and Type IV ($ \tan\beta = $ 0.5; lower right). |
|
png pdf |
Figure 10-a:
The observed and expected upper limits at 95% CLs on $ \sigma (\mathrm{p}\mathrm{p} \to \mathrm{H}+\text{X}) {\mathcal{B}} (\mathrm{H} \to \mathrm{a}_1 \mathrm{a}_1) $, relative to $ \sigma_\text{SM} $, as a function of $ m_{\mathrm{a}_1} $ for different 2HDM+S models for benchmark $ \tan\beta $ values: Type I ($ \tan\beta $ independent; upper left), Type II ($ \tan\beta = $ 5; upper right), Type III ($ \tan\beta = $ 2; lower left) and Type IV ($ \tan\beta = $ 0.5; lower right). |
|
png pdf |
Figure 10-b:
The observed and expected upper limits at 95% CLs on $ \sigma (\mathrm{p}\mathrm{p} \to \mathrm{H}+\text{X}) {\mathcal{B}} (\mathrm{H} \to \mathrm{a}_1 \mathrm{a}_1) $, relative to $ \sigma_\text{SM} $, as a function of $ m_{\mathrm{a}_1} $ for different 2HDM+S models for benchmark $ \tan\beta $ values: Type I ($ \tan\beta $ independent; upper left), Type II ($ \tan\beta = $ 5; upper right), Type III ($ \tan\beta = $ 2; lower left) and Type IV ($ \tan\beta = $ 0.5; lower right). |
|
png pdf |
Figure 10-c:
The observed and expected upper limits at 95% CLs on $ \sigma (\mathrm{p}\mathrm{p} \to \mathrm{H}+\text{X}) {\mathcal{B}} (\mathrm{H} \to \mathrm{a}_1 \mathrm{a}_1) $, relative to $ \sigma_\text{SM} $, as a function of $ m_{\mathrm{a}_1} $ for different 2HDM+S models for benchmark $ \tan\beta $ values: Type I ($ \tan\beta $ independent; upper left), Type II ($ \tan\beta = $ 5; upper right), Type III ($ \tan\beta = $ 2; lower left) and Type IV ($ \tan\beta = $ 0.5; lower right). |
|
png pdf |
Figure 10-d:
The observed and expected upper limits at 95% CLs on $ \sigma (\mathrm{p}\mathrm{p} \to \mathrm{H}+\text{X}) {\mathcal{B}} (\mathrm{H} \to \mathrm{a}_1 \mathrm{a}_1) $, relative to $ \sigma_\text{SM} $, as a function of $ m_{\mathrm{a}_1} $ for different 2HDM+S models for benchmark $ \tan\beta $ values: Type I ($ \tan\beta $ independent; upper left), Type II ($ \tan\beta = $ 5; upper right), Type III ($ \tan\beta = $ 2; lower left) and Type IV ($ \tan\beta = $ 0.5; lower right). |
|
png pdf |
Figure 11:
The observed and expected 95% CL upper limits on $ \sigma (\mathrm{p}\mathrm{p} \to \mathrm{H}+\text{X}) {\mathcal{B}} (\mathrm{H} \to \mathrm{a}_1 \mathrm{a}_1) $, relative to $ \sigma_\text{SM} $, as a function of $ \tan\beta $ for the Type II 2HDM+S model for: $ m_{\mathrm{a}_1} $= 5 GeV (upper left), $ m_{\mathrm{a}_1} $= 8 GeV (upper right), $ m_{\mathrm{a}_1} $= 12 GeV (lower left) and $ m_{\mathrm{a}_1} $= 15 GeV (lower right). |
|
png pdf |
Figure 11-a:
The observed and expected 95% CL upper limits on $ \sigma (\mathrm{p}\mathrm{p} \to \mathrm{H}+\text{X}) {\mathcal{B}} (\mathrm{H} \to \mathrm{a}_1 \mathrm{a}_1) $, relative to $ \sigma_\text{SM} $, as a function of $ \tan\beta $ for the Type II 2HDM+S model for: $ m_{\mathrm{a}_1} $= 5 GeV (upper left), $ m_{\mathrm{a}_1} $= 8 GeV (upper right), $ m_{\mathrm{a}_1} $= 12 GeV (lower left) and $ m_{\mathrm{a}_1} $= 15 GeV (lower right). |
|
png pdf |
Figure 11-b:
The observed and expected 95% CL upper limits on $ \sigma (\mathrm{p}\mathrm{p} \to \mathrm{H}+\text{X}) {\mathcal{B}} (\mathrm{H} \to \mathrm{a}_1 \mathrm{a}_1) $, relative to $ \sigma_\text{SM} $, as a function of $ \tan\beta $ for the Type II 2HDM+S model for: $ m_{\mathrm{a}_1} $= 5 GeV (upper left), $ m_{\mathrm{a}_1} $= 8 GeV (upper right), $ m_{\mathrm{a}_1} $= 12 GeV (lower left) and $ m_{\mathrm{a}_1} $= 15 GeV (lower right). |
|
png pdf |
Figure 11-c:
The observed and expected 95% CL upper limits on $ \sigma (\mathrm{p}\mathrm{p} \to \mathrm{H}+\text{X}) {\mathcal{B}} (\mathrm{H} \to \mathrm{a}_1 \mathrm{a}_1) $, relative to $ \sigma_\text{SM} $, as a function of $ \tan\beta $ for the Type II 2HDM+S model for: $ m_{\mathrm{a}_1} $= 5 GeV (upper left), $ m_{\mathrm{a}_1} $= 8 GeV (upper right), $ m_{\mathrm{a}_1} $= 12 GeV (lower left) and $ m_{\mathrm{a}_1} $= 15 GeV (lower right). |
|
png pdf |
Figure 11-d:
The observed and expected 95% CL upper limits on $ \sigma (\mathrm{p}\mathrm{p} \to \mathrm{H}+\text{X}) {\mathcal{B}} (\mathrm{H} \to \mathrm{a}_1 \mathrm{a}_1) $, relative to $ \sigma_\text{SM} $, as a function of $ \tan\beta $ for the Type II 2HDM+S model for: $ m_{\mathrm{a}_1} $= 5 GeV (upper left), $ m_{\mathrm{a}_1} $= 8 GeV (upper right), $ m_{\mathrm{a}_1} $= 12 GeV (lower left) and $ m_{\mathrm{a}_1} $= 15 GeV (lower right). |
|
png pdf |
Figure 12:
The observed and expected 95% CL upper limits on $ \sigma (\mathrm{p}\mathrm{p} \to \mathrm{H}+\text{X}) {\mathcal{B}} (\mathrm{H} \to \mathrm{a}_1 \mathrm{a}_1) $, relative to $ \sigma_\text{SM} $, as a function of $ \tan\beta $ for the Type III 2HDM+S model for: $ m_{\mathrm{a}_1} $= 5 GeV (upper left), $ m_{\mathrm{a}_1} $= 8 GeV (upper right), $ m_{\mathrm{a}_1} $= 12 GeV (lower left) and $ m_{\mathrm{a}_1} $= 15 GeV (lower right). |
|
png pdf |
Figure 12-a:
The observed and expected 95% CL upper limits on $ \sigma (\mathrm{p}\mathrm{p} \to \mathrm{H}+\text{X}) {\mathcal{B}} (\mathrm{H} \to \mathrm{a}_1 \mathrm{a}_1) $, relative to $ \sigma_\text{SM} $, as a function of $ \tan\beta $ for the Type III 2HDM+S model for: $ m_{\mathrm{a}_1} $= 5 GeV (upper left), $ m_{\mathrm{a}_1} $= 8 GeV (upper right), $ m_{\mathrm{a}_1} $= 12 GeV (lower left) and $ m_{\mathrm{a}_1} $= 15 GeV (lower right). |
|
png pdf |
Figure 12-b:
The observed and expected 95% CL upper limits on $ \sigma (\mathrm{p}\mathrm{p} \to \mathrm{H}+\text{X}) {\mathcal{B}} (\mathrm{H} \to \mathrm{a}_1 \mathrm{a}_1) $, relative to $ \sigma_\text{SM} $, as a function of $ \tan\beta $ for the Type III 2HDM+S model for: $ m_{\mathrm{a}_1} $= 5 GeV (upper left), $ m_{\mathrm{a}_1} $= 8 GeV (upper right), $ m_{\mathrm{a}_1} $= 12 GeV (lower left) and $ m_{\mathrm{a}_1} $= 15 GeV (lower right). |
|
png pdf |
Figure 12-c:
The observed and expected 95% CL upper limits on $ \sigma (\mathrm{p}\mathrm{p} \to \mathrm{H}+\text{X}) {\mathcal{B}} (\mathrm{H} \to \mathrm{a}_1 \mathrm{a}_1) $, relative to $ \sigma_\text{SM} $, as a function of $ \tan\beta $ for the Type III 2HDM+S model for: $ m_{\mathrm{a}_1} $= 5 GeV (upper left), $ m_{\mathrm{a}_1} $= 8 GeV (upper right), $ m_{\mathrm{a}_1} $= 12 GeV (lower left) and $ m_{\mathrm{a}_1} $= 15 GeV (lower right). |
|
png pdf |
Figure 12-d:
The observed and expected 95% CL upper limits on $ \sigma (\mathrm{p}\mathrm{p} \to \mathrm{H}+\text{X}) {\mathcal{B}} (\mathrm{H} \to \mathrm{a}_1 \mathrm{a}_1) $, relative to $ \sigma_\text{SM} $, as a function of $ \tan\beta $ for the Type III 2HDM+S model for: $ m_{\mathrm{a}_1} $= 5 GeV (upper left), $ m_{\mathrm{a}_1} $= 8 GeV (upper right), $ m_{\mathrm{a}_1} $= 12 GeV (lower left) and $ m_{\mathrm{a}_1} $= 15 GeV (lower right). |
| Tables | |
|
png pdf |
Table 1:
Types of tracks considered in the analysis, with their selection criteria and purposes. |
|
png pdf |
Table 2:
The signal acceptance and the number of expected signal events after selection in the SR. The acceptance is calculated relative to the total H production cross section, using values predicted by the SM. The number of expected signal events is computed for a benchmark value of the branching fraction $ {\mathcal{B}}(\mathrm{H} \to \mathrm{a}_1 \mathrm{a}_1) {\mathcal{B}}^{2} (\mathrm{a}_1 \to \tau \tau)= $ 0.05, assuming SM-predicted cross sections. The quoted uncertainties for the predictions from simulation include only statistical uncertainties. |
|
png pdf |
Table 3:
Control regions used to construct and validate the background model. The symbols $ N_\text{iso} $ and $ N_\text{sig} $ denote the number of ``isolation'' and ``signal'', respectively, within a cone of $ \Delta R= $ 0.5 around the muon momentum direction. In cases where $ N_\text{sig} $ is not mentioned, there is no explicit requirement on the number of ``signal'' tracks. The last row defines the SR. |
| Summary |
| A search for light pseudoscalar bosons ($ \mathrm{a}_1 $) produced in decays of the 125 GeV Higgs boson (H) in final states with four taus or two muons and two taus is presented. The search is performed using data from proton-proton collisions at a center-of-mass energy of 13 TeV, collected by the CMS experiment at the LHC between 2016 and 2018 and corresponding to an integrated luminosity of 138 fb$ ^{-1} $. Pseudoscalar bosons with masses ($ m_{\mathrm{a}_1} $) in the range of 4 to 15 GeV are examined. The analysis is based on inclusive H boson production and targets the $ \mathrm{H}\to \mathrm{a}_1 \mathrm{a}_1 \to 4\tau/2\mu 2\tau $ decay channels. Both channels are used in combination to constrain the product of the inclusive signal production cross section and the branching fraction into the 4$ \tau $ final state, $ \sigma (\mathrm{p}\mathrm{p} \to \mathrm{H}+\text{X}) {\mathcal{B}} (\mathrm{H} \to \mathrm{a}_1 \mathrm{a}_1) \mathcal{B}^2(\mathrm{a}_1 \to \tau\tau) $. This is done by exploiting the linear dependence of the fermionic coupling strength of $ \mathrm{a}_1 $ on the fermion mass. No significant excess in data over the expected standard model (SM) background is observed. Hence, upper limits on the product of the inclusive signal cross section and the branching fraction, $ \sigma (\mathrm{p}\mathrm{p} \to \mathrm{H}+\text{X}) {\mathcal{B}} (\mathrm{H} \to \mathrm{a}_1 \mathrm{a}_1) \mathcal{B}^2(\mathrm{a}_1 \to \tau\tau) $, relative to the SM H production cross section, $ \sigma_\text{SM} $, are set at 95% confidence level. The observed limits range from 0.007 at $ m_{\mathrm{a}_1}= $ 11 GeV to 0.079 at $ m_{\mathrm{a}_1}= $ 4 GeV. The expected limits range from 0.011 at $ m_{\mathrm{a}_1}= $ 11 GeV to 0.066 at $ m_{\mathrm{a}_1}= $ 4 GeV. The results indicate significant improvement compared to the earlier similar CMS analysis at 13 TeV, exceeding the anticipated improvement resulting from the larger data sample alone. Sensitivity is enhanced by 2 to 4 times depending on the mass hypothesis, which can be attributed to the introduction of a veto for b tagged jets and the tightening of the impact parameters of the ``isolation`` tracks, both of which play a crucial role in background reduction. The results are also reinterpreted in the context of various types of 2HDM+S models. The tightest constraints on $ \sigma (\mathrm{p}\mathrm{p} \to \mathrm{H}+\text{X}) {\mathcal{B}} (\mathrm{H} \to \mathrm{a}_1 \mathrm{a}_1) $, relative to $ \sigma_\text{SM} $ are provided for Type III 2HDM+S. For this scenario, regions of the phase space with $ \tan\beta \geq $ 2 are excluded for most $ m_{\mathrm{a}_1} $. For the Type II 2HDM+S model, stringent limits are observed for mass values between 4 and 9 GeV when $ \tan\beta > $ 1, indicating strong exclusion capabilities within this mass range. \pagebreak |
| References | ||||
| 1 | ATLAS Collaboration | Observation of a new particle in the search for the standard model Higgs boson with the ATLAS detector at the LHC | PLB 716 (2012) 1 | 1207.7214 |
| 2 | CMS Collaboration | Observation of a new boson at a mass of 125 GeV with the CMS experiment at the LHC | PLB 716 (2012) 30 | CMS-HIG-12-028 1207.7235 |
| 3 | CMS Collaboration | Observation of a new boson with mass near 125 GeV in pp collisions at $ \sqrt{s} = $ 7 and 8 TeV | JHEP 06 (2013) 081 | CMS-HIG-12-036 1303.4571 |
| 4 | P. Fayet | Supergauge invariant extension of the Higgs mechanism and a model for the electron and its neutrino | NPB 90 (1975) 104 | |
| 5 | P. Fayet | Spontaneously broken supersymmetric theories of weak, electromagnetic and strong interactions | PLB 69 (1977) 489 | |
| 6 | U. Ellwanger, C. Hugonie, and A. M. Teixeira | The next-to-minimal supersymmetric standard model | Phys. Rept. 496 (2010) 1 | 0910.1785 |
| 7 | M. Maniatis | The next-to-minimal supersymmetric extension of the standard model reviewed | Int. J. Mod. Phys. A 25 (2010) 3505 | 0906.0777 |
| 8 | T. D. Lee | A theory of spontaneous T violation | PRD 8 (1973) 1226 | |
| 9 | G. C. Branco et al. | Theory and phenomenology of two-Higgs-doublet models | Phys. Rept. 516 (2012) 1 | 1106.0034 |
| 10 | D. Curtin et al. | Exotic decays of the 125 GeV Higgs boson | PRD 90 (2014) 075004 | 1312.4992 |
| 11 | N. Arkani-Hamed, A. G. Cohen, E. Katz, and A. E. Nelson | The littlest Higgs | JHEP 07 (2002) 034 | hep-ph/0206021 |
| 12 | M. Schmaltz and D. Tucker-Smith | Little Higgs review | Ann. Rev. Nucl. Part. Sci. 55 (2005) 229 | hep-ph/0502182 |
| 13 | S. Baum, M. Carena, N. R. Shah, and C. E. M. Wagner | Higgs portals for thermal Dark Matter. EFT perspectives and the NMSSM | JHEP 04 (2018) 069 | 1712.09873 |
| 14 | T. Alanne, K. Kainulainen, K. Tuominen, and V. Vaskonen | Baryogenesis in the two doublet and inert singlet extension of the standard model | JCAP 08 (2016) 057 | 1607.03303 |
| 15 | J. E. Kim and H. P. Nilles | The mu Problem and the Strong CP Problem | PLB 138 (1984) 150 | |
| 16 | S. Ramos-Sanchez | The mu-problem, the NMSSM and string theory | Fortsch. Phys. 58 (2010) 748 | 1003.1307 |
| 17 | ATLAS Collaboration | A detailed map of Higgs boson interactions by the ATLAS experiment ten years after the discovery | Nature 607 (2022) 52 | 2207.00092 |
| 18 | CMS Collaboration | A portrait of the Higgs boson by the CMS experiment ten years after the discovery. | Nature 607 (2022) 60 | CMS-HIG-22-001 2207.00043 |
| 19 | ATLAS Collaboration | Search for new light gauge bosons in Higgs boson decays to four-lepton final states in $ pp $ collisions at $ \sqrt{s}= $ 8 TeV with the ATLAS detector at the LHC | PRD 92 (2015) 092001 | 1505.07645 |
| 20 | CMS Collaboration | Search for a Non-Standard-Model Higgs Boson Decaying to a Pair of New Light Bosons in Four-Muon Final States | PLB 726 (2013) 564 | CMS-EXO-12-012 1210.7619 |
| 21 | CMS Collaboration | A search for pair production of new light bosons decaying into muons | PLB 752 (2016) 146 | CMS-HIG-13-010 1506.00424 |
| 22 | CMS Collaboration | Search for light bosons in decays of the 125 GeV Higgs boson in proton-proton collisions at $ \sqrt{s}= $ 8 TeV | JHEP 10 (2017) 076 | CMS-HIG-16-015 1701.02032 |
| 23 | CMS Collaboration | Search for a very light NMSSM Higgs boson produced in decays of the 125 GeV scalar boson and decaying into $ \tau $ leptons in pp collisions at $ \sqrt{s}= $ 8 TeV | JHEP 01 (2016) 079 | CMS-HIG-14-019 1510.06534 |
| 24 | ATLAS Collaboration | Search for new phenomena in events with at least three photons collected in $ pp $ collisions at $ \sqrt{s} = $ 8 TeV with the ATLAS detector | EPJC 76 (2016) 210 | 1509.05051 |
| 25 | ATLAS Collaboration | Search for Higgs boson decays to beyond-the-standard-model light bosons in four-lepton events with the ATLAS detector at $ \sqrt{s}= $ 13 TeV | JHEP 06 (2018) 166 | 1802.03388 |
| 26 | CMS Collaboration | A search for pair production of new light bosons decaying into muons in proton-proton collisions at 13 TeV | PLB 796 (2019) 131 | CMS-HIG-18-003 1812.00380 |
| 27 | ATLAS Collaboration | Search for Higgs bosons decaying to $ aa $ in the $ \mu\mu\tau\tau $ final state in pp collisions at $ \sqrt{s} = $ 8 TeV with the ATLAS experiment | PRD 92 (2015) 052002 | 1505.01609 |
| 28 | CMS Collaboration | Search for an exotic decay of the Higgs boson to a pair of light pseudoscalars in the final state of two muons and two $ \tau $ leptons in proton-proton collisions at $ \sqrt{s}= $ 13 TeV | JHEP 11 (2018) 018 | CMS-HIG-17-029 1805.04865 |
| 29 | CMS Collaboration | Search for a light pseudoscalar Higgs boson in the boosted $ \mu\mu\tau\tau $ final state in proton-proton collisions at $ \sqrt{s}= $ 13 TeV | JHEP 08 (2020) 139 | CMS-HIG-18-024 2005.08694 |
| 30 | ATLAS Collaboration | Search for Higgs boson decays into a pair of light bosons in the $ bb\mu\mu $ final state in pp collision at $ \sqrt{s} = $ 13 TeV with the ATLAS detector | PLB 790 (2019) 1 | 1807.00539 |
| 31 | CMS Collaboration | Search for exotic decays of the Higgs boson to a pair of pseudoscalars in the $ \mu\mu $bb and $ \tau\tau $bb final states | EPJC 84 (2024) 493 | CMS-HIG-22-007 2402.13358 |
| 32 | ATLAS Collaboration | Search for Higgs boson decays into pairs of light (pseudo)scalar particles in the $ \gamma\gamma jj $ final state in pp collisions at $ \sqrt{s}= $ 13 TeV with the ATLAS detector | PLB 782 (2018) 750 | 1803.11145 |
| 33 | CMS Collaboration | Search for light pseudoscalar boson pairs produced from decays of the 125 GeV Higgs boson in final states with two muons and two nearby tracks in pp collisions at $ \sqrt{s}= $ 13 TeV | PLB 800 (2020) 135087 | CMS-HIG-18-006 1907.07235 |
| 34 | CMS Collaboration | Search for the decay of the Higgs boson to a pair of light pseudoscalar bosons in the final state with four bottom quarks in proton-proton collisions at $ \sqrt{\textrm{s}} = $ 13 TeV | JHEP 06 (2024) 097 | CMS-HIG-18-026 2403.10341 |
| 35 | CMS Collaboration | Search for the exotic decay of the Higgs boson into two light pseudoscalars with four photons in the final state in proton-proton collisions at $ \sqrt{s} = $ 13 TeV | JHEP 07 (2023) 148 | CMS-HIG-21-003 2208.01469 |
| 36 | CMS Collaboration | Search for exotic Higgs boson decays $ H \to \mathcal{A}\mathcal{A} \to 4\gamma $ with events containing two merged diphotons in proton-proton collisions at $ \sqrt{s} = $ 13 TeV | PRL 131 (2023) 101801 | CMS-HIG-21-016 2209.06197 |
| 37 | CMS Collaboration | The CMS experiment at the CERN LHC | JINST 3 (2008) S08004 | |
| 38 | CMS Collaboration | Development of the CMS detector for the CERN LHC Run 3 | JINST 19 (2024) P05064 | |
| 39 | CMS Collaboration | Performance of the CMS Level-1 trigger in proton-proton collisions at $ \sqrt{s} = $ 13 TeV | JINST 15 (2020) P10017 | CMS-TRG-17-001 2006.10165 |
| 40 | CMS Collaboration | The CMS trigger system | JINST 12 (2017) P01020 | CMS-TRG-12-001 1609.02366 |
| 41 | T. Sjöstrand et al. | An introduction to PYTHIA 8.2 | Comput. Phys. Commun. 191 (2015) 159 | 1410.3012 |
| 42 | J. Alwall et al. | The automated computation of tree-level and next-to-leading order differential cross sections, and their matching to parton shower simulations | JHEP 07 (2014) 079 | 1405.0301 |
| 43 | G. Bozzi, S. Catani, D. de Florian, and M. Grazzini | Transverse-momentum resummation and the spectrum of the Higgs boson at the LHC | NPB 737 (2006) 73 | hep-ph/0508068 |
| 44 | D. de Florian, G. Ferrera, M. Grazzini, and D. Tommasini | Transverse-momentum resummation: Higgs boson production at the Tevatron and the LHC | JHEP 11 (2011) 064 | 1109.2109 |
| 45 | NNPDF Collaboration | Parton distributions from high-precision collider data | EPJC 77 (2017) 663 | 1706.00428 |
| 46 | S. Alioli, P. Nason, C. Oleari, and E. Re | NLO Higgs boson production via gluon fusion matched with shower in POWHEG | JHEP 04 (2009) 002 | 0812.0578 |
| 47 | P. Nason | A New method for combining NLO QCD with shower Monte Carlo algorithms | JHEP 11 (2004) 040 | hep-ph/0409146 |
| 48 | S. Frixione, P. Nason, and C. Oleari | Matching NLO QCD computations with Parton Shower simulations: the POWHEG method | JHEP 11 (2007) 070 | 0709.2092 |
| 49 | CMS Collaboration | Extraction and validation of a new set of CMS PYTHIA8 tunes from underlying-event measurements | EPJC 80 (2020) 4 | CMS-GEN-17-001 1903.12179 |
| 50 | J. Alwall et al. | Comparative study of various algorithms for the merging of parton showers and matrix elements in hadronic collisions | EPJC 53 (2008) 473 | 0706.2569 |
| 51 | GEANT4 Collaboration | GEANT4--a simulation toolkit | NIM A 506 (2003) 250 | |
| 52 | J. Allison et al. | Geant4 developments and applications | IEEE Trans. Nucl. Sci. 53 (2006) 270 | |
| 53 | CMS Collaboration | Particle-flow reconstruction and global event description with the CMS detector | JINST 12 (2017) P10003 | CMS-PRF-14-001 1706.04965 |
| 54 | CMS Collaboration | Description and performance of track and primary-vertex reconstruction with the CMS tracker | JINST 9 (2014) P10009 | CMS-TRK-11-001 1405.6569 |
| 55 | CMS Collaboration | Technical proposal for the Phase-II upgrade of the Compact Muon Solenoid | CMS Technical Proposal CERN-LHCC-2015-010, CMS-TDR-15-02, 2015 CDS |
|
| 56 | CMS Collaboration | Performance of the CMS muon detector and muon reconstruction with proton-proton collisions at $ \sqrt{s}= $ 13 TeV | JINST 13 (2018) P06015 | CMS-MUO-16-001 1804.04528 |
| 57 | M. Cacciari, G. P. Salam, and G. Soyez | The anti-$ k_{\mathrm{T}} $ jet clustering algorithm | JHEP 04 (2008) 063 | 0802.1189 |
| 58 | M. Cacciari, G. P. Salam, and G. Soyez | FastJet user manual | EPJC 72 (2012) 1896 | 1111.6097 |
| 59 | CMS Collaboration | Jet energy scale and resolution in the CMS experiment in pp collisions at 8 TeV | JINST 12 (2017) P02014 | CMS-JME-13-004 1607.03663 |
| 60 | E. Bols et al. | Jet Flavour Classification Using DeepJet | JINST 15 (2020) P12012 | 2008.10519 |
| 61 | CMS Collaboration | Performance summary of AK4 jet b tagging with data from proton-proton collisions at 13 TeV with the CMS detector | CMS Detector Performance Summary CMS-DP-2023-005, 2023 CDS |
|
| 62 | CMS Collaboration | Identification of heavy-flavour jets with the CMS detector in pp collisions at 13 TeV | JINST 13 (2018) P05011 | CMS-BTV-16-002 1712.07158 |
| 63 | D. de Florian et al. | Handbook of LHC Higgs Cross Sections: 4. Deciphering the Nature of the Higgs Sector | LHC Higgs Cross Section Working Group Collaboration, 10, 2016 link |
|
| 64 | M. Lisanti and J. G. Wacker | Discovering the Higgs boson with low mass muon pairs | PRD 79 (2010) 115006 | 0903.1377 |
| 65 | R. J. Barlow and C. Beeston | Fitting using finite Monte Carlo samples | Comput. Phys. Commun. 77 (1993) 219 | |
| 66 | CMS Collaboration | Precision luminosity measurement in proton-proton collisions at $ \sqrt{s} = $ 13 TeV in 2015 and 2016 at CMS | EPJC 81 (2021) 800 | CMS-LUM-17-003 2104.01927 |
| 67 | CMS Collaboration | CMS luminosity measurement for the 2017 data-taking period at $ \sqrt{s} = $ 13 TeV | CMS Physics Analysis Summary, 2018 link |
CMS-PAS-LUM-17-004 |
| 68 | CMS Collaboration | CMS luminosity measurement for the 2018 data-taking period at $ \sqrt{s} = $ 13 TeV | CMS Physics Analysis Summary, 2019 link |
CMS-PAS-LUM-18-002 |
| 69 | CMS Collaboration | Measurement of the inclusive $ W $ and $ Z $ production cross sections in pp collisions at $ \sqrt{s}= $ 7 TeV | JHEP 10 (2011) 132 | CMS-EWK-10-005 1107.4789 |
| 70 | NNPDF Collaboration | Parton distributions for the LHC Run II | JHEP 04 (2015) 040 | 1410.8849 |
| 71 | J. Pumplin et al. | New generation of parton distributions with uncertainties from global QCD analysis | JHEP 07 (2002) 012 | hep-ph/0201195 |
| 72 | CMS Collaboration | The CMS statistical analysis and combination tool: Combine | Submitted to Comput. Softw. Big Sci, 2024 | CMS-CAT-23-001 2404.06614 |
| 73 | W. Verkerke and D. P. Kirkby | The RooFit toolkit for data modeling | eConf C0303241 MOLT007, 2003 | physics/0306116 |
| 74 | L. Moneta et al. | The RooStats Project | PoS ACAT 057, 2010 link |
1009.1003 |
| 75 | U. Haisch, J. F. Kamenik, A. Malinauskas, and M. Spira | Collider constraints on light pseudoscalars | JHEP 03 (2018) 178 | 1802.02156 |
| 76 | M. Baumgart and A. Katz | Implications of a new light scalar near the bottomonium regime | JHEP 08 (2012) 133 | 1204.6032 |
|
Compact Muon Solenoid LHC, CERN |
|
|
|
|
|
|