| CMS-PAS-HIG-25-004 | ||
| Constraints on the Higgs boson total decay width using signal-background interference in the diphoton final state with proton-proton collisions at $ \sqrt{s}= $ 13 TeV | ||
| CMS Collaboration | ||
| 2025-08-27 | ||
| Abstract: The standard model Higgs boson with a mass of 125 GeV is predicted to have a decay width $ \Gamma_{\mathrm{H}} $ of 4.1 MeV. Direct $ \Gamma_{\mathrm{H}} $ measurements using on-shell Higgs boson production are limited by the experimental resolution which is of the order of 1 GeV in the diphoton and four-lepton final states. This note presents, for the first time at the LHC, a constraint on $ \Gamma_{\mathrm{H}} $ from the diphoton invariant mass distribution in the on-shell Higgs boson decay, using the interference between the amplitudes of the $ gg \rightarrow H \rightarrow \gamma \gamma $ process and one of the continuum QCD $ gg\to \gamma\gamma $ process. This study was carried out using the proton-proton collision data at a center-of-mass energy of 13 TeV, collected by the CMS experiment during LHC Run 2 and corresponding to an integrated luminosity of 138 fb$ ^{\mathrm{-1}} $. The observed (expected) limit on the Higgs boson width is $ \Gamma_{\mathrm{H}} < $ 92 (138) MeV at the 95% confidence level. | ||
| Links: CDS record (PDF) ; CADI line (restricted) ; | ||
| Figures & Tables | Summary | Additional Figures | References | CMS Publications |
|---|
| Figures | |
|
png pdf |
Figure 1:
Representative Feynman diagrams for lowest-order interference between the Higgs boson resonance and the continuum diphoton production. The dashed vertical lines separate the resonant amplitudes (left) from the continuum ones (right). In order to make clear the correspondence between interfering particle states, the horizontal diagrams are inverted horizontally. |
|
png pdf |
Figure 1-a:
Representative Feynman diagrams for lowest-order interference between the Higgs boson resonance and the continuum diphoton production. The dashed vertical lines separate the resonant amplitudes (left) from the continuum ones (right). In order to make clear the correspondence between interfering particle states, the horizontal diagrams are inverted horizontally. |
|
png pdf |
Figure 1-b:
Representative Feynman diagrams for lowest-order interference between the Higgs boson resonance and the continuum diphoton production. The dashed vertical lines separate the resonant amplitudes (left) from the continuum ones (right). In order to make clear the correspondence between interfering particle states, the horizontal diagrams are inverted horizontally. |
|
png pdf |
Figure 2:
Distribution of $ m_{\gamma\gamma} $ for the interference contribution in Eq. 1, without experimental resolution effects (left), and including experimental resolution (right). The experimental resolution is implemented through CMS Run 2 full simulation, for samples with $ M_{\mathrm{H}} = $ 125 GeV and $ \Gamma_\mathrm{H} = \Gamma_{\mathrm{H}}^{SM} $. |
|
png pdf |
Figure 2-a:
Distribution of $ m_{\gamma\gamma} $ for the interference contribution in Eq. 1, without experimental resolution effects (left), and including experimental resolution (right). The experimental resolution is implemented through CMS Run 2 full simulation, for samples with $ M_{\mathrm{H}} = $ 125 GeV and $ \Gamma_\mathrm{H} = \Gamma_{\mathrm{H}}^{SM} $. |
|
png pdf |
Figure 2-b:
Distribution of $ m_{\gamma\gamma} $ for the interference contribution in Eq. 1, without experimental resolution effects (left), and including experimental resolution (right). The experimental resolution is implemented through CMS Run 2 full simulation, for samples with $ M_{\mathrm{H}} = $ 125 GeV and $ \Gamma_\mathrm{H} = \Gamma_{\mathrm{H}}^{SM} $. |
|
png pdf |
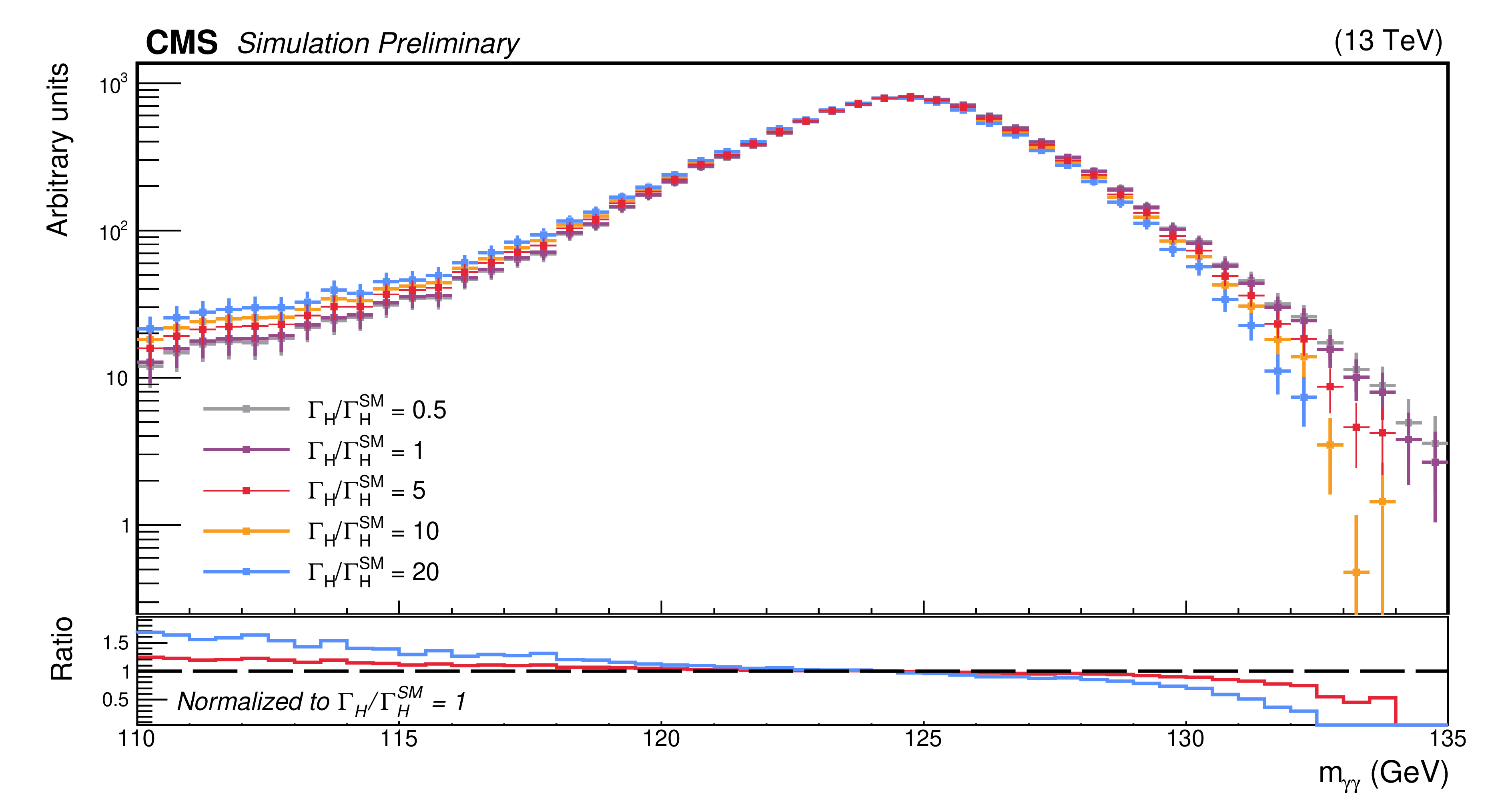
Figure 3:
Sum between ggH signal and interference mass spectra for different $ \Gamma_\mathrm{H} $ values and $ M_{\mathrm{H}} = $ 125 GeV, considering resolution effects using full CMS detector simulation. |
|
png pdf |
Figure 4:
Diphoton invariant mass spectrum for simulated $ S_{ggH} $ and $ S_{ggH} + I $ samples at $ M_{\mathrm{H}} = $ 125 GeV and $ \Gamma_{\mathrm{H}} = \Gamma_{\mathrm{H}}^{SM} $ in an example category (data points), together with the fitted signal models (lines). |
|
png pdf |
Figure 5:
Signal model probablity density functions for the nominal signal model, together with the $ \Gamma_{\mathrm{H}}/\Gamma_{\mathrm{H}}^{SM}=$ 0, 25 cases, and with the envelope at 68% CL of all experimental systematics affecting the signal shape (grey shade). The signal model in figure is the weighted sum of all signal models for process and category. Each category has a weight corresponding to S/(S+B), where S and B are, respectively, the expected signal and background yields around the Higgs boson peak. The value $ \Gamma_{\mathrm{H}}/\Gamma_{\mathrm{H}}^{SM}= $ 25 was chosen because it is close to the expected limit. |
|
png pdf |
Figure 6:
The best fit signal-plus-background model is shown overlaid on the S/(S+B)-weighted distribution of the data points (black) from the fit in the left panel. The right panel shows an enlarged view aroung the Higgs boson peak, together with signal-plus-background predictions with all parameters at their best fit values, except $ \lambda $, evaluated at $ \lambda=$ 0, 1, 5. S and B represent the fitted number of Higgs boson candidates and background events in the mass peak region. The green and yellow bands correspond to the one and two standard deviation uncertainties in the background component of the fit. The solid red line indicates the total best fit signal-plus-background prediction, while the dashed red line represents the background-only contribution. The lower panel displays the residuals obtained by subtracting the background component from the data. The fit is performed in 100-180 GeV range. |
|
png pdf |
Figure 6-a:
The best fit signal-plus-background model is shown overlaid on the S/(S+B)-weighted distribution of the data points (black) from the fit in the left panel. The right panel shows an enlarged view aroung the Higgs boson peak, together with signal-plus-background predictions with all parameters at their best fit values, except $ \lambda $, evaluated at $ \lambda=$ 0, 1, 5. S and B represent the fitted number of Higgs boson candidates and background events in the mass peak region. The green and yellow bands correspond to the one and two standard deviation uncertainties in the background component of the fit. The solid red line indicates the total best fit signal-plus-background prediction, while the dashed red line represents the background-only contribution. The lower panel displays the residuals obtained by subtracting the background component from the data. The fit is performed in 100-180 GeV range. |
|
png pdf |
Figure 6-b:
The best fit signal-plus-background model is shown overlaid on the S/(S+B)-weighted distribution of the data points (black) from the fit in the left panel. The right panel shows an enlarged view aroung the Higgs boson peak, together with signal-plus-background predictions with all parameters at their best fit values, except $ \lambda $, evaluated at $ \lambda=$ 0, 1, 5. S and B represent the fitted number of Higgs boson candidates and background events in the mass peak region. The green and yellow bands correspond to the one and two standard deviation uncertainties in the background component of the fit. The solid red line indicates the total best fit signal-plus-background prediction, while the dashed red line represents the background-only contribution. The lower panel displays the residuals obtained by subtracting the background component from the data. The fit is performed in 100-180 GeV range. |
|
png pdf |
Figure 7:
Scan obtained with the Feldman-Cousins approach (with 1000 toys for each point), in terms of 1-CL vs. $ \Gamma_\mathrm{H}/\Gamma_\mathrm{H}^{SM} $, in the median expected scenario (red line), observed (black line), together with 1$ \sigma $ and 2$ \sigma $ bands. |
| Tables | |
|
png pdf |
Table 1:
Criteria for the loose VBF selection. The leading (sub-leading) photons are indicated as $ \gamma_1, \gamma_2 $, while the leading (sub-leading) jets are indicated as $ j_1, j_2 $. |
|
png pdf |
Table 2:
Boundaries in $ p_{T}^{\gamma\gamma} $, expected event yields for all years, mass resolution, and expected signal fraction for each category averaged over the different years. The category label (hi, med) defines the type of diphoton BDT region selected, i.e., respectively, high and medium. The mass resolution $ \sigma_{\text{eff}} $ is defined as the width of the region, centered on the peak, that contains 68% of the signal distribution, while the expected signal fraction S/(S+B) is the ratio between signal and total events in the same region defined for the mass resolution. Note that the total events are not the sum of the events from the four processes, because ggH and (ggH+I) are combined depending on the values of $ \mu $ and $ \Gamma_\mathrm{H} $. Following Eq. 8, in the case of $ \mu=$ 1, $\Gamma_\mathrm{H} = $ 0, only the pure ggH process would be observed, together with VBF and VH, while in the case of $ \mu=$ 1, $\Gamma_{\mathrm{H}} = \Gamma_{\mathrm{H}}^{SM} $, only (ggH+I), VBF and VH would be observed. |
| Summary |
| In this note, a new constraint on the Higgs boson decay width $ \Gamma_\mathrm{H} $ in the diphoton channel is reported. For the first time at LHC, the measurement exploits the distortions in the mass spectrum induced by the interference between gluon-gluon fusion Higgs boson production ($ gg \to H \to \gamma \gamma $) signal and continuum $ gg \to \gamma \gamma $ background. The measurement is performed using proton-proton (pp) $ \sqrt{s} = $ 13 TeV collision data collected by the CMS detector during the LHC Run 2. The observed (expected) result is: $ \Gamma_\mathrm{H} < $ 92 (138) MeV at 95% CL, which largely improves previous limits using measurements of on-shell Higgs boson final states, despite it remains worse than the constrains from off-shell and on-shell comparison. |
| Additional Figures | |
|
png pdf |
Additional Figure 1:
Diphoton invariant mass spectrum for simulated $ S_{ggH} + I $ (gluon-gluon fusion plus interference) samples at $ M_H = $ 125 GeV and $ \Gamma_H = \Gamma_H^{SM} $ in an example category (light blue data points), together with the fitted signal model (light blue line). The extrapolation of both MC samples and signal models to $ \Gamma_H = 10 \Gamma_{H}^{SM} $ and $ \Gamma_H = 25 \Gamma_{H}^{SM} $ is shown, respectively, in yellow and red. |
|
png pdf |
Additional Figure 2:
Diphoton invariant mass spectrum inclusive in all categories of simulated samples and parametric signal models for the four different processes: $ S_{ggH} $ (GG2H), $ S_{ggH} +I $ (GG2HPLUSINT), VBF and VH. The dashed lines represent the contribution from the single data-taking eras. The 2016 data is split in two separate eras, 2016preVFP and 2016postVFP. Theeras are treated separately due to the substantial change in detector conditions between them. In the 2016preVFP era, the strip tracker had a lower signal-to-noise ratio and fewer hits on tracks due to saturation effects in the readout chip under high-luminosity conditions. This was mitigated in the 2016postVFP era by changing the feedback preamplifier bias voltage (VFP). |
|
png pdf |
Additional Figure 2-a:
Diphoton invariant mass spectrum inclusive in all categories of simulated samples and parametric signal models for the four different processes: $ S_{ggH} $ (GG2H), $ S_{ggH} +I $ (GG2HPLUSINT), VBF and VH. The dashed lines represent the contribution from the single data-taking eras. The 2016 data is split in two separate eras, 2016preVFP and 2016postVFP. Theeras are treated separately due to the substantial change in detector conditions between them. In the 2016preVFP era, the strip tracker had a lower signal-to-noise ratio and fewer hits on tracks due to saturation effects in the readout chip under high-luminosity conditions. This was mitigated in the 2016postVFP era by changing the feedback preamplifier bias voltage (VFP). |
|
png pdf |
Additional Figure 2-b:
Diphoton invariant mass spectrum inclusive in all categories of simulated samples and parametric signal models for the four different processes: $ S_{ggH} $ (GG2H), $ S_{ggH} +I $ (GG2HPLUSINT), VBF and VH. The dashed lines represent the contribution from the single data-taking eras. The 2016 data is split in two separate eras, 2016preVFP and 2016postVFP. Theeras are treated separately due to the substantial change in detector conditions between them. In the 2016preVFP era, the strip tracker had a lower signal-to-noise ratio and fewer hits on tracks due to saturation effects in the readout chip under high-luminosity conditions. This was mitigated in the 2016postVFP era by changing the feedback preamplifier bias voltage (VFP). |
|
png pdf |
Additional Figure 2-c:
Diphoton invariant mass spectrum inclusive in all categories of simulated samples and parametric signal models for the four different processes: $ S_{ggH} $ (GG2H), $ S_{ggH} +I $ (GG2HPLUSINT), VBF and VH. The dashed lines represent the contribution from the single data-taking eras. The 2016 data is split in two separate eras, 2016preVFP and 2016postVFP. Theeras are treated separately due to the substantial change in detector conditions between them. In the 2016preVFP era, the strip tracker had a lower signal-to-noise ratio and fewer hits on tracks due to saturation effects in the readout chip under high-luminosity conditions. This was mitigated in the 2016postVFP era by changing the feedback preamplifier bias voltage (VFP). |
|
png pdf |
Additional Figure 2-d:
Diphoton invariant mass spectrum inclusive in all categories of simulated samples and parametric signal models for the four different processes: $ S_{ggH} $ (GG2H), $ S_{ggH} +I $ (GG2HPLUSINT), VBF and VH. The dashed lines represent the contribution from the single data-taking eras. The 2016 data is split in two separate eras, 2016preVFP and 2016postVFP. Theeras are treated separately due to the substantial change in detector conditions between them. In the 2016preVFP era, the strip tracker had a lower signal-to-noise ratio and fewer hits on tracks due to saturation effects in the readout chip under high-luminosity conditions. This was mitigated in the 2016postVFP era by changing the feedback preamplifier bias voltage (VFP). |
| References | ||||
| 1 | CMS Collaboration | Observation of a new boson at a mass of 125 GeV with the CMS experiment at the LHC | Physics Letters B 716 (2012) 30 | CMS-HIG-12-028 1207.7235 |
| 2 | A. Djouadi, J. Kalinowski, and M. Spira | Hdecay: a program for higgs boson decays in the standard model and its supersymmetric extension | Computer Physics Communications 108 (1998) 56 | |
| 3 | CMS Collaboration | Measurement of the Higgs boson mass and width using the four leptons final state | technical report, CERN, Geneva, 2023 CDS |
|
| 4 | ATLAS Collaboration | Measurement of off-shell Higgs boson production in the $ H^*\rightarrow ZZ\rightarrow 4\ell $ decay channel using a neural simulation-based inference technique in 13 TeV pp collisions with the ATLAS detector | Reports on Progress in Physics 88 (2025) 057803 | 2412.01548 |
| 5 | F. Caola and K. Melnikov | Constraining the Higgs boson width with $ ZZ $ production at the LHC | PRD 88 (2013) 054024 | 1307.4935 |
| 6 | ATLAS Collaboration | Constraining off-shell Higgs boson production and the Higgs boson total width using $ WW\to \ell\nu\ell\nu $ final states with the ATLAS detector | 2504.07710 | |
| 7 | ATLAS Collaboration | Constraint on the total width of the Higgs boson from Higgs boson and four-top-quark measurements in pp collisions at $ \sqrt{s} = $ 13 Tev with the ATLAS detector | Physics Letters B 861 (2025) 139277 | 2407.10631 |
| 8 | L. J. Dixon and Y. Li | Bounding the Higgs boson width through interferometry | Physical Review Letters 111 (2013) | 1305.3854 |
| 9 | CMS Collaboration | Combined measurements and interpretations of Higgs boson production and decay at sqrt(s)=13 TeV | technical report, CERN, Geneva, 2025 CDS |
|
| 10 | CMS Collaboration | The CMS experiment at the CERN LHC | JINST 3 (2008) S08004 | |
| 11 | CMS Collaboration | Development of the CMS detector for the CERN LHC Run 3 | JINST 19 (2024) P05064 | CMS-PRF-21-001 2309.05466 |
| 12 | CMS Collaboration | Performance of the CMS Level-1 trigger in proton-proton collisions at $ \sqrt{s}= $ 13 TeV | JINST 15 (2020) P10017 | CMS-TRG-17-001 2006.10165 |
| 13 | CMS Collaboration | The CMS trigger system | JINST 12 (2017) P01020 | CMS-TRG-12-001 1609.02366 |
| 14 | CMS Collaboration | Performance of the CMS high-level trigger during LHC run 2 | JINST 19 (2024) P11021 | CMS-TRG-19-001 2410.17038 |
| 15 | CMS Collaboration | Electron and photon reconstruction and identification with the CMS experiment at the CERN LHC | JINST 16 (2021) P05014 | CMS-EGM-17-001 2012.06888 |
| 16 | CMS Collaboration | Performance of the CMS muon detector and muon reconstruction with proton-proton collisions at $ \sqrt{s}= $ 13 TeV | JINST 13 (2018) P06015 | CMS-MUO-16-001 1804.04528 |
| 17 | CMS Collaboration | Performance of Photon Reconstruction and Identification with the CMS Detector in Proton-Proton Collisions at sqrt(s) = 8 TeV | JINST 10 (2015) P08010 | CMS-EGM-14-001 1502.02702 |
| 18 | CMS Collaboration | Precision luminosity measurement in proton-proton collisions at $ \sqrt{s}= $ 13 TeV in 2015 and 2016 at CMS | EPJC 81 (2021) 800 | CMS-LUM-17-003 2104.01927 |
| 19 | CMS Collaboration | CMS luminosity measurement for the 2017 data-taking period at $ \sqrt{s}= $ 13 TeV | CMS Physics Analysis Summary, 2018 link |
CMS-PAS-LUM-17-004 |
| 20 | CMS Collaboration | CMS luminosity measurement for the 2018 data-taking period at $ \sqrt{s}= $ 13 TeV | CMS Physics Analysis Summary, 2019 link |
CMS-PAS-LUM-18-002 |
| 21 | CMS Collaboration | Measurements of Higgs boson production cross sections and couplings in the diphoton decay channel at $ \sqrt{s} = $ 13 Tev | Journal of High Energy Physics 2021 (2021) 27 | CMS-HIG-19-015 2103.06956 |
| 22 | J. Alwall et al. | The automated computation of tree-level and next-to-leading order differential cross sections, and their matching to parton shower simulations | Journal of High Energy Physics 2014 (2014) | 1405.0301 |
| 23 | T. Sjostrand, S. Mrenna, and P. Skands | A brief introduction to pythia 8.1 | Computer Physics Communications 178 (2008) 852 | 0710.3820 |
| 24 | CMS Collaboration | Extraction and validation of a new set of CMS PYTHIA8 tunes from underlying-event measurements | The European Physical Journal C 80 (2020) | CMS-GEN-17-001 1903.12179 |
| 25 | R. D. Ball et al. | Parton distributions from high-precision collider data: NNPDF Collaboration | The European Physical Journal C 77 (2017) | 1706.00428 |
| 26 | GEANT4 Collaboration | Geant4 - a simulation toolkit | Nuclear Instruments and Methods in Physics Research Section A: Accelerators, Spectrometers, 2003 Detectors and Associated Equipment 506 (2003) 250 |
|
| 27 | CMS Collaboration | Particle-Flow Event Reconstruction in CMS and Performance for Jets, Taus, and MET | Technical Report, CERN, 2009 CMS-PAS-PFT-09-001 |
|
| 28 | M. Cacciari, G. P. Salam, and G. Soyez | The anti-$ k_{\mathrm{T}} $ jet clustering algorithm | JHEP 04 (2008) 063 | 0802.1189 |
| 29 | M. Cacciari, G. P. Salam, and G. Soyez | FastJet user manual | EPJC 72 (2012) 1896 | 1111.6097 |
| 30 | CMS Collaboration | Jet energy scale and resolution in the CMS experiment in pp collisions at 8 TeV | JINST 12 (2017) P02014 | CMS-JME-13-004 1607.03663 |
| 31 | CMS Collaboration | Photon Identification using Boosted Decision Trees in CMS | Technical Report, CERN, 2010 CMS-PAS-EGM-10-006 |
|
| 32 | CMS Collaboration | Measurement of the Higgs boson inclusive and differential fiducial production cross sections in the diphoton decay channel with pp collisions at $ \sqrt{s} = $ 13 TeV | JHEP 07 (2023) 091 | CMS-HIG-19-016 2208.12279 |
| 33 | CERN | CERN Yellow Reports: Monographs, Vol 2 (2017): Handbook of LHC Higgs cross sections: 4. Deciphering the nature of the Higgs sector | link | |
| 34 | R. Barlow | Extended maximum likelihood | Nuclear Instruments and Methods in Physics Research Section A: Accelerators, Spectrometers, 1990 Detectors and Associated Equipment 297 (1990) 496 |
|
| 35 | M. Oreglia et al. | Study of the reaction $ {\psi}^{'}\rightarrow\gamma\gamma{J}/{\psi} $ | PRD 25 (1982) 2259 | |
| 36 | CMS Collaboration | A measurement of the Higgs boson mass in the diphoton decay channel | Physics Letters B 805 (2020) 135425 | CMS-HIG-19-004 2002.06398 |
| 37 | R. A. Fisher | On the interpretation of $ \chi^2 $ from contingency tables, and the calculation of p | Journal of the Royal Statistical Society 85 (1922) 87 | |
| 38 | P. Dauncey, M. Kenzie, N. Wardle, and G. Davies | Handling uncertainties in background shapes: the discrete profiling method | Journal of Instrumentation 10 (2015) P04015 | 1408.6865 |
| 39 | F. L. Gewers et al. | Principal Component Analysis: A natural approach to data exploration | ACM Comput. Surv. 54 (2021) | |
| 40 | CMS Collaboration | The CMS Statistical Analysis and Combination Tool: Combine | Computing and Software for Big Science 8 (2024) 19 | |
|
Compact Muon Solenoid LHC, CERN |
|
|
|
|
|
|