| CMS-PAS-MLG-23-005 | ||
| Development of systematic-aware neural network trainings for binned-likelihood-analyses at the LHC | ||
| CMS Collaboration | ||
| 25 July 2024 | ||
| Abstract: We demonstrate a neural network training, capable of accounting for the effects of systematic variations of the utilized data model in the training process and describe its extension towards neural network multiclass classification. Trainings for binary and multiclass classification with seven output classes are performed, based on a comprehensive data model with 86 nontrivial shape-altering systematic variations, as used for a previous measurement. The neural network output functions are used to infer the signal strengths for inclusive Higgs boson production, as well as for Higgs boson production via gluon-fusion ($ r_{\mathrm{ggH}} $) and vector boson fusion ($ r_{\mathrm{qqH}} $). With respect to a conventional training, based on cross-entropy, we observe improvements of 12 and 16%, for the sensitivity in $ r_{\mathrm{ggH}} $ and $ r_{\mathrm{qqH}} $, respectively. | ||
|
Links:
CDS record (PDF) ;
CADI line (restricted) ;
These preliminary results are superseded in this paper, Submitted to CSBS. The superseded preliminary plots can be found here. |
||
| Figures | |
|
png pdf |
Figure 1:
Flow chart of a (upper part) $ \mathrm{CENNT} $ and (lower part) $ \mathrm{SANNT} $. In the figure $ D_{i} $ denotes the dataset, $ n $ ($ d $) the number of events (observables) in the initial dataset $ D_{X} $; $ l $ the number of classes after event classification; and $ h $ the number of histogram bins to enter the statistical inference of the POIs. The function symbol $ \mathbb{P} $ represents the multinomial distribution, the symbol $ \mathcal{L} $ has been defined in Eq. 1. |
|
png pdf |
Figure 1-a:
Flow chart of a (upper part) $ \mathrm{CENNT} $ and (lower part) $ \mathrm{SANNT} $. In the figure $ D_{i} $ denotes the dataset, $ n $ ($ d $) the number of events (observables) in the initial dataset $ D_{X} $; $ l $ the number of classes after event classification; and $ h $ the number of histogram bins to enter the statistical inference of the POIs. The function symbol $ \mathbb{P} $ represents the multinomial distribution, the symbol $ \mathcal{L} $ has been defined in Eq. 1. |
|
png pdf |
Figure 1-b:
Flow chart of a (upper part) $ \mathrm{CENNT} $ and (lower part) $ \mathrm{SANNT} $. In the figure $ D_{i} $ denotes the dataset, $ n $ ($ d $) the number of events (observables) in the initial dataset $ D_{X} $; $ l $ the number of classes after event classification; and $ h $ the number of histogram bins to enter the statistical inference of the POIs. The function symbol $ \mathbb{P} $ represents the multinomial distribution, the symbol $ \mathcal{L} $ has been defined in Eq. 1. |
|
png pdf |
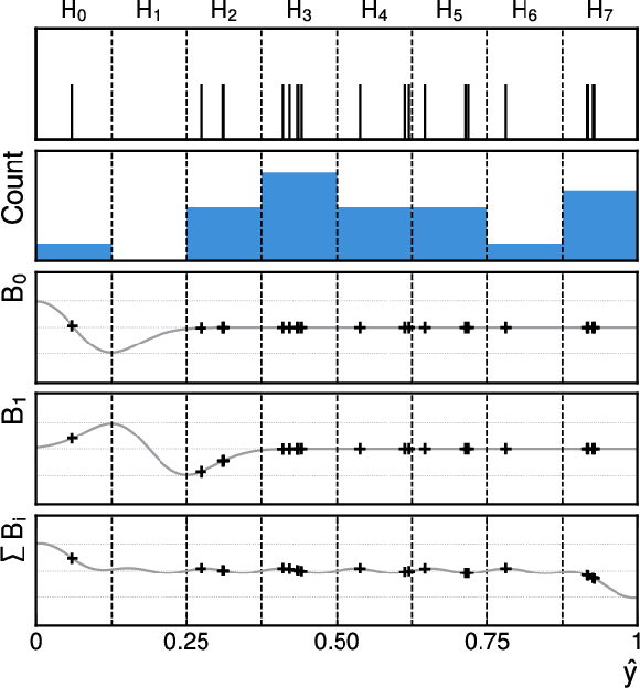
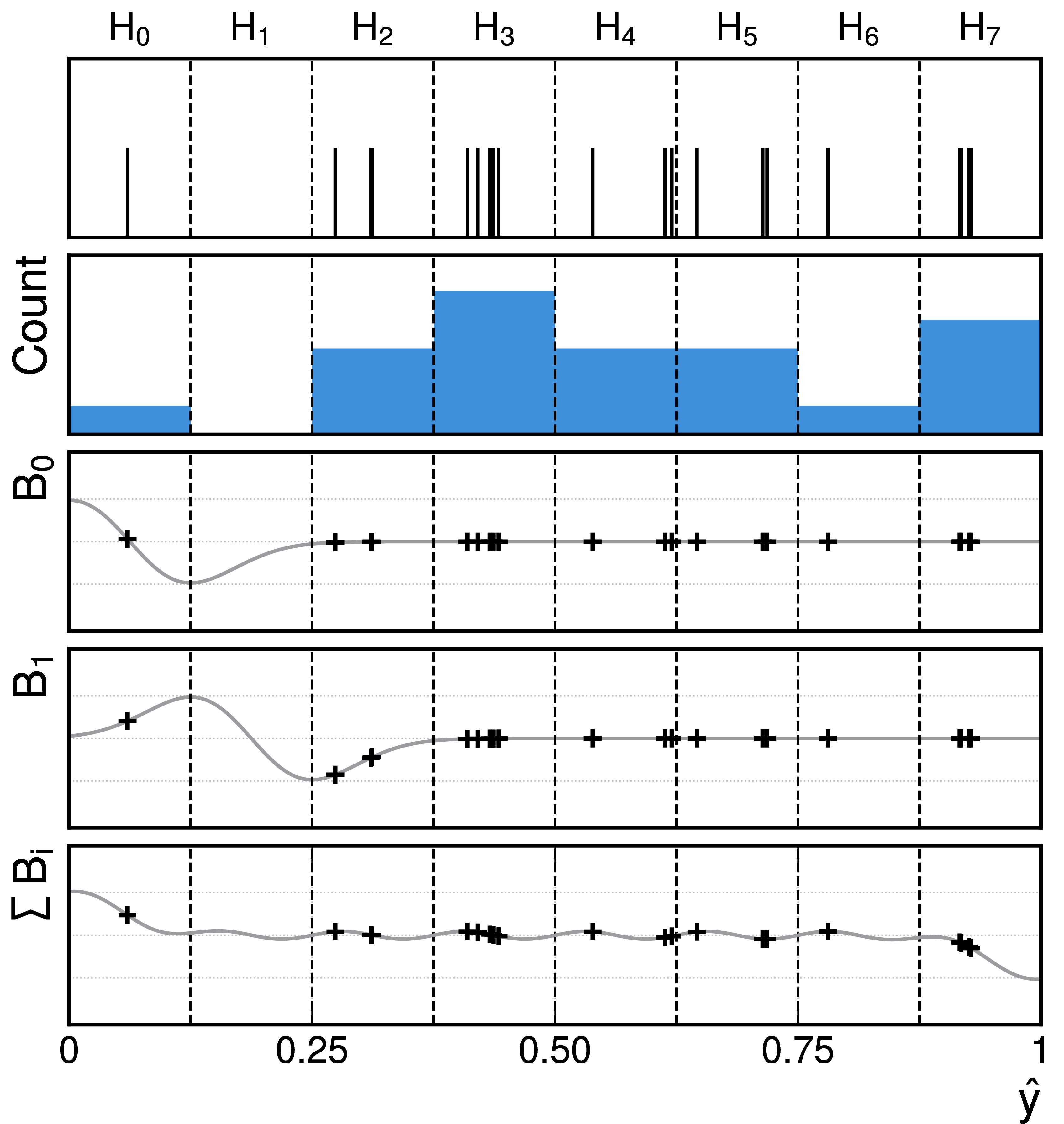
Figure 2:
Custom functions $ \mathcal{B}_{i} $ for the backward pass of the backpropagation algorithm, as used (left) in Ref. [5] and (right) in this paper. In the first row of each sub-figure the same 20 random samples of a simple setup of pseudo-experiments, as described in Section 3.2 are shown. In the second row the resulting histogram $ H $, in the third and fourth rows the functions $ B_{0} $ and$ B_{1} $ for the individual bins $ H_{0} $ and $ H_{1} $, and in the last row the collective effect of $ \sum\mathcal{B}_{i} $ are shown. |
|
png pdf |
Figure 2-a:
Custom functions $ \mathcal{B}_{i} $ for the backward pass of the backpropagation algorithm, as used (left) in Ref. [5] and (right) in this paper. In the first row of each sub-figure the same 20 random samples of a simple setup of pseudo-experiments, as described in Section 3.2 are shown. In the second row the resulting histogram $ H $, in the third and fourth rows the functions $ B_{0} $ and$ B_{1} $ for the individual bins $ H_{0} $ and $ H_{1} $, and in the last row the collective effect of $ \sum\mathcal{B}_{i} $ are shown. |
|
png pdf |
Figure 2-b:
Custom functions $ \mathcal{B}_{i} $ for the backward pass of the backpropagation algorithm, as used (left) in Ref. [5] and (right) in this paper. In the first row of each sub-figure the same 20 random samples of a simple setup of pseudo-experiments, as described in Section 3.2 are shown. In the second row the resulting histogram $ H $, in the third and fourth rows the functions $ B_{0} $ and$ B_{1} $ for the individual bins $ H_{0} $ and $ H_{1} $, and in the last row the collective effect of $ \sum\mathcal{B}_{i} $ are shown. |
|
png pdf |
Figure 3:
Evolution of the loss functions CE, $ \Delta r_{s}^{\mathrm{stat.}} $ and $ \Delta r_{s} $ as used (left) in Ref. [5] and (right) for this paper. In the upper panels the evolution of $ \hat{y} $ for randomly selected 50 (blue) signal and 50 (orange) background samples during training is shown. The gray shaded area indicates the pretraining. In the second and third panels from above the evolution of CE and $ \Delta r_{s}^{\mathrm{stat.}} $ is shown. In the lowest panels the evolution of $ L_{\mathrm{SANNT}}=\Delta r_{s} $ is shown. The evaluation on the training (validation) dataset is indicated in blue (orange). The evaluation of the correspondingly inactive loss function, during or after pretraining, evaluated on the validation dataset, is indicated by the dashed orange curves. |
|
png pdf |
Figure 3-a:
Evolution of the loss functions CE, $ \Delta r_{s}^{\mathrm{stat.}} $ and $ \Delta r_{s} $ as used (left) in Ref. [5] and (right) for this paper. In the upper panels the evolution of $ \hat{y} $ for randomly selected 50 (blue) signal and 50 (orange) background samples during training is shown. The gray shaded area indicates the pretraining. In the second and third panels from above the evolution of CE and $ \Delta r_{s}^{\mathrm{stat.}} $ is shown. In the lowest panels the evolution of $ L_{\mathrm{SANNT}}=\Delta r_{s} $ is shown. The evaluation on the training (validation) dataset is indicated in blue (orange). The evaluation of the correspondingly inactive loss function, during or after pretraining, evaluated on the validation dataset, is indicated by the dashed orange curves. |
|
png pdf |
Figure 3-b:
Evolution of the loss functions CE, $ \Delta r_{s}^{\mathrm{stat.}} $ and $ \Delta r_{s} $ as used (left) in Ref. [5] and (right) for this paper. In the upper panels the evolution of $ \hat{y} $ for randomly selected 50 (blue) signal and 50 (orange) background samples during training is shown. The gray shaded area indicates the pretraining. In the second and third panels from above the evolution of CE and $ \Delta r_{s}^{\mathrm{stat.}} $ is shown. In the lowest panels the evolution of $ L_{\mathrm{SANNT}}=\Delta r_{s} $ is shown. The evaluation on the training (validation) dataset is indicated in blue (orange). The evaluation of the correspondingly inactive loss function, during or after pretraining, evaluated on the validation dataset, is indicated by the dashed orange curves. |
|
png pdf |
Figure 4:
Expected distributions of $ \hat{y}(\,\cdot\,) $ for a binary classification task separating $ S $ from $ B $, for the (left) $ \mathrm{CENNT} $ and (right) $ \mathrm{SANNT} $, prior to any fit to $ D_{H}^{\mathcal{A}} $. The individual distributions for $ S $ and $ B $ are shown by the non-stacked open blue and filled orange histogram, respectively. In the lower panels of the figures the expected values of $ S/B+1$ are shown. The gray bands correspond to the combined statistical and systematic uncertainty in $ B $. |
|
png pdf |
Figure 4-a:
Expected distributions of $ \hat{y}(\,\cdot\,) $ for a binary classification task separating $ S $ from $ B $, for the (left) $ \mathrm{CENNT} $ and (right) $ \mathrm{SANNT} $, prior to any fit to $ D_{H}^{\mathcal{A}} $. The individual distributions for $ S $ and $ B $ are shown by the non-stacked open blue and filled orange histogram, respectively. In the lower panels of the figures the expected values of $ S/B+1$ are shown. The gray bands correspond to the combined statistical and systematic uncertainty in $ B $. |
|
png pdf |
Figure 4-b:
Expected distributions of $ \hat{y}(\,\cdot\,) $ for a binary classification task separating $ S $ from $ B $, for the (left) $ \mathrm{CENNT} $ and (right) $ \mathrm{SANNT} $, prior to any fit to $ D_{H}^{\mathcal{A}} $. The individual distributions for $ S $ and $ B $ are shown by the non-stacked open blue and filled orange histogram, respectively. In the lower panels of the figures the expected values of $ S/B+1$ are shown. The gray bands correspond to the combined statistical and systematic uncertainty in $ B $. |
|
png pdf |
Figure 5:
The 20 nuisance parameters $ \{\theta_{j}\} $ with the largest impacts on $ r_{s} $. The gray lines refer to the $ \mathrm{CENNT} $ and the colored bars to the $ \mathrm{SANNT} $. The impacts can be read off from the $ x $-axis. Labels for each $ \theta_{j} $ decreasing in magnitude when moving from top to bottom of the figure are shown on the $ y $-axis. The association of each $ \theta_{j} $ label with the systematic variation it refers to, is summarized in Table 1. A more detailed discussion is given in the text. |
|
png pdf |
Figure 6:
Negative log of the profile likelihood $ -2\Delta\log\mathcal{L} $ as a function of $ r_{s} $, taking into account (red) all and (blue) only the statistical uncertainties in $ \Delta r_{s} $. The results as obtained from $ \mathrm{CENNT} $ are indicated by the dashed lines, the median expected result of an ensemble of 100 repetitions of the $ \mathrm{SANNT} $ varying random initializations are indicated by the continuous lines. The red and blue shaded bands surrounding the median expectations indicate 68% central intervals of these ensembles. In the lower panels the underlying distributions to these central intervals are shown. |
|
png pdf |
Figure 7:
Expected distributions of $ \hat{y}_{l}(\,\cdot\,) $ for multiclass classification, based on seven event classes, as used for a differential STXS stage-0 cross section measurement of H production in Ref. [1], prior to any fit to $ D_{H}^{\mathcal{A}} $. In the upper (lower) part of the figure the results obtained after $ \mathrm{CENNT} $ ($ \mathrm{SANNT} $) are shown. The background processes of $ \Omega_{X} $ are indicated by stacked, differently colored, filled histograms. The expected $ \mathrm{g}\mathrm{g}\mathrm{H} $ and $ \mathrm{q}\mathrm{q}\mathrm{H} $ contributions are indicated by the non-stacked, cyan- and red-colored, open histograms. In the lower panels of the figure the expected values of $ S/B+ $ 1 are shown. The gray bands correspond to the combined statistical and systematic uncertainty in the background model. |
|
png pdf |
Figure 7-a:
Expected distributions of $ \hat{y}_{l}(\,\cdot\,) $ for multiclass classification, based on seven event classes, as used for a differential STXS stage-0 cross section measurement of H production in Ref. [1], prior to any fit to $ D_{H}^{\mathcal{A}} $. In the upper (lower) part of the figure the results obtained after $ \mathrm{CENNT} $ ($ \mathrm{SANNT} $) are shown. The background processes of $ \Omega_{X} $ are indicated by stacked, differently colored, filled histograms. The expected $ \mathrm{g}\mathrm{g}\mathrm{H} $ and $ \mathrm{q}\mathrm{q}\mathrm{H} $ contributions are indicated by the non-stacked, cyan- and red-colored, open histograms. In the lower panels of the figure the expected values of $ S/B+ $ 1 are shown. The gray bands correspond to the combined statistical and systematic uncertainty in the background model. |
|
png pdf |
Figure 7-b:
Expected distributions of $ \hat{y}_{l}(\,\cdot\,) $ for multiclass classification, based on seven event classes, as used for a differential STXS stage-0 cross section measurement of H production in Ref. [1], prior to any fit to $ D_{H}^{\mathcal{A}} $. In the upper (lower) part of the figure the results obtained after $ \mathrm{CENNT} $ ($ \mathrm{SANNT} $) are shown. The background processes of $ \Omega_{X} $ are indicated by stacked, differently colored, filled histograms. The expected $ \mathrm{g}\mathrm{g}\mathrm{H} $ and $ \mathrm{q}\mathrm{q}\mathrm{H} $ contributions are indicated by the non-stacked, cyan- and red-colored, open histograms. In the lower panels of the figure the expected values of $ S/B+ $ 1 are shown. The gray bands correspond to the combined statistical and systematic uncertainty in the background model. |
|
png pdf |
Figure 8:
Negative log of the profile likelihood $ -2\Delta\log\mathcal{L} $ as a function of $ r_{s} $, for a differential STXS stage-0 cross section measurement of H production in the $ \mathrm{H}\to\tau\tau $ decay channel, taking (red) all and (blue) only the statistical uncertainties in $ \Delta r_{s} $ into account. In the left part of the figure $ r_{\mathrm{inc.}} $, for an inclusive measurement is shown, in the middle and right parts of the figure $ r_{\mathrm{g}\mathrm{g}\mathrm{H}} $ and $ r_{\mathrm{q}\mathrm{q}\mathrm{H}} $ for a combined differential STXS stage-0 measurement of these two contributions to the signal in two bins, are shown. The results as obtained from $ \mathrm{CENNT} $ are indicated by the dashed lines, the median expected result of an ensemble of 100 repetitions of $ \mathrm{SANNT} $ varying random initializations are indicated by the continuous lines. The red and blue shaded bands surrounding the median expectations indicate 68% central intervals of these ensembles. |
|
png pdf |
Figure 8-a:
Negative log of the profile likelihood $ -2\Delta\log\mathcal{L} $ as a function of $ r_{s} $, for a differential STXS stage-0 cross section measurement of H production in the $ \mathrm{H}\to\tau\tau $ decay channel, taking (red) all and (blue) only the statistical uncertainties in $ \Delta r_{s} $ into account. In the left part of the figure $ r_{\mathrm{inc.}} $, for an inclusive measurement is shown, in the middle and right parts of the figure $ r_{\mathrm{g}\mathrm{g}\mathrm{H}} $ and $ r_{\mathrm{q}\mathrm{q}\mathrm{H}} $ for a combined differential STXS stage-0 measurement of these two contributions to the signal in two bins, are shown. The results as obtained from $ \mathrm{CENNT} $ are indicated by the dashed lines, the median expected result of an ensemble of 100 repetitions of $ \mathrm{SANNT} $ varying random initializations are indicated by the continuous lines. The red and blue shaded bands surrounding the median expectations indicate 68% central intervals of these ensembles. |
|
png pdf |
Figure 8-b:
Negative log of the profile likelihood $ -2\Delta\log\mathcal{L} $ as a function of $ r_{s} $, for a differential STXS stage-0 cross section measurement of H production in the $ \mathrm{H}\to\tau\tau $ decay channel, taking (red) all and (blue) only the statistical uncertainties in $ \Delta r_{s} $ into account. In the left part of the figure $ r_{\mathrm{inc.}} $, for an inclusive measurement is shown, in the middle and right parts of the figure $ r_{\mathrm{g}\mathrm{g}\mathrm{H}} $ and $ r_{\mathrm{q}\mathrm{q}\mathrm{H}} $ for a combined differential STXS stage-0 measurement of these two contributions to the signal in two bins, are shown. The results as obtained from $ \mathrm{CENNT} $ are indicated by the dashed lines, the median expected result of an ensemble of 100 repetitions of $ \mathrm{SANNT} $ varying random initializations are indicated by the continuous lines. The red and blue shaded bands surrounding the median expectations indicate 68% central intervals of these ensembles. |
|
png pdf |
Figure 8-c:
Negative log of the profile likelihood $ -2\Delta\log\mathcal{L} $ as a function of $ r_{s} $, for a differential STXS stage-0 cross section measurement of H production in the $ \mathrm{H}\to\tau\tau $ decay channel, taking (red) all and (blue) only the statistical uncertainties in $ \Delta r_{s} $ into account. In the left part of the figure $ r_{\mathrm{inc.}} $, for an inclusive measurement is shown, in the middle and right parts of the figure $ r_{\mathrm{g}\mathrm{g}\mathrm{H}} $ and $ r_{\mathrm{q}\mathrm{q}\mathrm{H}} $ for a combined differential STXS stage-0 measurement of these two contributions to the signal in two bins, are shown. The results as obtained from $ \mathrm{CENNT} $ are indicated by the dashed lines, the median expected result of an ensemble of 100 repetitions of $ \mathrm{SANNT} $ varying random initializations are indicated by the continuous lines. The red and blue shaded bands surrounding the median expectations indicate 68% central intervals of these ensembles. |
|
png pdf |
Figure 9:
Evolution of the loss functions CE, $ \Delta r_{s}^{\mathrm{stat.}} $, and $ \Delta r_{s} $, as used for this paper. Instead of the custom functions $ \mathcal{B}_{i} $ the identity operation (the so-called straight-through estimator) is used for SANNT. In the upper panel the evolution of $ \hat{y} $ for randomly selected 50 (blue) signal and 50 (orange) background samples during training is shown. The gray shaded area indicates the pretraining. In the second panel from above the evolution of CE is shown. Though not actively used for the SANNT $ \Delta r_{s}^{\mathrm{stat.}} $ is also shown, in the third panel from above. In the lower panel the evolution of $ \Delta r_{s} $ is shown. The evaluation on the training (validation) dataset is indicated in blue (orange). The evolution of inactive loss functions, evaluated on the validation dataset, is indicated by the dashed orange curves. |
| Tables | |
|
png pdf |
Table 1:
Association of nuisance parameters $ \{\theta_{j}\} $ with the systematic variations they refer to, for the 20 $ \{\theta_{j}\} $ with the largest impacts on $ r_{s} $, as shown in Fig. 5. The label of each corresponding uncertainty is given in the first column, the type of uncertainty, process that it applies to, and rank in Fig. 5 are given in the second, third, and fourth column, respectively. More detailed discussion of is given in the text. |
|
png pdf |
Table 2:
Expected combined statistical and systematic uncertainties $ \Delta r_{s} $ and statistical uncertainties $ \Delta r_{s}^{\mathrm{stat.}} $, in the parameters $ r_{\mathrm{inc.}} $ for an inclusive, and $ r_{\mathrm{g}\mathrm{g}\mathrm{H}} $ and $ r_{\mathrm{q}\mathrm{q}\mathrm{H}} $ for a differential STXS stage-0 cross section measurement of H production in the $ \mathrm{H}\to\tau\tau $ decay channel, as obtained from fits to $ D_{H}^{\mathcal{A}} $. In the second (third) column the results after $ \mathrm{SANNT} $ ($ \mathrm{CENNT} $) are shown. |
| Summary |
| We have demonstrated a neural network training, capable of accounting for the effects of systematic variations of the utilized data model in the training process and described its extension towards neural network multiclass classification. Trainings for binary and multiclass classification with seven output classes have been performed, based on a comprehensive data model with 86 nontrivial shape-altering systematic variations, as used for a previous measurement. The neural network output functions have been used to infer the signal strengths for inclusive Higgs boson production, as well as for Higgs boson production via gluon-fusion ($ r_{\mathrm{g}\mathrm{g}\mathrm{H}} $) and vector boson fusion ($ r_{\mathrm{q}\mathrm{q}\mathrm{H}} $). With respect to a conventional training, based on cross-entropy, we observe improvements of 12 and 16%, for the sensitivity in $ r_{\mathrm{g}\mathrm{g}\mathrm{H}} $ and $ r_{\mathrm{q}\mathrm{q}\mathrm{H}} $, respectively. This is the first time that a neural network training, capable of accounting for the effects of systematic variations in the utilized data model in the training process, has been demonstrated on a data model of that complexity and the first time that such a training has been applied to multiclass classification. |
| References | ||||
| 1 | CMS Collaboration | Measurements of Higgs boson production in the decay channel with a pair of $ \tau $ leptons in proton-proton collisions at $ \sqrt{s}= $ 13 TeV | EPJC 83 (2023) 562 | CMS-HIG-19-010 2204.12957 |
| 2 | M. Neal, Radford | Computing Likelihood Functions for High-Energy Physics Experiments when Distributions are Defined by Simulators with Nuisance Parameters | link | |
| 3 | K. Cranmer, J. Pavez, and G. Louppe | Approximating Likelihood Ratios with Calibrated Discriminative Classifiers | link | 1506.02169 |
| 4 | P. De Castro and T. Dorigo | INFERNO: Inference-Aware Neural Optimisation | Comput. Phys. Commun. 244 (2019) 170 | 1806.04743 |
| 5 | S. Wunsch, S. Jörger, R. Wolf, and G. Quast | Optimal Statistical Inference in the Presence of Systematic Uncertainties Using Neural Network Optimization Based on Binned Poisson Likelihoods with Nuisance Parameters | Comput. Softw. Big Sci. 5 (2021) 4 | 2003.07186 |
| 6 | N. Simpson and L. Heinrich | neos: End-to-End-Optimised Summary Statistics for High Energy Physics | J. Phys. Conf. Ser. 2438 (2023) 012105 | 2203.05570 |
| 7 | CMS Collaboration | Performance of the CMS Level-1 trigger in proton-proton collisions at $ \sqrt{s} = $ 13 TeV | JINST 15 (2020) P10017 | CMS-TRG-17-001 2006.10165 |
| 8 | CMS Collaboration | The CMS trigger system | JINST 12 (2017) P01020 | CMS-TRG-12-001 1609.02366 |
| 9 | CMS Collaboration | The CMS experiment at the CERN LHC | JINST 3 (2008) S08004 | |
| 10 | CMS Collaboration | Particle-flow reconstruction and global event description with the CMS detector | JINST 12 (2017) P10003 | CMS-PRF-14-001 1706.04965 |
| 11 | CMS Collaboration | Technical proposal for the Phase-II upgrade of the Compact Muon Solenoid | CMS Technical Proposal CERN-LHCC-2015-010, CMS-TDR-15-02, 2015 CDS |
|
| 12 | CMS Collaboration | Performance of electron reconstruction and selection with the CMS detector in proton-proton collisions at $ \sqrt{s} = $ 8 TeV | JINST 10 (2015) P06005 | CMS-EGM-13-001 1502.02701 |
| 13 | CMS Collaboration | Electron and photon reconstruction and identification with the CMS experiment at the CERN LHC | JINST 16 (2021) P05014 | CMS-EGM-17-001 2012.06888 |
| 14 | CMS Collaboration | Performance of CMS muon reconstruction in pp collision events at $ \sqrt{s}= $ 7 TeV | JINST 7 (2012) P10002 | CMS-MUO-10-004 1206.4071 |
| 15 | CMS Collaboration | Performance of the CMS muon detector and muon reconstruction with proton-proton collisions at $ \sqrt{s}= $ 13 TeV | JINST 13 (2018) P06015 | CMS-MUO-16-001 1804.04528 |
| 16 | M. Cacciari, G. P. Salam, and G. Soyez | The anti-$ k_{\mathrm{T}} $ jet clustering algorithm | JHEP 04 (2008) 063 | 0802.1189 |
| 17 | M. Cacciari, G. P. Salam, and G. Soyez | FastJet user manual | EPJC 72 (2012) 1896 | 1111.6097 |
| 18 | CMS Collaboration | Identification of heavy-flavour jets with the CMS detector in pp collisions at 13 TeV | JINST 13 (2018) P05011 | CMS-BTV-16-002 1712.07158 |
| 19 | E. Bols et al. | Jet flavour classification using DeepJet | JINST 15 (2020) P12012 | 2008.10519 |
| 20 | CMS Collaboration | Performance of reconstruction and identification of $ \tau $ leptons decaying to hadrons and $ \nu_\tau $ in pp collisions at $ \sqrt{s}= $ 13 TeV | JINST 13 (2018) P10005 | CMS-TAU-16-003 1809.02816 |
| 21 | CMS Collaboration | Identification of hadronic tau lepton decays using a deep neural network | JINST 17 (2022) P07023 | CMS-TAU-20-001 2201.08458 |
| 22 | CMS Collaboration | Performance of the CMS missing transverse momentum reconstruction in pp data at $ \sqrt{s} $ = 8 TeV | JINST 10 (2015) P02006 | CMS-JME-13-003 1411.0511 |
| 23 | D. Bertolini, P. Harris, M. Low, and N. Tran | Pileup per particle identification | JHEP 10 (2014) 059 | 1407.6013 |
| 24 | CMS Collaboration | An embedding technique to determine $ \tau\tau $ backgrounds in proton-proton collision data | JINST 14 (2019) P06032 | CMS-TAU-18-001 1903.01216 |
| 25 | CMS Collaboration | Measurement of the $ \mathrm{Z}\gamma^{*}\to\tau\tau $ cross section in pp collisions at $ \sqrt{s}= $ 13 TeV and validation of $ \tau $ lepton analysis techniques | EPJC 78 (2018) 708 | CMS-HIG-15-007 1801.03535 |
| 26 | CMS Collaboration | Search for additional neutral MSSM Higgs bosons in the $ \tau\tau $ final state in proton-proton collisions at $ \sqrt{s}= $ 13 TeV | JHEP 09 (2018) 007 | CMS-HIG-17-020 1803.06553 |
| 27 | J. Alwall et al. | MadGraph 5: Going beyond | JHEP 06 (2011) 128 | 1106.0522 |
| 28 | J. Alwall et al. | The automated computation of tree-level and next-to-leading order differential cross sections, and their matching to parton shower simulations | JHEP 07 (2014) 079 | 1405.0301 |
| 29 | P. Nason | A new method for combining NLO QCD with shower Monte Carlo algorithms | JHEP 11 (2004) 040 | hep-ph/0409146 |
| 30 | S. Frixione, P. Nason, and C. Oleari | Matching NLO QCD computations with parton shower simulations: the POWHEG method | JHEP 11 (2007) 070 | 0709.2092 |
| 31 | S. Alioli, P. Nason, C. Oleari, and E. Re | NLO Higgs boson production via gluon fusion matched with shower in POWHEG | JHEP 04 (2009) 002 | 0812.0578 |
| 32 | S. Alioli, P. Nason, C. Oleari, and E. Re | A general framework for implementing NLO calculations in shower Monte Carlo programs: the POWHEG BOX | JHEP 06 (2010) 043 | 1002.2581 |
| 33 | S. Alioli et al. | Jet pair production in POWHEG | JHEP 04 (2011) 081 | 1012.3380 |
| 34 | E. Bagnaschi, G. Degrassi, P. Slavich, and A. Vicini | Higgs production via gluon fusion in the POWHEG approach in the SM and in the MSSM | JHEP 02 (2012) 088 | 1111.2854 |
| 35 | T. Sjöstrand et al. | An introduction to PYTHIA 8.2 | Comput. Phys. Commun. 191 (2015) 159 | 1410.3012 |
| 36 | S. Agostinelli et al. | GEANT 4---a simulation toolkit | NIM A 506 (2003) 250 | |
| 37 | K. Fukushima | Cognitron: A self-organizing multilayered neural network | Biological Cybernetics 20 (1975) 121 | |
| 38 | V. Nair and G. E. Hinton | Rectified linear units improve restricted boltzmann machines | in Proceedings of the 27th International Conference on International Conference on Machine Learning, ICML'10, Madison, USA, 2010 | |
| 39 | L. Bianchini, J. Conway, E. K. Friis, and C. Veelken | Reconstruction of the Higgs mass in $ H\to\tau\tau $ events by dynamical likelihood techniques | J. Phys. Conf. Ser. 513 (2014) 022035 | |
| 40 | A. V. Gritsan, R. Röntsch, M. Schulze, and M. Xiao | Constraining anomalous Higgs boson couplings to the heavy flavor fermions using matrix element techniques | PRD 94 (2016) 055023 | 1606.03107 |
| 41 | LHC Higgs Cross Section Working Group | Handbook of LHC Higgs cross sections: 4. Deciphering the nature of the Higgs sector | CERN Report CERN-2017-002-M, 2016 link |
1610.07922 |
| 42 | N. Berger et al. | Simplified template cross sections - stage 1.1 | LHC Higgs Cross Section Working Group Report LHCHXSWG-2019-003, DESY-19-070, 2019 link |
1906.02754 |
| 43 | G. Cowan, K. Cranmer, E. Gross, and O. Vitells | Asymptotic formulae for likelihood-based tests of new physics | EPJC 71 (2011) 1554 | 1007.1727 |
| 44 | CMS Collaboration | The CMS statistical analysis and combination tool: Combine | Submitted to Comput. Softw. Big Sci, 2024 | CMS-CAT-23-001 2404.06614 |
| 45 | R. J. Barlow and C. Beeston | Fitting using finite Monte Carlo samples | Comput. Phys. Commun. 77 (1993) 219 | |
| 46 | C. R. Rao | Information and the accuracy attainable in the estimation of statistical parameters | in Breakthroughs in statistics, Springer, 1992 | |
| 47 | H. Cramér | Mathematical methods of statistics, volume 9 | Princeton university press, 1999 | |
| 48 | R. A. Fisher | Theory of statistical estimation | Mathematical Proceedings of the Cambridge Philosophical Society 22 (1925) 700 | |
| 49 | S. Wunsch, R. Friese, R. Wolf, and G. Quast | Identifying the relevant dependencies of the neural network response on characteristics of the input space | Comput. Softw. Big Sci. 2 (2018) 5 | 1803.08782 |
| 50 | J. Platt and A. Barr | Constrained differential optimization | in Neural Information Processing Systems, D. Anderson, ed., American Institute of Physics, 1987 link |
|
|
Compact Muon Solenoid LHC, CERN |
|
|
|
|
|
|