| CMS-EXO-23-010 ; CERN-EP-2025-044 | ||
| Search for nonresonant new physics signals in high-mass dilepton events produced in association with b-tagged jets in proton-proton collisions at $ \sqrt{s} = $ 13 TeV | ||
| CMS Collaboration | ||
| 16 June 2025 | ||
| Accepted for publication in J. High Energy Phys. | ||
| Abstract: A search for nonresonant new physics phenomena in high-mass dilepton events produced in association with b-tagged jets is performed using proton-proton collision data collected in 2016-2018 by the CMS experiment at the CERN LHC, at a center-of-mass energy of 13 TeV corresponding to an integrated luminosity of 138 fb$ ^{-1} $. The analysis considers two effective field theory models with dimension-six operators; involving four-fermion contact interactions between two leptons ($ \ell\ell $, electrons or muons) and b or s quarks ($ \mathrm{b}\mathrm{b}\ell\ell $ and $ \mathrm{b}\mathrm{s}\ell\ell $). Two lepton flavor combinations ($ \mathrm{e}\mathrm{e} $ and $ \mu\mu $) are required and events are classified as having 0, 1, and $ \geq $2 b-tagged jets in the final state. No significant excess is observed over the standard model backgrounds. Upper limits are set on the production cross section of the new physics signals. These translate into lower limits on the energy scale $ \Lambda $ of 6.9 to 9.0 TeV in the $ \mathrm{b}\mathrm{b}\ell\ell $ model, depending on model parameters, and on the ratio of energy scale and effective coupling, $ \Lambda/g_{*} $, of 2.0 to 2.6 TeV in the $ \mathrm{b}\mathrm{s}\ell\ell $ model. The latter represent the most stringent limits on this model to date. Lepton flavor universality is also tested by comparing the dielectron and dimuon mass spectra for different b-tagged jet multiplicities. No significant deviation from the standard model expectation of unity is observed. | ||
| Links: e-print arXiv:2506.13565 [hep-ex] (PDF) ; CDS record ; inSPIRE record ; HepData record ; CADI line (restricted) ; | ||
| Figures | |
|
png pdf |
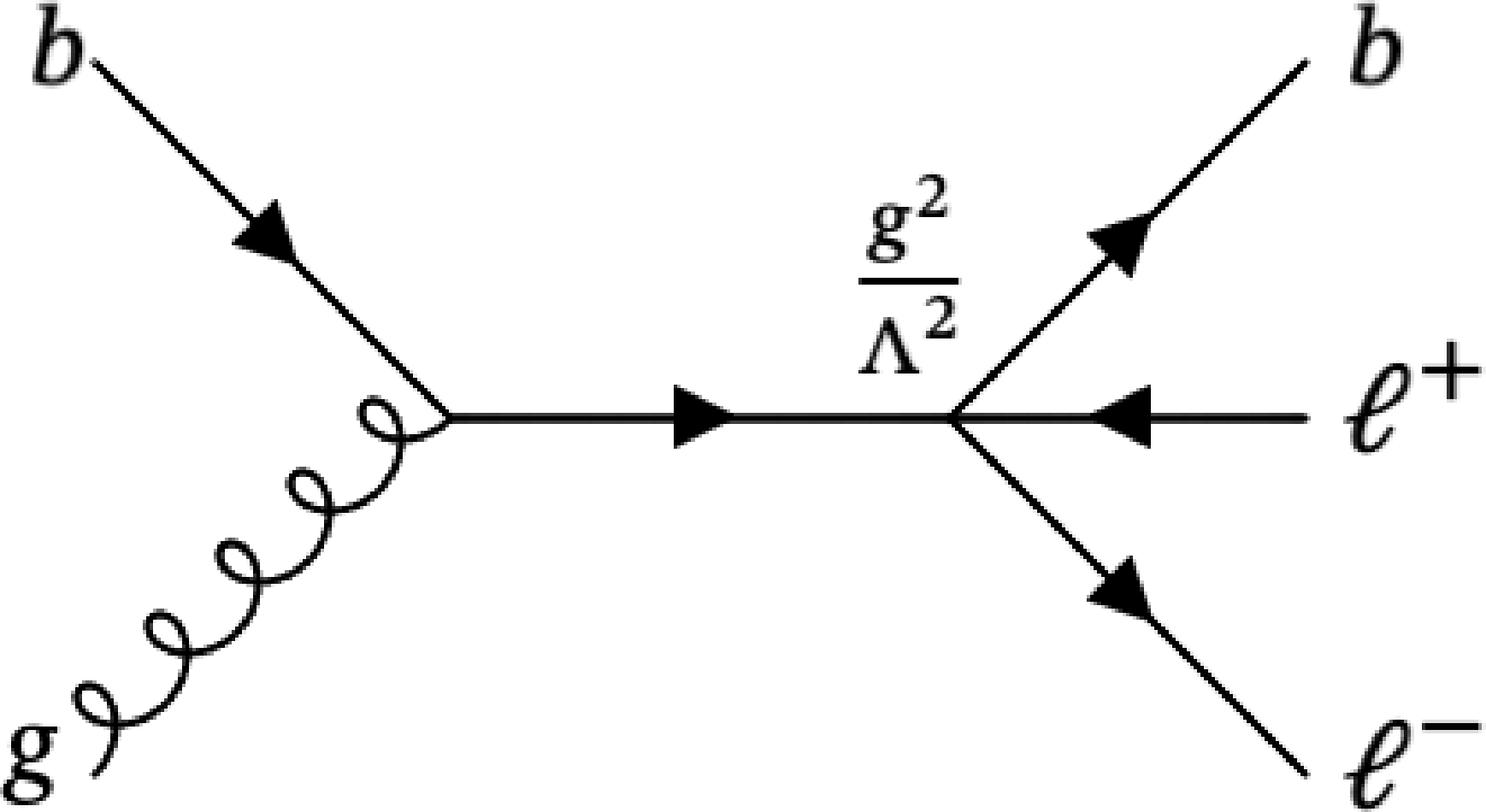
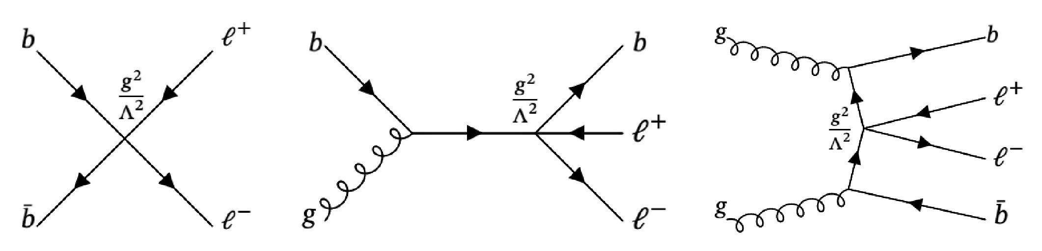
Figure 1:
Representative Feynman diagrams for the production of dileptons via the $ \mathrm{b}\mathrm{b}\ell\ell $ operator at the LHC, in association with 0 (left), 1 (center), and 2 (right) final state b quarks. |
|
png pdf |
Figure 1-a:
Representative Feynman diagrams for the production of dileptons via the $ \mathrm{b}\mathrm{b}\ell\ell $ operator at the LHC, in association with 0 (left), 1 (center), and 2 (right) final state b quarks. |
|
png pdf |
Figure 1-b:
Representative Feynman diagrams for the production of dileptons via the $ \mathrm{b}\mathrm{b}\ell\ell $ operator at the LHC, in association with 0 (left), 1 (center), and 2 (right) final state b quarks. |
|
png pdf |
Figure 1-c:
Representative Feynman diagrams for the production of dileptons via the $ \mathrm{b}\mathrm{b}\ell\ell $ operator at the LHC, in association with 0 (left), 1 (center), and 2 (right) final state b quarks. |
|
png pdf |
Figure 2:
Representative Feynman diagrams for the production of dileptons via the $ \mathrm{b} \mathrm{s}\ell\ell $ operator at the LHC, in association with 0 (left) and 1 (right) final state b quarks. |
|
png pdf |
Figure 2-a:
Representative Feynman diagrams for the production of dileptons via the $ \mathrm{b} \mathrm{s}\ell\ell $ operator at the LHC, in association with 0 (left) and 1 (right) final state b quarks. |
|
png pdf |
Figure 2-b:
Representative Feynman diagrams for the production of dileptons via the $ \mathrm{b} \mathrm{s}\ell\ell $ operator at the LHC, in association with 0 (left) and 1 (right) final state b quarks. |
|
png pdf |
Figure 3:
Observed data and various SM backgrounds in bins of DNN score evaluated from per-year and per-pseudorapidity trained models in the dielectron (left) and dimuon (right) channels. The solid cyan line in the upper panels correspond to the $ \mathrm{b}\mathrm{b}\ell\ell $ signal expectation for $ \Lambda = $ 6 TeV in the LL constructive interference model. The lower panel of each plot shows the ratio of data to predicted background yields. |
|
png pdf |
Figure 3-a:
Observed data and various SM backgrounds in bins of DNN score evaluated from per-year and per-pseudorapidity trained models in the dielectron (left) and dimuon (right) channels. The solid cyan line in the upper panels correspond to the $ \mathrm{b}\mathrm{b}\ell\ell $ signal expectation for $ \Lambda = $ 6 TeV in the LL constructive interference model. The lower panel of each plot shows the ratio of data to predicted background yields. |
|
png pdf |
Figure 3-b:
Observed data and various SM backgrounds in bins of DNN score evaluated from per-year and per-pseudorapidity trained models in the dielectron (left) and dimuon (right) channels. The solid cyan line in the upper panels correspond to the $ \mathrm{b}\mathrm{b}\ell\ell $ signal expectation for $ \Lambda = $ 6 TeV in the LL constructive interference model. The lower panel of each plot shows the ratio of data to predicted background yields. |
|
png pdf |
Figure 4:
Comparison of data and various SM backgrounds in the $ \mathrm{t} \overline{\mathrm{t}} $ CR as a function of $ m_{\mathrm{e}\mu} $ for the 0b (upper) and $ \geq $ 1b (lower) channels in the BB (left) and BE (right) categories. The lower panel of each plot shows the ratio of data to predicted background yields before correction with $ \text{SF}_{{\mathrm{t}\overline{\mathrm{t}}} } $ values. |
|
png pdf |
Figure 4-a:
Comparison of data and various SM backgrounds in the $ \mathrm{t} \overline{\mathrm{t}} $ CR as a function of $ m_{\mathrm{e}\mu} $ for the 0b (upper) and $ \geq $ 1b (lower) channels in the BB (left) and BE (right) categories. The lower panel of each plot shows the ratio of data to predicted background yields before correction with $ \text{SF}_{{\mathrm{t}\overline{\mathrm{t}}} } $ values. |
|
png pdf |
Figure 4-b:
Comparison of data and various SM backgrounds in the $ \mathrm{t} \overline{\mathrm{t}} $ CR as a function of $ m_{\mathrm{e}\mu} $ for the 0b (upper) and $ \geq $ 1b (lower) channels in the BB (left) and BE (right) categories. The lower panel of each plot shows the ratio of data to predicted background yields before correction with $ \text{SF}_{{\mathrm{t}\overline{\mathrm{t}}} } $ values. |
|
png pdf |
Figure 4-c:
Comparison of data and various SM backgrounds in the $ \mathrm{t} \overline{\mathrm{t}} $ CR as a function of $ m_{\mathrm{e}\mu} $ for the 0b (upper) and $ \geq $ 1b (lower) channels in the BB (left) and BE (right) categories. The lower panel of each plot shows the ratio of data to predicted background yields before correction with $ \text{SF}_{{\mathrm{t}\overline{\mathrm{t}}} } $ values. |
|
png pdf |
Figure 4-d:
Comparison of data and various SM backgrounds in the $ \mathrm{t} \overline{\mathrm{t}} $ CR as a function of $ m_{\mathrm{e}\mu} $ for the 0b (upper) and $ \geq $ 1b (lower) channels in the BB (left) and BE (right) categories. The lower panel of each plot shows the ratio of data to predicted background yields before correction with $ \text{SF}_{{\mathrm{t}\overline{\mathrm{t}}} } $ values. |
|
png pdf |
Figure 5:
Comparison of data and various SM backgrounds in the $ \mathrm{t} \overline{\mathrm{t}} $ VR as a function of $ m_{\mathrm{e}\mu} $ for the BB (left) and BE (right) categories. The lower panel of each plot shows the ratio of data to predicted background yields. |
|
png pdf |
Figure 5-a:
Comparison of data and various SM backgrounds in the $ \mathrm{t} \overline{\mathrm{t}} $ VR as a function of $ m_{\mathrm{e}\mu} $ for the BB (left) and BE (right) categories. The lower panel of each plot shows the ratio of data to predicted background yields. |
|
png pdf |
Figure 5-b:
Comparison of data and various SM backgrounds in the $ \mathrm{t} \overline{\mathrm{t}} $ VR as a function of $ m_{\mathrm{e}\mu} $ for the BB (left) and BE (right) categories. The lower panel of each plot shows the ratio of data to predicted background yields. |
|
png pdf |
Figure 6:
Ratio of simulated $ \mathrm{e}\mu $ events with SR selections and simulated $ \mathrm{e}\mathrm{e} $ events in the SR for the BB (left) and BE (right) categories. |
|
png pdf |
Figure 6-a:
Ratio of simulated $ \mathrm{e}\mu $ events with SR selections and simulated $ \mathrm{e}\mathrm{e} $ events in the SR for the BB (left) and BE (right) categories. |
|
png pdf |
Figure 6-b:
Ratio of simulated $ \mathrm{e}\mu $ events with SR selections and simulated $ \mathrm{e}\mathrm{e} $ events in the SR for the BB (left) and BE (right) categories. |
|
png pdf |
Figure 7:
Ratio of simulated $ \mathrm{e}\mu $ events with SR selections and simulated $ \mu\mu $ events in the SR for the BB (left) and BE (right) categories. |
|
png pdf |
Figure 7-a:
Ratio of simulated $ \mathrm{e}\mu $ events with SR selections and simulated $ \mu\mu $ events in the SR for the BB (left) and BE (right) categories. |
|
png pdf |
Figure 7-b:
Ratio of simulated $ \mathrm{e}\mu $ events with SR selections and simulated $ \mu\mu $ events in the SR for the BB (left) and BE (right) categories. |
|
png pdf |
Figure 8:
Comparison between data and various SM processes in DY+jets CR as a function of the number of b jets in the dielectron (left) and dimuon (right) channels. The lower panel of each plot shows the ratio of data to predicted background yields. |
|
png pdf |
Figure 8-a:
Comparison between data and various SM processes in DY+jets CR as a function of the number of b jets in the dielectron (left) and dimuon (right) channels. The lower panel of each plot shows the ratio of data to predicted background yields. |
|
png pdf |
Figure 8-b:
Comparison between data and various SM processes in DY+jets CR as a function of the number of b jets in the dielectron (left) and dimuon (right) channels. The lower panel of each plot shows the ratio of data to predicted background yields. |
|
png pdf |
Figure 9:
Observed $ m_{\ell\ell} $ distributions in the data, and the post-fit backgrounds (stacked histograms), in the SR for $ \mathrm{e}\mathrm{e} $+0b (left) and $ \mu\mu $+0b (right) channels. The lower panels show ratios of the data to the pre-fit background prediction and post-fit background yield as red open squares and blue points, respectively. The dashed band in the lower panels indicates the systematic component of the post-fit uncertainty. The solid lines in the upper panels correspond to the $ \mathrm{b}\mathrm{b}\ell\ell $ signal expectations, for $ \Lambda = $ 6 and 18 TeV in the LL constructive interference model. |
|
png pdf |
Figure 9-a:
Observed $ m_{\ell\ell} $ distributions in the data, and the post-fit backgrounds (stacked histograms), in the SR for $ \mathrm{e}\mathrm{e} $+0b (left) and $ \mu\mu $+0b (right) channels. The lower panels show ratios of the data to the pre-fit background prediction and post-fit background yield as red open squares and blue points, respectively. The dashed band in the lower panels indicates the systematic component of the post-fit uncertainty. The solid lines in the upper panels correspond to the $ \mathrm{b}\mathrm{b}\ell\ell $ signal expectations, for $ \Lambda = $ 6 and 18 TeV in the LL constructive interference model. |
|
png pdf |
Figure 9-b:
Observed $ m_{\ell\ell} $ distributions in the data, and the post-fit backgrounds (stacked histograms), in the SR for $ \mathrm{e}\mathrm{e} $+0b (left) and $ \mu\mu $+0b (right) channels. The lower panels show ratios of the data to the pre-fit background prediction and post-fit background yield as red open squares and blue points, respectively. The dashed band in the lower panels indicates the systematic component of the post-fit uncertainty. The solid lines in the upper panels correspond to the $ \mathrm{b}\mathrm{b}\ell\ell $ signal expectations, for $ \Lambda = $ 6 and 18 TeV in the LL constructive interference model. |
|
png pdf |
Figure 10:
Observed $ m_{\ell\ell} $ distributions in the data, and the post-fit backgrounds (stacked histograms), in the SR for $ \mathrm{e}\mathrm{e} $+1b (left) and $ \mu\mu $+1b (right) channels. The lower panels show ratios of the data to the pre-fit background prediction and post-fit background yield as red open squares and blue points, respectively. The dashed band in the lower panels indicates the systematic component of the post-fit uncertainty. The solid lines in the upper panels correspond to the $ \mathrm{b}\mathrm{b}\ell\ell $ signal expectations, for $ \Lambda = $ 6 and 18 TeV in the LL constructive interference model. |
|
png pdf |
Figure 10-a:
Observed $ m_{\ell\ell} $ distributions in the data, and the post-fit backgrounds (stacked histograms), in the SR for $ \mathrm{e}\mathrm{e} $+1b (left) and $ \mu\mu $+1b (right) channels. The lower panels show ratios of the data to the pre-fit background prediction and post-fit background yield as red open squares and blue points, respectively. The dashed band in the lower panels indicates the systematic component of the post-fit uncertainty. The solid lines in the upper panels correspond to the $ \mathrm{b}\mathrm{b}\ell\ell $ signal expectations, for $ \Lambda = $ 6 and 18 TeV in the LL constructive interference model. |
|
png pdf |
Figure 10-b:
Observed $ m_{\ell\ell} $ distributions in the data, and the post-fit backgrounds (stacked histograms), in the SR for $ \mathrm{e}\mathrm{e} $+1b (left) and $ \mu\mu $+1b (right) channels. The lower panels show ratios of the data to the pre-fit background prediction and post-fit background yield as red open squares and blue points, respectively. The dashed band in the lower panels indicates the systematic component of the post-fit uncertainty. The solid lines in the upper panels correspond to the $ \mathrm{b}\mathrm{b}\ell\ell $ signal expectations, for $ \Lambda = $ 6 and 18 TeV in the LL constructive interference model. |
|
png pdf |
Figure 11:
Observed $ m_{\ell\ell} $ distributions in the data, and the post-fit backgrounds (stacked histograms), in the SR for $ \mathrm{e}\mathrm{e} $+2b (left) and $ \mu\mu $+2b (right) channels. The lower panels show ratios of the data to the pre-fit background prediction and post-fit background yield as red open squares and blue points, respectively. The dashed band in the lower panels indicates the systematic component of the post-fit uncertainty. The solid lines in the upper panel correspond to the $ \mathrm{b}\mathrm{b}\ell\ell $ signal expectations, for $ \Lambda = $ 6 and 18 TeV in the LL constructive interference model. |
|
png pdf |
Figure 11-a:
Observed $ m_{\ell\ell} $ distributions in the data, and the post-fit backgrounds (stacked histograms), in the SR for $ \mathrm{e}\mathrm{e} $+2b (left) and $ \mu\mu $+2b (right) channels. The lower panels show ratios of the data to the pre-fit background prediction and post-fit background yield as red open squares and blue points, respectively. The dashed band in the lower panels indicates the systematic component of the post-fit uncertainty. The solid lines in the upper panel correspond to the $ \mathrm{b}\mathrm{b}\ell\ell $ signal expectations, for $ \Lambda = $ 6 and 18 TeV in the LL constructive interference model. |
|
png pdf |
Figure 11-b:
Observed $ m_{\ell\ell} $ distributions in the data, and the post-fit backgrounds (stacked histograms), in the SR for $ \mathrm{e}\mathrm{e} $+2b (left) and $ \mu\mu $+2b (right) channels. The lower panels show ratios of the data to the pre-fit background prediction and post-fit background yield as red open squares and blue points, respectively. The dashed band in the lower panels indicates the systematic component of the post-fit uncertainty. The solid lines in the upper panel correspond to the $ \mathrm{b}\mathrm{b}\ell\ell $ signal expectations, for $ \Lambda = $ 6 and 18 TeV in the LL constructive interference model. |
|
png pdf |
Figure 12:
Ratio of the differential dilepton production cross section in the dimuon and dielectron channels as a function of dilepton mass in the 0b (left) and $ \geq $1b (right) final states. The ratio is obtained after correcting the dimuon and dielectron reconstructed mass spectra for bin-by-bin migration effects due to mass scale and resolution. The upper panel shows the observed flavor ratio in data and the DY+jets simulation. The lower panel shows the flavor ratio observed in data and in DY+jets simulation after correcting for the residual differences in acceptance and efficiency as a function of mass. The error bars include both statistical and systematic uncertainties. The shaded band represents the systematic uncertainties in the estimation. |
|
png pdf |
Figure 12-a:
Ratio of the differential dilepton production cross section in the dimuon and dielectron channels as a function of dilepton mass in the 0b (left) and $ \geq $1b (right) final states. The ratio is obtained after correcting the dimuon and dielectron reconstructed mass spectra for bin-by-bin migration effects due to mass scale and resolution. The upper panel shows the observed flavor ratio in data and the DY+jets simulation. The lower panel shows the flavor ratio observed in data and in DY+jets simulation after correcting for the residual differences in acceptance and efficiency as a function of mass. The error bars include both statistical and systematic uncertainties. The shaded band represents the systematic uncertainties in the estimation. |
|
png pdf |
Figure 12-b:
Ratio of the differential dilepton production cross section in the dimuon and dielectron channels as a function of dilepton mass in the 0b (left) and $ \geq $1b (right) final states. The ratio is obtained after correcting the dimuon and dielectron reconstructed mass spectra for bin-by-bin migration effects due to mass scale and resolution. The upper panel shows the observed flavor ratio in data and the DY+jets simulation. The lower panel shows the flavor ratio observed in data and in DY+jets simulation after correcting for the residual differences in acceptance and efficiency as a function of mass. The error bars include both statistical and systematic uncertainties. The shaded band represents the systematic uncertainties in the estimation. |
|
png pdf |
Figure 13:
The 95% CL expected and observed lower limits on the energy scale $ \Lambda $ for the $ \mathrm{b}\mathrm{b}\ell\ell $ model with different chirality and interference assumptions, namely constructive left-left (ConLL), left-right (ConLR), right-left (ConRL), right-right (ConRR), destructive left-left (DesLL), left-right (DesLR), right-left (DesRL), and right-right (DesRR) in the $ \mathrm{e}\mathrm{e} $ (upper left), $ \mu\mu $ (upper right) channels, and the combination (lower) with $ \geq $0 b-tagged jets. |
|
png pdf |
Figure 13-a:
The 95% CL expected and observed lower limits on the energy scale $ \Lambda $ for the $ \mathrm{b}\mathrm{b}\ell\ell $ model with different chirality and interference assumptions, namely constructive left-left (ConLL), left-right (ConLR), right-left (ConRL), right-right (ConRR), destructive left-left (DesLL), left-right (DesLR), right-left (DesRL), and right-right (DesRR) in the $ \mathrm{e}\mathrm{e} $ (upper left), $ \mu\mu $ (upper right) channels, and the combination (lower) with $ \geq $0 b-tagged jets. |
|
png pdf |
Figure 13-b:
The 95% CL expected and observed lower limits on the energy scale $ \Lambda $ for the $ \mathrm{b}\mathrm{b}\ell\ell $ model with different chirality and interference assumptions, namely constructive left-left (ConLL), left-right (ConLR), right-left (ConRL), right-right (ConRR), destructive left-left (DesLL), left-right (DesLR), right-left (DesRL), and right-right (DesRR) in the $ \mathrm{e}\mathrm{e} $ (upper left), $ \mu\mu $ (upper right) channels, and the combination (lower) with $ \geq $0 b-tagged jets. |
|
png pdf |
Figure 13-c:
The 95% CL expected and observed lower limits on the energy scale $ \Lambda $ for the $ \mathrm{b}\mathrm{b}\ell\ell $ model with different chirality and interference assumptions, namely constructive left-left (ConLL), left-right (ConLR), right-left (ConRL), right-right (ConRR), destructive left-left (DesLL), left-right (DesLR), right-left (DesRL), and right-right (DesRR) in the $ \mathrm{e}\mathrm{e} $ (upper left), $ \mu\mu $ (upper right) channels, and the combination (lower) with $ \geq $0 b-tagged jets. |
|
png pdf |
Figure 14:
Upper limits at 95% CL on the production cross section for the $ \mathrm{b}\mathrm{s}\ell\ell $ signal in the $ \mathrm{e}\mathrm{e} $ (left) and $ \mu\mu $ (right) channels for 0 b-tagged jets. The shaded bands correspond to the 68 and 95% quantiles for the expected limits. The red line corresponds to the theoretical predictions for the $ \mathrm{b}\mathrm{s}\ell\ell $ signal [12]. |
|
png pdf |
Figure 14-a:
Upper limits at 95% CL on the production cross section for the $ \mathrm{b}\mathrm{s}\ell\ell $ signal in the $ \mathrm{e}\mathrm{e} $ (left) and $ \mu\mu $ (right) channels for 0 b-tagged jets. The shaded bands correspond to the 68 and 95% quantiles for the expected limits. The red line corresponds to the theoretical predictions for the $ \mathrm{b}\mathrm{s}\ell\ell $ signal [12]. |
|
png pdf |
Figure 14-b:
Upper limits at 95% CL on the production cross section for the $ \mathrm{b}\mathrm{s}\ell\ell $ signal in the $ \mathrm{e}\mathrm{e} $ (left) and $ \mu\mu $ (right) channels for 0 b-tagged jets. The shaded bands correspond to the 68 and 95% quantiles for the expected limits. The red line corresponds to the theoretical predictions for the $ \mathrm{b}\mathrm{s}\ell\ell $ signal [12]. |
|
png pdf |
Figure 15:
Upper limits at 95% CL on the production cross section for the $ \mathrm{b}\mathrm{s}\ell\ell $ signal in the $ \mathrm{e}\mathrm{e} $ (left) and $ \mu\mu $ (right) channels for 1 b-tagged jets. The shaded bands correspond to the 68 and 95% quantiles for the expected limits. The red line corresponds to the theoretical predictions for the $ \mathrm{b}\mathrm{s}\ell\ell $ signal [12]. |
|
png pdf |
Figure 15-a:
Upper limits at 95% CL on the production cross section for the $ \mathrm{b}\mathrm{s}\ell\ell $ signal in the $ \mathrm{e}\mathrm{e} $ (left) and $ \mu\mu $ (right) channels for 1 b-tagged jets. The shaded bands correspond to the 68 and 95% quantiles for the expected limits. The red line corresponds to the theoretical predictions for the $ \mathrm{b}\mathrm{s}\ell\ell $ signal [12]. |
|
png pdf |
Figure 15-b:
Upper limits at 95% CL on the production cross section for the $ \mathrm{b}\mathrm{s}\ell\ell $ signal in the $ \mathrm{e}\mathrm{e} $ (left) and $ \mu\mu $ (right) channels for 1 b-tagged jets. The shaded bands correspond to the 68 and 95% quantiles for the expected limits. The red line corresponds to the theoretical predictions for the $ \mathrm{b}\mathrm{s}\ell\ell $ signal [12]. |
| Tables | |
|
png pdf |
Table 1:
Definitions of the SRs and CRs. |
|
png pdf |
Table 2:
Measured values of the $ \text{SF}_{{\mathrm{t}\overline{\mathrm{t}}} } $ in the OS $ \mathrm{t} \overline{\mathrm{t}} $ CR (BB category). |
|
png pdf |
Table 3:
Measured values of the $ \text{SF}_{{\mathrm{t}\overline{\mathrm{t}}} } $ in the OS $ \mathrm{t} \overline{\mathrm{t}} $ CR (BE category). |
|
png pdf |
Table 4:
Systematic uncertainties for the DY+jets background in the highest two mass bins for the $ \mathrm{e}\mathrm{e} $ channel. |
|
png pdf |
Table 5:
Systematic uncertainties for the DY+jets background in the highest two mass bins for the $ \mu\mu $ channel. |
|
png pdf |
Table 6:
Event yields for $ \mathrm{e}\mathrm{e} $ and $ \mu\mu $ channels in the 0b final state. The uncertainties include both statistical and systematic contributions. |
|
png pdf |
Table 7:
Event yields for $ \mathrm{e}\mathrm{e} $ and $ \mu\mu $ channels in the 1b final state. The uncertainties include both statistical and systematic contributions. |
|
png pdf |
Table 8:
Event yields for $ \mathrm{e}\mathrm{e} $ and $ \mu\mu $ channels in the 2b final state. The uncertainties include both statistical and systematic contributions. |
|
png pdf |
Table 9:
Lower limits at 95% CL on the energy scale $ \Lambda $ in the $ \mathrm{b}\mathrm{b}\ell\ell $ signal model in TeVns for constructive left-left (ConLL), left-right (ConLR), right-left (ConRL), right-right (ConRR), destructive left-left (DesLL), left-right (DesLR), right-left (DesRL), and right-right (DesRR) chirality and interference assumptions in the dielectron and dimuon channels and the combination of the two. |
|
png pdf |
Table 10:
Lower limits at 95% CL on $ \Lambda/g_{*} $ in the $ \mathrm{b}\mathrm{s}\ell\ell $ signal model in TeVns for 0b, 1b, and combined (0b+ 1b) channels. Shown are the expected and observed limits in the dielectron and dimuon channels and the combination of the two. |
| Summary |
| A search for new physics in the high-mass dilepton final state produced in association with b-tagged jets, focusing on nonresonant phenomena, has been performed using the proton-proton collision data collected during 2016-2018, corresponding to an integrated luminosity of 138 fb$ ^{-1} $. Two models of nonresonant signatures have been considered. For a four-fermion contact interaction in $ \mathrm{b}\mathrm{b}\ell\ell $ ($ \ell\ell $, electrons or muons) production, lower limits on the scale of new physics ($ \Lambda $) are set depending on the chirality structure of the interaction and the sign of its interference with the standard model Drell-Yan background. The observed limits are in the range from 6.9 to 9.0 TeV for the $ \mathrm{b}\mathrm{b}\ell\ell $ signal based on different chirality and interference assumptions. In the $ \mathrm{b}\mathrm{s}\ell\ell $ model, lower limits on the ratio of the energy scale of new physics to the coupling ($ \Lambda/g_{*} $) range from 1.9 to 2.2 TeV depending on the channel and 2.4 TeV for the combination of all the channels. The limits on the $ \mathrm{b}\mathrm{s}\ell\ell $ model are the most stringent to date. Additionally, the dielectron and dimuon invariant mass spectra are compared at the TeVns scale. No significant deviation in the lepton flavor ratio from the standard model expectation is observed. |
| References | ||||
| 1 | CMS Collaboration | Search for resonant and nonresonant new phenomena in high-mass dilepton final states at $ \sqrt{s} = $ 13 TeV | JHEP 07 (2021) 208 | CMS-EXO-19-019 2103.02708 |
| 2 | ATLAS Collaboration | Search for high-mass dilepton resonances using 139 fb$ ^{-1} $ of pp collision data collected at $ \sqrt{s}= $13 TeV with the ATLAS detector | PLB 796 (2019) 68 | 1903.06248 |
| 3 | ATLAS Collaboration | Search for new non-resonant phenomena in high-mass dilepton final states with the ATLAS detector | JHEP 11 (2020) 005 | 2006.12946 |
| 4 | ATLAS Collaboration | Search for new phenomena in final states with two leptons and one or no $ b $-tagged jets at $ \sqrt{s} = $ 13 TeV using the ATLAS detector | PRL 127 (2021) 141801 | 2105.13847 |
| 5 | CMS Collaboration | Search for a high-mass dimuon resonance produced in association with b quark jets at $ \sqrt{s} = $ 13 TeV | JHEP 10 (2023) 043 | CMS-EXO-22-016 2307.08708 |
| 6 | LHCb Collaboration | Measurement of the ratios of branching fractions $ \mathcal{R}(D^{*}) $ and $ \mathcal{R}(D^{0}) $ | PRL 131 (2023) 111802 | 2302.02886 |
| 7 | Y. Afik, S. Bar-Shalom, J. Cohen, and Y. Rozen | Searching for new physics with $ b\bar{b} \ell^+ \ell^- $ contact interactions | PLB 807 (2020) 135541 | 1912.00425 |
| 8 | S. Bar-Shalom, J. Cohen, A. Soni, and J. Wudka | Phenomenology of TeV-scale scalar leptoquarks in the EFT | PRD 100 (2019) 055020 | 1812.03178 |
| 9 | M. Kramer, T. Plehn, M. Spira, and P. M. Zerwas | Pair production of scalar leptoquarks at the CERN LHC | PRD 71 (2005) 057503 | hep-ph/0411038 |
| 10 | I. Doršner, S. Fajfer, and A. Greljo | Cornering scalar leptoquarks at LHC | JHEP 10 (2014) 154 | 1406.4831 |
| 11 | I. Doršner and A. Greljo | Leptoquark toolbox for precision collider studies | JHEP 05 (2018) 126 | 1801.07641 |
| 12 | Y. Afik et al. | Establishing a search for $ b \rightarrow s \ell^{+} \ell^{-} $ anomalies at the LHC | JHEP 08 (2018) 056 | 1805.11402 |
| 13 | S. Patnaik and R. Singh | A light shed on lepton flavor universality in B decays | Universe 9 (2023) 129 | 2211.04348 |
| 14 | B. Gripaios, M. Nardecchia, and S. A. Renner | Composite leptoquarks and anomalies in $ B $-meson decays | JHEP 05 (2015) 006 | 1412.1791 |
| 15 | S. L. Glashow, J. Iliopoulos, and L. Maiani | Weak interactions with lepton-hadron symmetry | PRD 2 (1970) 1285 | |
| 16 | A. Greljo and D. Marzocca | High-$ p_{\mathrm{T}} $ dilepton tails and flavor physics | EPJC 77 (2017) 548 | 1704.09015 |
| 17 | CMS Collaboration | HEPData record for this analysis | link | |
| 18 | CMS Collaboration | Performance of the CMS Level-1 trigger in proton-proton collisions at $ \sqrt{s} = $ 13 TeV | JINST 15 (2020) P10017 | CMS-TRG-17-001 2006.10165 |
| 19 | CMS Collaboration | The CMS trigger system | JINST 12 (2017) P01020 | CMS-TRG-12-001 1609.02366 |
| 20 | CMS Collaboration | The CMS experiment at the CERN LHC | JINST 3 (2008) S08004 | |
| 21 | CMS Collaboration | Technical proposal for the Phase-II upgrade of the Compact Muon Solenoid | CMS Technical Proposal CERN-LHCC-2015-010, CMS-TDR-15-02, 2015 CDS |
|
| 22 | J. Alwall et al. | The automated computation of tree-level and next-to-leading order differential cross sections and their matching to parton shower simulations | JHEP 07 (2014) 079 | 1405.0301 |
| 23 | R. Frederix and S. Frixione | Merging meets matching in MC@NLO | JHEP 12 (2012) 061 | 1209.6215 |
| 24 | P. Nason | A new method for combining NLO QCD with shower Monte Carlo algorithms | JHEP 11 (2004) 040 | hep-ph/0409146 |
| 25 | S. Frixione, P. Nason, and C. Oleari | Matching NLO QCD computations with parton shower simulations: the POWHEG method | JHEP 11 (2007) 070 | 0709.2092 |
| 26 | S. Alioli, P. Nason, C. Oleari, and E. Re | A general framework for implementing NLO calculations in shower Monte Carlo programs: the POWHEG BOX | JHEP 06 (2010) 043 | 1002.2581 |
| 27 | P. Nason and G. Zanderighi | $ \mathrm{W^+}\mathrm{W^-} $, $\mathrm{WZ}$ and $\mathrm{ZZ}$ production in the POWHEG-BOX-V2 | EPJC 74 (2014) 2702 | 1311.1365 |
| 28 | E. Re | Single-top $ \mathrm{W}\mathrm{t} $-channel production matched with parton showers using the POWHEG method | EPJC 71 (2011) 1547 | 1009.2450 |
| 29 | S. Alioli, P. Nason, C. Oleari, and E. Re | NLO Higgs boson production via gluon fusion matched with shower in POWHEG | JHEP 04 (2009) 002 | 0812.0578 |
| 30 | P. Nason and C. Oleari | NLO Higgs boson production via vector-boson fusion matched with shower in POWHEG | JHEP 02 (2010) 037 | 0911.5299 |
| 31 | C. Degrande et al. | UFO --- the universal FeynRules output | Comput. Phys. Commun. 183 (2012) 1201 | 1108.2040 |
| 32 | J. Alwall et al. | Comparative study of various algorithms for the merging of parton showers and matrix elements in hadronic collisions | EPJC 53 (2008) 473 | 0706.2569 |
| 33 | T. Sjöstrand et al. | An introduction to PYTHIA 8.2 | Comput. Phys. Commun. 191 (2015) 159 | 1410.3012 |
| 34 | CMS Collaboration | Extraction and validation of a new set of CMS PYTHIA8 tunes from underlying-event measurements | EPJC 80 (2020) 4 | CMS-GEN-17-001 1903.12179 |
| 35 | NNPDF Collaboration | Parton distributions from high-precision collider data | EPJC 77 (2017) 663 | 1706.00428 |
| 36 | GEANT4 Collaboration | GEANT 4---a simulation toolkit | NIM A 506 (2003) 250 | |
| 37 | CMS Collaboration | Pileup mitigation at CMS in 13 TeV data | JINST 15 (2020) P09018 | CMS-JME-18-001 2003.00503 |
| 38 | CMS Collaboration | Performance of the CMS electromagnetic calorimeter in pp collisions at \ensuremath\sqrts = 13 TeV | JINST 19 (2024) P09004 | CMS-EGM-18-002 2403.15518 |
| 39 | CMS Collaboration | Particle-flow reconstruction and global event description with the CMS detector | JINST 12 (2017) P10003 | CMS-PRF-14-001 1706.04965 |
| 40 | CMS Collaboration | Electron and photon reconstruction and identification with the CMS experiment at the CERN LHC | JINST 16 (2021) P05014 | CMS-EGM-17-001 2012.06888 |
| 41 | CMS Collaboration | Performance of the CMS muon trigger system in proton-proton collisions at $ \sqrt{s} = $ 13 TeV | JINST 16 (2021) P07001 | CMS-MUO-19-001 2102.04790 |
| 42 | CMS Collaboration | Performance of the reconstruction and identification of high-momentum muons in proton-proton collisions at $ \sqrt{s} = $ 13 TeV | JINST 15 (2020) P02027 | CMS-MUO-17-001 1912.03516 |
| 43 | M. Cacciari, G. P. Salam, and G. Soyez | The anti-$ k_{\mathrm{T}} $ jet clustering algorithm | JHEP 04 (2008) 063 | 0802.1189 |
| 44 | M. Cacciari, G. P. Salam, and G. Soyez | Fastjet user manual | EPJC 72 (2012) 1896 | 1111.6097 |
| 45 | E. Bols et al. | Jet flavour classification using DeepJet | JINST 15 (2020) P12012 | 2008.10519 |
| 46 | CMS Collaboration | Performance summary of AK4 jet b tagging with data from proton-proton collisions at 13 TeV with the CMS detector | CMS Detector Performance Summary CMS-DP-2023-005, 2023 CDS |
|
| 47 | CMS Collaboration | Identification of heavy-flavour jets with the CMS detector in pp collisions at 13 TeV | JINST 13 (2018) P05011 | CMS-BTV-16-002 1712.07158 |
| 48 | CMS Collaboration | Performance of missing transverse momentum reconstruction in proton-proton collisions at $ \sqrt{s} = $ 13 TeV using the CMS detector | JINST 14 (2019) P07004 | CMS-JME-17-001 1903.06078 |
| 49 | CMS Collaboration | Search for high-mass resonances in dilepton final states in proton-proton collisions at $ \sqrt{s}= $ 13 TeV | JHEP 06 (2018) 120 | CMS-EXO-16-047 1803.06292 |
| 50 | CMS Collaboration | Search for physics beyond the standard model in dilepton mass spectra in proton-proton collisions at $ \sqrt{s}= $ 8 TeV | JHEP 04 (2015) 025 | CMS-EXO-12-061 1412.6302 |
| 51 | CMS Collaboration | Precision luminosity measurement in proton-proton collisions at $ \sqrt{s} = $ 13 TeV in 2015 and 2016 at CMS | EPJC 81 (2021) 800 | CMS-LUM-17-003 2104.01927 |
| 52 | CMS Collaboration | CMS luminosity measurement for the 2017 data-taking period at $ \sqrt{s} = $ 13 TeV | CMS Physics Analysis Summary, 2018 link |
CMS-PAS-LUM-17-004 |
| 53 | CMS Collaboration | CMS luminosity measurement for the 2018 data-taking period at $ \sqrt{s} = $ 13 TeV | CMS Physics Analysis Summary, 2019 CMS-PAS-LUM-18-002 |
CMS-PAS-LUM-18-002 |
| 54 | CMS Collaboration | Measurement of the inelastic proton-proton cross section at $ \sqrt{s}= $ 13 TeV | JHEP 07 (2018) 161 | CMS-FSQ-15-005 1802.02613 |
| 55 | J. Butterworth et al. | PDF4LHC recommendations for LHC Run II | JPG 43 (2016) 023001 | 1510.03865 |
| 56 | S. Schmitt | TUnfold: an algorithm for correcting migration effects in high energy physics | JINST 7 (2012) T10003 | 1205.6201 |
| 57 | CMS Collaboration | The CMS statistical analysis and combination tool: Combine | Comput. Softw. Big Sci. 8 (2024) 19 | CMS-CAT-23-001 2404.06614 |
|
Compact Muon Solenoid LHC, CERN |
|
|
|
|
|
|