| CMS-PAS-HIN-23-010 | ||
| Search for jet quenching signature using transverse momentum balance in high-multiplicity pPb collisions at the CMS detector | ||
| CMS Collaboration | ||
| 24 September 2024 | ||
| Abstract: The first measurement of the dijet transverse momentum balance ($ x_{j} $) in proton-lead (pPb) collisions at $ \sqrt{s_{\text{NN}}}= $ 8.16 TeV is presented. The analysis uses data collected by the CMS detector in 2016, corresponding to an integrated luminosity of 174.6 $ \,\text{nb}^\text{ $-1 $ } $. The $ x_{j} $ and its average are measured as functions of the event charged particle multiplicity for three different center-of-mass pseudorapidity configurations: forward, backward, and mid-rapidity, enabling measurements in both proton- and lead-going directions. High-multiplicity triggers are used to select events with up to 400 charged particles, aimed at probing potential jet quenching effects. The ratio of $ x_{j} $ in high- versus low-multiplicity events is used to quantify the results. All measurements are consistent with unity and are in good agreement with simulations of the hard scattering process that do not include quark-gluon plasma production. These results indicate no evidence of a jet quenching signature in small colliding systems, even in high-multiplicity events that exhibit the strongest signals of collectivity. | ||
|
Links:
CDS record (PDF) ;
CADI line (restricted) ;
These preliminary results are superseded in this paper, Submitted to JHEP. The superseded preliminary plots can be found here. |
||
| Figures | |
|
png pdf |
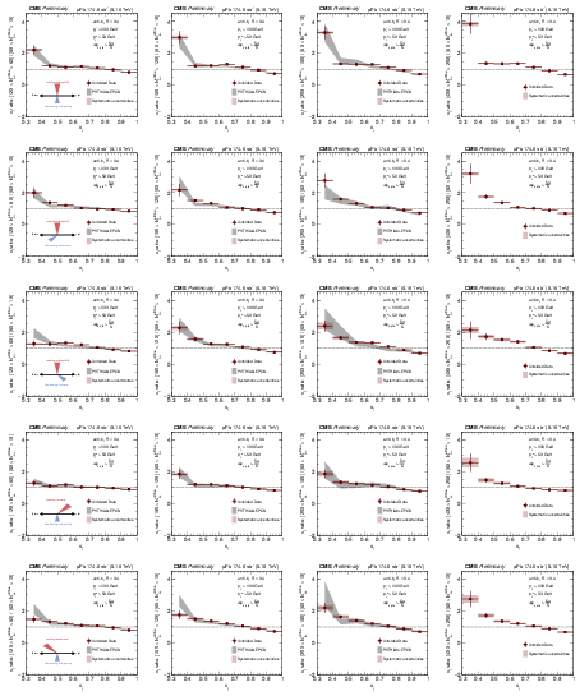
Figure 1:
The measured $ x_{j} $ distributions, from lower to higher multiplicities (left to right) and for different leading and subleading jet combinations for the midrapidity, forward, and backward (top to bottom) regions, are shown. Comparisons with the reconstructed PYTHIA 8+EPOS simulation (grey band) are also displayed. Simulations cannot be performed for the highest multiplicity range. |
|
png pdf |
Figure 1-a:
The measured $ x_{j} $ distributions, from lower to higher multiplicities (left to right) and for different leading and subleading jet combinations for the midrapidity, forward, and backward (top to bottom) regions, are shown. Comparisons with the reconstructed PYTHIA 8+EPOS simulation (grey band) are also displayed. Simulations cannot be performed for the highest multiplicity range. |
|
png pdf |
Figure 1-b:
The measured $ x_{j} $ distributions, from lower to higher multiplicities (left to right) and for different leading and subleading jet combinations for the midrapidity, forward, and backward (top to bottom) regions, are shown. Comparisons with the reconstructed PYTHIA 8+EPOS simulation (grey band) are also displayed. Simulations cannot be performed for the highest multiplicity range. |
|
png pdf |
Figure 1-c:
The measured $ x_{j} $ distributions, from lower to higher multiplicities (left to right) and for different leading and subleading jet combinations for the midrapidity, forward, and backward (top to bottom) regions, are shown. Comparisons with the reconstructed PYTHIA 8+EPOS simulation (grey band) are also displayed. Simulations cannot be performed for the highest multiplicity range. |
|
png pdf |
Figure 1-d:
The measured $ x_{j} $ distributions, from lower to higher multiplicities (left to right) and for different leading and subleading jet combinations for the midrapidity, forward, and backward (top to bottom) regions, are shown. Comparisons with the reconstructed PYTHIA 8+EPOS simulation (grey band) are also displayed. Simulations cannot be performed for the highest multiplicity range. |
|
png pdf |
Figure 1-e:
The measured $ x_{j} $ distributions, from lower to higher multiplicities (left to right) and for different leading and subleading jet combinations for the midrapidity, forward, and backward (top to bottom) regions, are shown. Comparisons with the reconstructed PYTHIA 8+EPOS simulation (grey band) are also displayed. Simulations cannot be performed for the highest multiplicity range. |
|
png pdf |
Figure 1-f:
The measured $ x_{j} $ distributions, from lower to higher multiplicities (left to right) and for different leading and subleading jet combinations for the midrapidity, forward, and backward (top to bottom) regions, are shown. Comparisons with the reconstructed PYTHIA 8+EPOS simulation (grey band) are also displayed. Simulations cannot be performed for the highest multiplicity range. |
|
png pdf |
Figure 1-g:
The measured $ x_{j} $ distributions, from lower to higher multiplicities (left to right) and for different leading and subleading jet combinations for the midrapidity, forward, and backward (top to bottom) regions, are shown. Comparisons with the reconstructed PYTHIA 8+EPOS simulation (grey band) are also displayed. Simulations cannot be performed for the highest multiplicity range. |
|
png pdf |
Figure 1-h:
The measured $ x_{j} $ distributions, from lower to higher multiplicities (left to right) and for different leading and subleading jet combinations for the midrapidity, forward, and backward (top to bottom) regions, are shown. Comparisons with the reconstructed PYTHIA 8+EPOS simulation (grey band) are also displayed. Simulations cannot be performed for the highest multiplicity range. |
|
png pdf |
Figure 1-i:
The measured $ x_{j} $ distributions, from lower to higher multiplicities (left to right) and for different leading and subleading jet combinations for the midrapidity, forward, and backward (top to bottom) regions, are shown. Comparisons with the reconstructed PYTHIA 8+EPOS simulation (grey band) are also displayed. Simulations cannot be performed for the highest multiplicity range. |
|
png pdf |
Figure 1-j:
The measured $ x_{j} $ distributions, from lower to higher multiplicities (left to right) and for different leading and subleading jet combinations for the midrapidity, forward, and backward (top to bottom) regions, are shown. Comparisons with the reconstructed PYTHIA 8+EPOS simulation (grey band) are also displayed. Simulations cannot be performed for the highest multiplicity range. |
|
png pdf |
Figure 1-k:
The measured $ x_{j} $ distributions, from lower to higher multiplicities (left to right) and for different leading and subleading jet combinations for the midrapidity, forward, and backward (top to bottom) regions, are shown. Comparisons with the reconstructed PYTHIA 8+EPOS simulation (grey band) are also displayed. Simulations cannot be performed for the highest multiplicity range. |
|
png pdf |
Figure 1-l:
The measured $ x_{j} $ distributions, from lower to higher multiplicities (left to right) and for different leading and subleading jet combinations for the midrapidity, forward, and backward (top to bottom) regions, are shown. Comparisons with the reconstructed PYTHIA 8+EPOS simulation (grey band) are also displayed. Simulations cannot be performed for the highest multiplicity range. |
|
png pdf |
Figure 1-m:
The measured $ x_{j} $ distributions, from lower to higher multiplicities (left to right) and for different leading and subleading jet combinations for the midrapidity, forward, and backward (top to bottom) regions, are shown. Comparisons with the reconstructed PYTHIA 8+EPOS simulation (grey band) are also displayed. Simulations cannot be performed for the highest multiplicity range. |
|
png pdf |
Figure 1-n:
The measured $ x_{j} $ distributions, from lower to higher multiplicities (left to right) and for different leading and subleading jet combinations for the midrapidity, forward, and backward (top to bottom) regions, are shown. Comparisons with the reconstructed PYTHIA 8+EPOS simulation (grey band) are also displayed. Simulations cannot be performed for the highest multiplicity range. |
|
png pdf |
Figure 1-o:
The measured $ x_{j} $ distributions, from lower to higher multiplicities (left to right) and for different leading and subleading jet combinations for the midrapidity, forward, and backward (top to bottom) regions, are shown. Comparisons with the reconstructed PYTHIA 8+EPOS simulation (grey band) are also displayed. Simulations cannot be performed for the highest multiplicity range. |
|
png pdf |
Figure 1-p:
The measured $ x_{j} $ distributions, from lower to higher multiplicities (left to right) and for different leading and subleading jet combinations for the midrapidity, forward, and backward (top to bottom) regions, are shown. Comparisons with the reconstructed PYTHIA 8+EPOS simulation (grey band) are also displayed. Simulations cannot be performed for the highest multiplicity range. |
|
png pdf |
Figure 1-q:
The measured $ x_{j} $ distributions, from lower to higher multiplicities (left to right) and for different leading and subleading jet combinations for the midrapidity, forward, and backward (top to bottom) regions, are shown. Comparisons with the reconstructed PYTHIA 8+EPOS simulation (grey band) are also displayed. Simulations cannot be performed for the highest multiplicity range. |
|
png pdf |
Figure 1-r:
The measured $ x_{j} $ distributions, from lower to higher multiplicities (left to right) and for different leading and subleading jet combinations for the midrapidity, forward, and backward (top to bottom) regions, are shown. Comparisons with the reconstructed PYTHIA 8+EPOS simulation (grey band) are also displayed. Simulations cannot be performed for the highest multiplicity range. |
|
png pdf |
Figure 1-s:
The measured $ x_{j} $ distributions, from lower to higher multiplicities (left to right) and for different leading and subleading jet combinations for the midrapidity, forward, and backward (top to bottom) regions, are shown. Comparisons with the reconstructed PYTHIA 8+EPOS simulation (grey band) are also displayed. Simulations cannot be performed for the highest multiplicity range. |
|
png pdf |
Figure 1-t:
The measured $ x_{j} $ distributions, from lower to higher multiplicities (left to right) and for different leading and subleading jet combinations for the midrapidity, forward, and backward (top to bottom) regions, are shown. Comparisons with the reconstructed PYTHIA 8+EPOS simulation (grey band) are also displayed. Simulations cannot be performed for the highest multiplicity range. |
|
png pdf |
Figure 1-u:
The measured $ x_{j} $ distributions, from lower to higher multiplicities (left to right) and for different leading and subleading jet combinations for the midrapidity, forward, and backward (top to bottom) regions, are shown. Comparisons with the reconstructed PYTHIA 8+EPOS simulation (grey band) are also displayed. Simulations cannot be performed for the highest multiplicity range. |
|
png pdf |
Figure 1-v:
The measured $ x_{j} $ distributions, from lower to higher multiplicities (left to right) and for different leading and subleading jet combinations for the midrapidity, forward, and backward (top to bottom) regions, are shown. Comparisons with the reconstructed PYTHIA 8+EPOS simulation (grey band) are also displayed. Simulations cannot be performed for the highest multiplicity range. |
|
png pdf |
Figure 1-w:
The measured $ x_{j} $ distributions, from lower to higher multiplicities (left to right) and for different leading and subleading jet combinations for the midrapidity, forward, and backward (top to bottom) regions, are shown. Comparisons with the reconstructed PYTHIA 8+EPOS simulation (grey band) are also displayed. Simulations cannot be performed for the highest multiplicity range. |
|
png pdf |
Figure 1-x:
The measured $ x_{j} $ distributions, from lower to higher multiplicities (left to right) and for different leading and subleading jet combinations for the midrapidity, forward, and backward (top to bottom) regions, are shown. Comparisons with the reconstructed PYTHIA 8+EPOS simulation (grey band) are also displayed. Simulations cannot be performed for the highest multiplicity range. |
|
png pdf |
Figure 1-y:
The measured $ x_{j} $ distributions, from lower to higher multiplicities (left to right) and for different leading and subleading jet combinations for the midrapidity, forward, and backward (top to bottom) regions, are shown. Comparisons with the reconstructed PYTHIA 8+EPOS simulation (grey band) are also displayed. Simulations cannot be performed for the highest multiplicity range. |
|
png pdf |
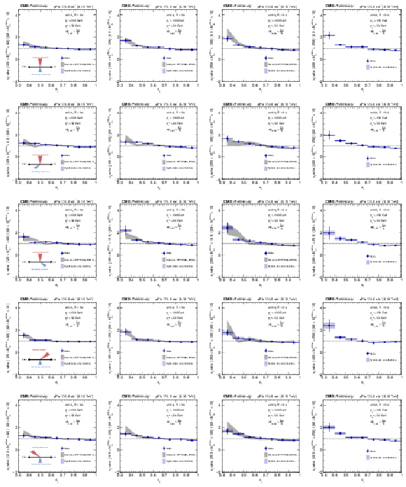
Figure 2:
The unfolded $ x_{j} $ distributions, from lower to higher multiplicities (left to right) and for different leading and subleading jet combinations for the midrapidity, forward, and backward (top to bottom) regions, are shown. Comparisons with the reconstructed PYTHIA 8+EPOS simulation (grey band) are also displayed. Simulations cannot be performed for the highest multiplicity range. |
|
png pdf |
Figure 2-a:
The unfolded $ x_{j} $ distributions, from lower to higher multiplicities (left to right) and for different leading and subleading jet combinations for the midrapidity, forward, and backward (top to bottom) regions, are shown. Comparisons with the reconstructed PYTHIA 8+EPOS simulation (grey band) are also displayed. Simulations cannot be performed for the highest multiplicity range. |
|
png pdf |
Figure 2-b:
The unfolded $ x_{j} $ distributions, from lower to higher multiplicities (left to right) and for different leading and subleading jet combinations for the midrapidity, forward, and backward (top to bottom) regions, are shown. Comparisons with the reconstructed PYTHIA 8+EPOS simulation (grey band) are also displayed. Simulations cannot be performed for the highest multiplicity range. |
|
png pdf |
Figure 2-c:
The unfolded $ x_{j} $ distributions, from lower to higher multiplicities (left to right) and for different leading and subleading jet combinations for the midrapidity, forward, and backward (top to bottom) regions, are shown. Comparisons with the reconstructed PYTHIA 8+EPOS simulation (grey band) are also displayed. Simulations cannot be performed for the highest multiplicity range. |
|
png pdf |
Figure 2-d:
The unfolded $ x_{j} $ distributions, from lower to higher multiplicities (left to right) and for different leading and subleading jet combinations for the midrapidity, forward, and backward (top to bottom) regions, are shown. Comparisons with the reconstructed PYTHIA 8+EPOS simulation (grey band) are also displayed. Simulations cannot be performed for the highest multiplicity range. |
|
png pdf |
Figure 2-e:
The unfolded $ x_{j} $ distributions, from lower to higher multiplicities (left to right) and for different leading and subleading jet combinations for the midrapidity, forward, and backward (top to bottom) regions, are shown. Comparisons with the reconstructed PYTHIA 8+EPOS simulation (grey band) are also displayed. Simulations cannot be performed for the highest multiplicity range. |
|
png pdf |
Figure 2-f:
The unfolded $ x_{j} $ distributions, from lower to higher multiplicities (left to right) and for different leading and subleading jet combinations for the midrapidity, forward, and backward (top to bottom) regions, are shown. Comparisons with the reconstructed PYTHIA 8+EPOS simulation (grey band) are also displayed. Simulations cannot be performed for the highest multiplicity range. |
|
png pdf |
Figure 2-g:
The unfolded $ x_{j} $ distributions, from lower to higher multiplicities (left to right) and for different leading and subleading jet combinations for the midrapidity, forward, and backward (top to bottom) regions, are shown. Comparisons with the reconstructed PYTHIA 8+EPOS simulation (grey band) are also displayed. Simulations cannot be performed for the highest multiplicity range. |
|
png pdf |
Figure 2-h:
The unfolded $ x_{j} $ distributions, from lower to higher multiplicities (left to right) and for different leading and subleading jet combinations for the midrapidity, forward, and backward (top to bottom) regions, are shown. Comparisons with the reconstructed PYTHIA 8+EPOS simulation (grey band) are also displayed. Simulations cannot be performed for the highest multiplicity range. |
|
png pdf |
Figure 2-i:
The unfolded $ x_{j} $ distributions, from lower to higher multiplicities (left to right) and for different leading and subleading jet combinations for the midrapidity, forward, and backward (top to bottom) regions, are shown. Comparisons with the reconstructed PYTHIA 8+EPOS simulation (grey band) are also displayed. Simulations cannot be performed for the highest multiplicity range. |
|
png pdf |
Figure 2-j:
The unfolded $ x_{j} $ distributions, from lower to higher multiplicities (left to right) and for different leading and subleading jet combinations for the midrapidity, forward, and backward (top to bottom) regions, are shown. Comparisons with the reconstructed PYTHIA 8+EPOS simulation (grey band) are also displayed. Simulations cannot be performed for the highest multiplicity range. |
|
png pdf |
Figure 2-k:
The unfolded $ x_{j} $ distributions, from lower to higher multiplicities (left to right) and for different leading and subleading jet combinations for the midrapidity, forward, and backward (top to bottom) regions, are shown. Comparisons with the reconstructed PYTHIA 8+EPOS simulation (grey band) are also displayed. Simulations cannot be performed for the highest multiplicity range. |
|
png pdf |
Figure 2-l:
The unfolded $ x_{j} $ distributions, from lower to higher multiplicities (left to right) and for different leading and subleading jet combinations for the midrapidity, forward, and backward (top to bottom) regions, are shown. Comparisons with the reconstructed PYTHIA 8+EPOS simulation (grey band) are also displayed. Simulations cannot be performed for the highest multiplicity range. |
|
png pdf |
Figure 2-m:
The unfolded $ x_{j} $ distributions, from lower to higher multiplicities (left to right) and for different leading and subleading jet combinations for the midrapidity, forward, and backward (top to bottom) regions, are shown. Comparisons with the reconstructed PYTHIA 8+EPOS simulation (grey band) are also displayed. Simulations cannot be performed for the highest multiplicity range. |
|
png pdf |
Figure 2-n:
The unfolded $ x_{j} $ distributions, from lower to higher multiplicities (left to right) and for different leading and subleading jet combinations for the midrapidity, forward, and backward (top to bottom) regions, are shown. Comparisons with the reconstructed PYTHIA 8+EPOS simulation (grey band) are also displayed. Simulations cannot be performed for the highest multiplicity range. |
|
png pdf |
Figure 2-o:
The unfolded $ x_{j} $ distributions, from lower to higher multiplicities (left to right) and for different leading and subleading jet combinations for the midrapidity, forward, and backward (top to bottom) regions, are shown. Comparisons with the reconstructed PYTHIA 8+EPOS simulation (grey band) are also displayed. Simulations cannot be performed for the highest multiplicity range. |
|
png pdf |
Figure 2-p:
The unfolded $ x_{j} $ distributions, from lower to higher multiplicities (left to right) and for different leading and subleading jet combinations for the midrapidity, forward, and backward (top to bottom) regions, are shown. Comparisons with the reconstructed PYTHIA 8+EPOS simulation (grey band) are also displayed. Simulations cannot be performed for the highest multiplicity range. |
|
png pdf |
Figure 2-q:
The unfolded $ x_{j} $ distributions, from lower to higher multiplicities (left to right) and for different leading and subleading jet combinations for the midrapidity, forward, and backward (top to bottom) regions, are shown. Comparisons with the reconstructed PYTHIA 8+EPOS simulation (grey band) are also displayed. Simulations cannot be performed for the highest multiplicity range. |
|
png pdf |
Figure 2-r:
The unfolded $ x_{j} $ distributions, from lower to higher multiplicities (left to right) and for different leading and subleading jet combinations for the midrapidity, forward, and backward (top to bottom) regions, are shown. Comparisons with the reconstructed PYTHIA 8+EPOS simulation (grey band) are also displayed. Simulations cannot be performed for the highest multiplicity range. |
|
png pdf |
Figure 2-s:
The unfolded $ x_{j} $ distributions, from lower to higher multiplicities (left to right) and for different leading and subleading jet combinations for the midrapidity, forward, and backward (top to bottom) regions, are shown. Comparisons with the reconstructed PYTHIA 8+EPOS simulation (grey band) are also displayed. Simulations cannot be performed for the highest multiplicity range. |
|
png pdf |
Figure 2-t:
The unfolded $ x_{j} $ distributions, from lower to higher multiplicities (left to right) and for different leading and subleading jet combinations for the midrapidity, forward, and backward (top to bottom) regions, are shown. Comparisons with the reconstructed PYTHIA 8+EPOS simulation (grey band) are also displayed. Simulations cannot be performed for the highest multiplicity range. |
|
png pdf |
Figure 2-u:
The unfolded $ x_{j} $ distributions, from lower to higher multiplicities (left to right) and for different leading and subleading jet combinations for the midrapidity, forward, and backward (top to bottom) regions, are shown. Comparisons with the reconstructed PYTHIA 8+EPOS simulation (grey band) are also displayed. Simulations cannot be performed for the highest multiplicity range. |
|
png pdf |
Figure 2-v:
The unfolded $ x_{j} $ distributions, from lower to higher multiplicities (left to right) and for different leading and subleading jet combinations for the midrapidity, forward, and backward (top to bottom) regions, are shown. Comparisons with the reconstructed PYTHIA 8+EPOS simulation (grey band) are also displayed. Simulations cannot be performed for the highest multiplicity range. |
|
png pdf |
Figure 2-w:
The unfolded $ x_{j} $ distributions, from lower to higher multiplicities (left to right) and for different leading and subleading jet combinations for the midrapidity, forward, and backward (top to bottom) regions, are shown. Comparisons with the reconstructed PYTHIA 8+EPOS simulation (grey band) are also displayed. Simulations cannot be performed for the highest multiplicity range. |
|
png pdf |
Figure 2-x:
The unfolded $ x_{j} $ distributions, from lower to higher multiplicities (left to right) and for different leading and subleading jet combinations for the midrapidity, forward, and backward (top to bottom) regions, are shown. Comparisons with the reconstructed PYTHIA 8+EPOS simulation (grey band) are also displayed. Simulations cannot be performed for the highest multiplicity range. |
|
png pdf |
Figure 2-y:
The unfolded $ x_{j} $ distributions, from lower to higher multiplicities (left to right) and for different leading and subleading jet combinations for the midrapidity, forward, and backward (top to bottom) regions, are shown. Comparisons with the reconstructed PYTHIA 8+EPOS simulation (grey band) are also displayed. Simulations cannot be performed for the highest multiplicity range. |
|
png pdf |
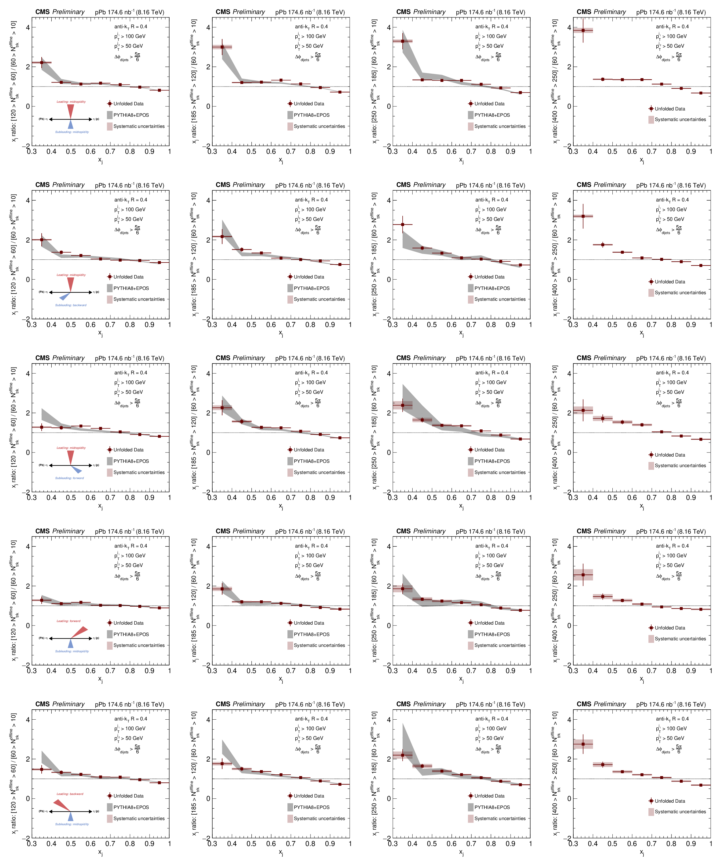
Figure 3:
The measured $ x_{j} $ ratio in the range 10 $ < \text{N}_{\text{trk}}^{\text{offline}} < $ 60, from lower to higher multiplicities (left to right) for different leading and subleading jet combinations for the midrapidity, forward, and backward (top to bottom) regions, are shown. Comparison with the reconstructed PYTHIA 8+EPOS simulation (grey band) are also displayed. |
|
png pdf |
Figure 3-a:
The measured $ x_{j} $ ratio in the range 10 $ < \text{N}_{\text{trk}}^{\text{offline}} < $ 60, from lower to higher multiplicities (left to right) for different leading and subleading jet combinations for the midrapidity, forward, and backward (top to bottom) regions, are shown. Comparison with the reconstructed PYTHIA 8+EPOS simulation (grey band) are also displayed. |
|
png pdf |
Figure 3-b:
The measured $ x_{j} $ ratio in the range 10 $ < \text{N}_{\text{trk}}^{\text{offline}} < $ 60, from lower to higher multiplicities (left to right) for different leading and subleading jet combinations for the midrapidity, forward, and backward (top to bottom) regions, are shown. Comparison with the reconstructed PYTHIA 8+EPOS simulation (grey band) are also displayed. |
|
png pdf |
Figure 3-c:
The measured $ x_{j} $ ratio in the range 10 $ < \text{N}_{\text{trk}}^{\text{offline}} < $ 60, from lower to higher multiplicities (left to right) for different leading and subleading jet combinations for the midrapidity, forward, and backward (top to bottom) regions, are shown. Comparison with the reconstructed PYTHIA 8+EPOS simulation (grey band) are also displayed. |
|
png pdf |
Figure 3-d:
The measured $ x_{j} $ ratio in the range 10 $ < \text{N}_{\text{trk}}^{\text{offline}} < $ 60, from lower to higher multiplicities (left to right) for different leading and subleading jet combinations for the midrapidity, forward, and backward (top to bottom) regions, are shown. Comparison with the reconstructed PYTHIA 8+EPOS simulation (grey band) are also displayed. |
|
png pdf |
Figure 3-e:
The measured $ x_{j} $ ratio in the range 10 $ < \text{N}_{\text{trk}}^{\text{offline}} < $ 60, from lower to higher multiplicities (left to right) for different leading and subleading jet combinations for the midrapidity, forward, and backward (top to bottom) regions, are shown. Comparison with the reconstructed PYTHIA 8+EPOS simulation (grey band) are also displayed. |
|
png pdf |
Figure 3-f:
The measured $ x_{j} $ ratio in the range 10 $ < \text{N}_{\text{trk}}^{\text{offline}} < $ 60, from lower to higher multiplicities (left to right) for different leading and subleading jet combinations for the midrapidity, forward, and backward (top to bottom) regions, are shown. Comparison with the reconstructed PYTHIA 8+EPOS simulation (grey band) are also displayed. |
|
png pdf |
Figure 3-g:
The measured $ x_{j} $ ratio in the range 10 $ < \text{N}_{\text{trk}}^{\text{offline}} < $ 60, from lower to higher multiplicities (left to right) for different leading and subleading jet combinations for the midrapidity, forward, and backward (top to bottom) regions, are shown. Comparison with the reconstructed PYTHIA 8+EPOS simulation (grey band) are also displayed. |
|
png pdf |
Figure 3-h:
The measured $ x_{j} $ ratio in the range 10 $ < \text{N}_{\text{trk}}^{\text{offline}} < $ 60, from lower to higher multiplicities (left to right) for different leading and subleading jet combinations for the midrapidity, forward, and backward (top to bottom) regions, are shown. Comparison with the reconstructed PYTHIA 8+EPOS simulation (grey band) are also displayed. |
|
png pdf |
Figure 3-i:
The measured $ x_{j} $ ratio in the range 10 $ < \text{N}_{\text{trk}}^{\text{offline}} < $ 60, from lower to higher multiplicities (left to right) for different leading and subleading jet combinations for the midrapidity, forward, and backward (top to bottom) regions, are shown. Comparison with the reconstructed PYTHIA 8+EPOS simulation (grey band) are also displayed. |
|
png pdf |
Figure 3-j:
The measured $ x_{j} $ ratio in the range 10 $ < \text{N}_{\text{trk}}^{\text{offline}} < $ 60, from lower to higher multiplicities (left to right) for different leading and subleading jet combinations for the midrapidity, forward, and backward (top to bottom) regions, are shown. Comparison with the reconstructed PYTHIA 8+EPOS simulation (grey band) are also displayed. |
|
png pdf |
Figure 3-k:
The measured $ x_{j} $ ratio in the range 10 $ < \text{N}_{\text{trk}}^{\text{offline}} < $ 60, from lower to higher multiplicities (left to right) for different leading and subleading jet combinations for the midrapidity, forward, and backward (top to bottom) regions, are shown. Comparison with the reconstructed PYTHIA 8+EPOS simulation (grey band) are also displayed. |
|
png pdf |
Figure 3-l:
The measured $ x_{j} $ ratio in the range 10 $ < \text{N}_{\text{trk}}^{\text{offline}} < $ 60, from lower to higher multiplicities (left to right) for different leading and subleading jet combinations for the midrapidity, forward, and backward (top to bottom) regions, are shown. Comparison with the reconstructed PYTHIA 8+EPOS simulation (grey band) are also displayed. |
|
png pdf |
Figure 3-m:
The measured $ x_{j} $ ratio in the range 10 $ < \text{N}_{\text{trk}}^{\text{offline}} < $ 60, from lower to higher multiplicities (left to right) for different leading and subleading jet combinations for the midrapidity, forward, and backward (top to bottom) regions, are shown. Comparison with the reconstructed PYTHIA 8+EPOS simulation (grey band) are also displayed. |
|
png pdf |
Figure 3-n:
The measured $ x_{j} $ ratio in the range 10 $ < \text{N}_{\text{trk}}^{\text{offline}} < $ 60, from lower to higher multiplicities (left to right) for different leading and subleading jet combinations for the midrapidity, forward, and backward (top to bottom) regions, are shown. Comparison with the reconstructed PYTHIA 8+EPOS simulation (grey band) are also displayed. |
|
png pdf |
Figure 3-o:
The measured $ x_{j} $ ratio in the range 10 $ < \text{N}_{\text{trk}}^{\text{offline}} < $ 60, from lower to higher multiplicities (left to right) for different leading and subleading jet combinations for the midrapidity, forward, and backward (top to bottom) regions, are shown. Comparison with the reconstructed PYTHIA 8+EPOS simulation (grey band) are also displayed. |
|
png pdf |
Figure 3-p:
The measured $ x_{j} $ ratio in the range 10 $ < \text{N}_{\text{trk}}^{\text{offline}} < $ 60, from lower to higher multiplicities (left to right) for different leading and subleading jet combinations for the midrapidity, forward, and backward (top to bottom) regions, are shown. Comparison with the reconstructed PYTHIA 8+EPOS simulation (grey band) are also displayed. |
|
png pdf |
Figure 3-q:
The measured $ x_{j} $ ratio in the range 10 $ < \text{N}_{\text{trk}}^{\text{offline}} < $ 60, from lower to higher multiplicities (left to right) for different leading and subleading jet combinations for the midrapidity, forward, and backward (top to bottom) regions, are shown. Comparison with the reconstructed PYTHIA 8+EPOS simulation (grey band) are also displayed. |
|
png pdf |
Figure 3-r:
The measured $ x_{j} $ ratio in the range 10 $ < \text{N}_{\text{trk}}^{\text{offline}} < $ 60, from lower to higher multiplicities (left to right) for different leading and subleading jet combinations for the midrapidity, forward, and backward (top to bottom) regions, are shown. Comparison with the reconstructed PYTHIA 8+EPOS simulation (grey band) are also displayed. |
|
png pdf |
Figure 3-s:
The measured $ x_{j} $ ratio in the range 10 $ < \text{N}_{\text{trk}}^{\text{offline}} < $ 60, from lower to higher multiplicities (left to right) for different leading and subleading jet combinations for the midrapidity, forward, and backward (top to bottom) regions, are shown. Comparison with the reconstructed PYTHIA 8+EPOS simulation (grey band) are also displayed. |
|
png pdf |
Figure 3-t:
The measured $ x_{j} $ ratio in the range 10 $ < \text{N}_{\text{trk}}^{\text{offline}} < $ 60, from lower to higher multiplicities (left to right) for different leading and subleading jet combinations for the midrapidity, forward, and backward (top to bottom) regions, are shown. Comparison with the reconstructed PYTHIA 8+EPOS simulation (grey band) are also displayed. |
|
png pdf |
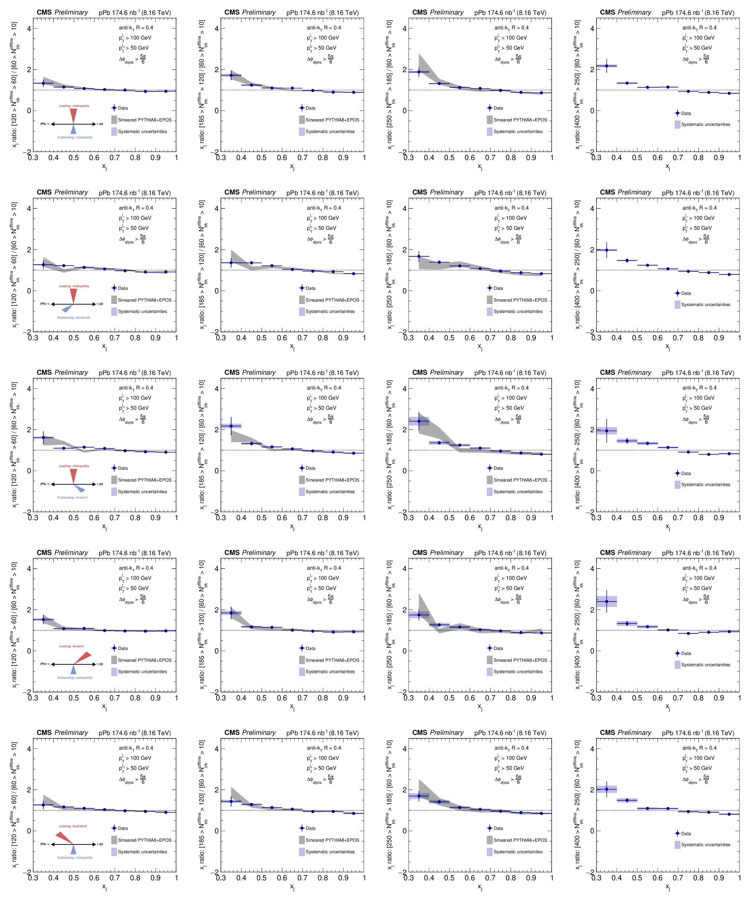
Figure 4:
The unfolded $ x_{j} $ ratio in the range 10 $ < \text{N}_{\text{trk}}^{\text{offline}} < $ 60, from lower to higher multiplicities (left to right) for different leading and subleading jet combinations for the midrapidity, forward, and backward (top to bottom) regions, are shown. Comparison with the reconstructed PYTHIA 8+EPOS simulation (grey band) are also displayed. |
|
png pdf |
Figure 4-a:
The unfolded $ x_{j} $ ratio in the range 10 $ < \text{N}_{\text{trk}}^{\text{offline}} < $ 60, from lower to higher multiplicities (left to right) for different leading and subleading jet combinations for the midrapidity, forward, and backward (top to bottom) regions, are shown. Comparison with the reconstructed PYTHIA 8+EPOS simulation (grey band) are also displayed. |
|
png pdf |
Figure 4-b:
The unfolded $ x_{j} $ ratio in the range 10 $ < \text{N}_{\text{trk}}^{\text{offline}} < $ 60, from lower to higher multiplicities (left to right) for different leading and subleading jet combinations for the midrapidity, forward, and backward (top to bottom) regions, are shown. Comparison with the reconstructed PYTHIA 8+EPOS simulation (grey band) are also displayed. |
|
png pdf |
Figure 4-c:
The unfolded $ x_{j} $ ratio in the range 10 $ < \text{N}_{\text{trk}}^{\text{offline}} < $ 60, from lower to higher multiplicities (left to right) for different leading and subleading jet combinations for the midrapidity, forward, and backward (top to bottom) regions, are shown. Comparison with the reconstructed PYTHIA 8+EPOS simulation (grey band) are also displayed. |
|
png pdf |
Figure 4-d:
The unfolded $ x_{j} $ ratio in the range 10 $ < \text{N}_{\text{trk}}^{\text{offline}} < $ 60, from lower to higher multiplicities (left to right) for different leading and subleading jet combinations for the midrapidity, forward, and backward (top to bottom) regions, are shown. Comparison with the reconstructed PYTHIA 8+EPOS simulation (grey band) are also displayed. |
|
png pdf |
Figure 4-e:
The unfolded $ x_{j} $ ratio in the range 10 $ < \text{N}_{\text{trk}}^{\text{offline}} < $ 60, from lower to higher multiplicities (left to right) for different leading and subleading jet combinations for the midrapidity, forward, and backward (top to bottom) regions, are shown. Comparison with the reconstructed PYTHIA 8+EPOS simulation (grey band) are also displayed. |
|
png pdf |
Figure 4-f:
The unfolded $ x_{j} $ ratio in the range 10 $ < \text{N}_{\text{trk}}^{\text{offline}} < $ 60, from lower to higher multiplicities (left to right) for different leading and subleading jet combinations for the midrapidity, forward, and backward (top to bottom) regions, are shown. Comparison with the reconstructed PYTHIA 8+EPOS simulation (grey band) are also displayed. |
|
png pdf |
Figure 4-g:
The unfolded $ x_{j} $ ratio in the range 10 $ < \text{N}_{\text{trk}}^{\text{offline}} < $ 60, from lower to higher multiplicities (left to right) for different leading and subleading jet combinations for the midrapidity, forward, and backward (top to bottom) regions, are shown. Comparison with the reconstructed PYTHIA 8+EPOS simulation (grey band) are also displayed. |
|
png pdf |
Figure 4-h:
The unfolded $ x_{j} $ ratio in the range 10 $ < \text{N}_{\text{trk}}^{\text{offline}} < $ 60, from lower to higher multiplicities (left to right) for different leading and subleading jet combinations for the midrapidity, forward, and backward (top to bottom) regions, are shown. Comparison with the reconstructed PYTHIA 8+EPOS simulation (grey band) are also displayed. |
|
png pdf |
Figure 4-i:
The unfolded $ x_{j} $ ratio in the range 10 $ < \text{N}_{\text{trk}}^{\text{offline}} < $ 60, from lower to higher multiplicities (left to right) for different leading and subleading jet combinations for the midrapidity, forward, and backward (top to bottom) regions, are shown. Comparison with the reconstructed PYTHIA 8+EPOS simulation (grey band) are also displayed. |
|
png pdf |
Figure 4-j:
The unfolded $ x_{j} $ ratio in the range 10 $ < \text{N}_{\text{trk}}^{\text{offline}} < $ 60, from lower to higher multiplicities (left to right) for different leading and subleading jet combinations for the midrapidity, forward, and backward (top to bottom) regions, are shown. Comparison with the reconstructed PYTHIA 8+EPOS simulation (grey band) are also displayed. |
|
png pdf |
Figure 4-k:
The unfolded $ x_{j} $ ratio in the range 10 $ < \text{N}_{\text{trk}}^{\text{offline}} < $ 60, from lower to higher multiplicities (left to right) for different leading and subleading jet combinations for the midrapidity, forward, and backward (top to bottom) regions, are shown. Comparison with the reconstructed PYTHIA 8+EPOS simulation (grey band) are also displayed. |
|
png pdf |
Figure 4-l:
The unfolded $ x_{j} $ ratio in the range 10 $ < \text{N}_{\text{trk}}^{\text{offline}} < $ 60, from lower to higher multiplicities (left to right) for different leading and subleading jet combinations for the midrapidity, forward, and backward (top to bottom) regions, are shown. Comparison with the reconstructed PYTHIA 8+EPOS simulation (grey band) are also displayed. |
|
png pdf |
Figure 4-m:
The unfolded $ x_{j} $ ratio in the range 10 $ < \text{N}_{\text{trk}}^{\text{offline}} < $ 60, from lower to higher multiplicities (left to right) for different leading and subleading jet combinations for the midrapidity, forward, and backward (top to bottom) regions, are shown. Comparison with the reconstructed PYTHIA 8+EPOS simulation (grey band) are also displayed. |
|
png pdf |
Figure 4-n:
The unfolded $ x_{j} $ ratio in the range 10 $ < \text{N}_{\text{trk}}^{\text{offline}} < $ 60, from lower to higher multiplicities (left to right) for different leading and subleading jet combinations for the midrapidity, forward, and backward (top to bottom) regions, are shown. Comparison with the reconstructed PYTHIA 8+EPOS simulation (grey band) are also displayed. |
|
png pdf |
Figure 4-o:
The unfolded $ x_{j} $ ratio in the range 10 $ < \text{N}_{\text{trk}}^{\text{offline}} < $ 60, from lower to higher multiplicities (left to right) for different leading and subleading jet combinations for the midrapidity, forward, and backward (top to bottom) regions, are shown. Comparison with the reconstructed PYTHIA 8+EPOS simulation (grey band) are also displayed. |
|
png pdf |
Figure 4-p:
The unfolded $ x_{j} $ ratio in the range 10 $ < \text{N}_{\text{trk}}^{\text{offline}} < $ 60, from lower to higher multiplicities (left to right) for different leading and subleading jet combinations for the midrapidity, forward, and backward (top to bottom) regions, are shown. Comparison with the reconstructed PYTHIA 8+EPOS simulation (grey band) are also displayed. |
|
png pdf |
Figure 4-q:
The unfolded $ x_{j} $ ratio in the range 10 $ < \text{N}_{\text{trk}}^{\text{offline}} < $ 60, from lower to higher multiplicities (left to right) for different leading and subleading jet combinations for the midrapidity, forward, and backward (top to bottom) regions, are shown. Comparison with the reconstructed PYTHIA 8+EPOS simulation (grey band) are also displayed. |
|
png pdf |
Figure 4-r:
The unfolded $ x_{j} $ ratio in the range 10 $ < \text{N}_{\text{trk}}^{\text{offline}} < $ 60, from lower to higher multiplicities (left to right) for different leading and subleading jet combinations for the midrapidity, forward, and backward (top to bottom) regions, are shown. Comparison with the reconstructed PYTHIA 8+EPOS simulation (grey band) are also displayed. |
|
png pdf |
Figure 4-s:
The unfolded $ x_{j} $ ratio in the range 10 $ < \text{N}_{\text{trk}}^{\text{offline}} < $ 60, from lower to higher multiplicities (left to right) for different leading and subleading jet combinations for the midrapidity, forward, and backward (top to bottom) regions, are shown. Comparison with the reconstructed PYTHIA 8+EPOS simulation (grey band) are also displayed. |
|
png pdf |
Figure 4-t:
The unfolded $ x_{j} $ ratio in the range 10 $ < \text{N}_{\text{trk}}^{\text{offline}} < $ 60, from lower to higher multiplicities (left to right) for different leading and subleading jet combinations for the midrapidity, forward, and backward (top to bottom) regions, are shown. Comparison with the reconstructed PYTHIA 8+EPOS simulation (grey band) are also displayed. |
|
png pdf |
Figure 5:
Mean $ x_{j} $ ratio in the range 10 $ < \text{N}_{\text{trk}}^{\text{offline}} < $ 60 as measured (left panel) and unfolded (right panel) for different multiplicities, for different leading and subleading jet combinations for the midrapidity, forward, and backward (top to bottom) regions, are shown. Comparison with the reconstructed (left, grey band) and generator-level (right, grey band) PYTHIA 8+EPOS are also displayed. |
|
png pdf |
Figure 5-a:
Mean $ x_{j} $ ratio in the range 10 $ < \text{N}_{\text{trk}}^{\text{offline}} < $ 60 as measured (left panel) and unfolded (right panel) for different multiplicities, for different leading and subleading jet combinations for the midrapidity, forward, and backward (top to bottom) regions, are shown. Comparison with the reconstructed (left, grey band) and generator-level (right, grey band) PYTHIA 8+EPOS are also displayed. |
|
png pdf |
Figure 5-b:
Mean $ x_{j} $ ratio in the range 10 $ < \text{N}_{\text{trk}}^{\text{offline}} < $ 60 as measured (left panel) and unfolded (right panel) for different multiplicities, for different leading and subleading jet combinations for the midrapidity, forward, and backward (top to bottom) regions, are shown. Comparison with the reconstructed (left, grey band) and generator-level (right, grey band) PYTHIA 8+EPOS are also displayed. |
|
png pdf |
Figure 5-c:
Mean $ x_{j} $ ratio in the range 10 $ < \text{N}_{\text{trk}}^{\text{offline}} < $ 60 as measured (left panel) and unfolded (right panel) for different multiplicities, for different leading and subleading jet combinations for the midrapidity, forward, and backward (top to bottom) regions, are shown. Comparison with the reconstructed (left, grey band) and generator-level (right, grey band) PYTHIA 8+EPOS are also displayed. |
|
png pdf |
Figure 5-d:
Mean $ x_{j} $ ratio in the range 10 $ < \text{N}_{\text{trk}}^{\text{offline}} < $ 60 as measured (left panel) and unfolded (right panel) for different multiplicities, for different leading and subleading jet combinations for the midrapidity, forward, and backward (top to bottom) regions, are shown. Comparison with the reconstructed (left, grey band) and generator-level (right, grey band) PYTHIA 8+EPOS are also displayed. |
|
png pdf |
Figure 5-e:
Mean $ x_{j} $ ratio in the range 10 $ < \text{N}_{\text{trk}}^{\text{offline}} < $ 60 as measured (left panel) and unfolded (right panel) for different multiplicities, for different leading and subleading jet combinations for the midrapidity, forward, and backward (top to bottom) regions, are shown. Comparison with the reconstructed (left, grey band) and generator-level (right, grey band) PYTHIA 8+EPOS are also displayed. |
|
png pdf |
Figure 5-f:
Mean $ x_{j} $ ratio in the range 10 $ < \text{N}_{\text{trk}}^{\text{offline}} < $ 60 as measured (left panel) and unfolded (right panel) for different multiplicities, for different leading and subleading jet combinations for the midrapidity, forward, and backward (top to bottom) regions, are shown. Comparison with the reconstructed (left, grey band) and generator-level (right, grey band) PYTHIA 8+EPOS are also displayed. |
|
png pdf |
Figure 5-g:
Mean $ x_{j} $ ratio in the range 10 $ < \text{N}_{\text{trk}}^{\text{offline}} < $ 60 as measured (left panel) and unfolded (right panel) for different multiplicities, for different leading and subleading jet combinations for the midrapidity, forward, and backward (top to bottom) regions, are shown. Comparison with the reconstructed (left, grey band) and generator-level (right, grey band) PYTHIA 8+EPOS are also displayed. |
|
png pdf |
Figure 5-h:
Mean $ x_{j} $ ratio in the range 10 $ < \text{N}_{\text{trk}}^{\text{offline}} < $ 60 as measured (left panel) and unfolded (right panel) for different multiplicities, for different leading and subleading jet combinations for the midrapidity, forward, and backward (top to bottom) regions, are shown. Comparison with the reconstructed (left, grey band) and generator-level (right, grey band) PYTHIA 8+EPOS are also displayed. |
|
png pdf |
Figure 5-i:
Mean $ x_{j} $ ratio in the range 10 $ < \text{N}_{\text{trk}}^{\text{offline}} < $ 60 as measured (left panel) and unfolded (right panel) for different multiplicities, for different leading and subleading jet combinations for the midrapidity, forward, and backward (top to bottom) regions, are shown. Comparison with the reconstructed (left, grey band) and generator-level (right, grey band) PYTHIA 8+EPOS are also displayed. |
|
png pdf |
Figure 5-j:
Mean $ x_{j} $ ratio in the range 10 $ < \text{N}_{\text{trk}}^{\text{offline}} < $ 60 as measured (left panel) and unfolded (right panel) for different multiplicities, for different leading and subleading jet combinations for the midrapidity, forward, and backward (top to bottom) regions, are shown. Comparison with the reconstructed (left, grey band) and generator-level (right, grey band) PYTHIA 8+EPOS are also displayed. |
|
png pdf |
Figure 6:
The unfolded response matrices, $ x_{j} $ (reconstructed) versus $ x_{j} $ (generated), from lower to higher multiplicities (left to right) and for different leading and subleading jet combinations in the midrapidity, forward, and backward regions (top to bottom) are shown. |
|
png pdf |
Figure 6-a:
The unfolded response matrices, $ x_{j} $ (reconstructed) versus $ x_{j} $ (generated), from lower to higher multiplicities (left to right) and for different leading and subleading jet combinations in the midrapidity, forward, and backward regions (top to bottom) are shown. |
|
png pdf |
Figure 6-b:
The unfolded response matrices, $ x_{j} $ (reconstructed) versus $ x_{j} $ (generated), from lower to higher multiplicities (left to right) and for different leading and subleading jet combinations in the midrapidity, forward, and backward regions (top to bottom) are shown. |
|
png pdf |
Figure 6-c:
The unfolded response matrices, $ x_{j} $ (reconstructed) versus $ x_{j} $ (generated), from lower to higher multiplicities (left to right) and for different leading and subleading jet combinations in the midrapidity, forward, and backward regions (top to bottom) are shown. |
|
png pdf |
Figure 6-d:
The unfolded response matrices, $ x_{j} $ (reconstructed) versus $ x_{j} $ (generated), from lower to higher multiplicities (left to right) and for different leading and subleading jet combinations in the midrapidity, forward, and backward regions (top to bottom) are shown. |
|
png pdf |
Figure 6-e:
The unfolded response matrices, $ x_{j} $ (reconstructed) versus $ x_{j} $ (generated), from lower to higher multiplicities (left to right) and for different leading and subleading jet combinations in the midrapidity, forward, and backward regions (top to bottom) are shown. |
|
png pdf |
Figure 6-f:
The unfolded response matrices, $ x_{j} $ (reconstructed) versus $ x_{j} $ (generated), from lower to higher multiplicities (left to right) and for different leading and subleading jet combinations in the midrapidity, forward, and backward regions (top to bottom) are shown. |
|
png pdf |
Figure 6-g:
The unfolded response matrices, $ x_{j} $ (reconstructed) versus $ x_{j} $ (generated), from lower to higher multiplicities (left to right) and for different leading and subleading jet combinations in the midrapidity, forward, and backward regions (top to bottom) are shown. |
|
png pdf |
Figure 6-h:
The unfolded response matrices, $ x_{j} $ (reconstructed) versus $ x_{j} $ (generated), from lower to higher multiplicities (left to right) and for different leading and subleading jet combinations in the midrapidity, forward, and backward regions (top to bottom) are shown. |
|
png pdf |
Figure 6-i:
The unfolded response matrices, $ x_{j} $ (reconstructed) versus $ x_{j} $ (generated), from lower to higher multiplicities (left to right) and for different leading and subleading jet combinations in the midrapidity, forward, and backward regions (top to bottom) are shown. |
|
png pdf |
Figure 6-j:
The unfolded response matrices, $ x_{j} $ (reconstructed) versus $ x_{j} $ (generated), from lower to higher multiplicities (left to right) and for different leading and subleading jet combinations in the midrapidity, forward, and backward regions (top to bottom) are shown. |
|
png pdf |
Figure 6-k:
The unfolded response matrices, $ x_{j} $ (reconstructed) versus $ x_{j} $ (generated), from lower to higher multiplicities (left to right) and for different leading and subleading jet combinations in the midrapidity, forward, and backward regions (top to bottom) are shown. |
|
png pdf |
Figure 6-l:
The unfolded response matrices, $ x_{j} $ (reconstructed) versus $ x_{j} $ (generated), from lower to higher multiplicities (left to right) and for different leading and subleading jet combinations in the midrapidity, forward, and backward regions (top to bottom) are shown. |
|
png pdf |
Figure 6-m:
The unfolded response matrices, $ x_{j} $ (reconstructed) versus $ x_{j} $ (generated), from lower to higher multiplicities (left to right) and for different leading and subleading jet combinations in the midrapidity, forward, and backward regions (top to bottom) are shown. |
|
png pdf |
Figure 6-n:
The unfolded response matrices, $ x_{j} $ (reconstructed) versus $ x_{j} $ (generated), from lower to higher multiplicities (left to right) and for different leading and subleading jet combinations in the midrapidity, forward, and backward regions (top to bottom) are shown. |
|
png pdf |
Figure 6-o:
The unfolded response matrices, $ x_{j} $ (reconstructed) versus $ x_{j} $ (generated), from lower to higher multiplicities (left to right) and for different leading and subleading jet combinations in the midrapidity, forward, and backward regions (top to bottom) are shown. |
|
png pdf |
Figure 7:
Example of the reconstructed (red) and generator-level (black) $ x_{j} $ distributions for the multiplicity range 10--60, with both leading and subleading jets in the midrapidity region. The nominal PYTHIA8+EPOS distribution is shown on the left, while an oversampled PYTHIA8+EPOS distribution (without invariant $ p_{\mathrm{T}} $ rescaling) is shown on the right. The differences between the left and right plots are due to the different priors. To validate the unfolding method, the response matrix is produced using the priors from the right distribution, which is then reweighted and used to unfold the left distribution. The results of this process are shown in Fig. 8. |
|
png pdf |
Figure 7-a:
Example of the reconstructed (red) and generator-level (black) $ x_{j} $ distributions for the multiplicity range 10--60, with both leading and subleading jets in the midrapidity region. The nominal PYTHIA8+EPOS distribution is shown on the left, while an oversampled PYTHIA8+EPOS distribution (without invariant $ p_{\mathrm{T}} $ rescaling) is shown on the right. The differences between the left and right plots are due to the different priors. To validate the unfolding method, the response matrix is produced using the priors from the right distribution, which is then reweighted and used to unfold the left distribution. The results of this process are shown in Fig. 8. |
|
png pdf |
Figure 7-b:
Example of the reconstructed (red) and generator-level (black) $ x_{j} $ distributions for the multiplicity range 10--60, with both leading and subleading jets in the midrapidity region. The nominal PYTHIA8+EPOS distribution is shown on the left, while an oversampled PYTHIA8+EPOS distribution (without invariant $ p_{\mathrm{T}} $ rescaling) is shown on the right. The differences between the left and right plots are due to the different priors. To validate the unfolding method, the response matrix is produced using the priors from the right distribution, which is then reweighted and used to unfold the left distribution. The results of this process are shown in Fig. 8. |
|
png pdf |
Figure 8:
Validation of the unfolding method using reweighted probability distribution maps of the reconstructed leading and subleading jet transverse momentum from the priors shown in Fig. 7. The generator-level $ x_{j} $ is compared with the unfolded and reconstructed distributions for the multiplicity ranges 60--120 (left) and 185--250 (right), where both leading and subleading jets are in the midrapidity region. Ratios relative to the generator-level distributions are shown. |
|
png pdf |
Figure 8-a:
Validation of the unfolding method using reweighted probability distribution maps of the reconstructed leading and subleading jet transverse momentum from the priors shown in Fig. 7. The generator-level $ x_{j} $ is compared with the unfolded and reconstructed distributions for the multiplicity ranges 60--120 (left) and 185--250 (right), where both leading and subleading jets are in the midrapidity region. Ratios relative to the generator-level distributions are shown. |
|
png pdf |
Figure 8-b:
Validation of the unfolding method using reweighted probability distribution maps of the reconstructed leading and subleading jet transverse momentum from the priors shown in Fig. 7. The generator-level $ x_{j} $ is compared with the unfolded and reconstructed distributions for the multiplicity ranges 60--120 (left) and 185--250 (right), where both leading and subleading jets are in the midrapidity region. Ratios relative to the generator-level distributions are shown. |
| Summary |
| The CMS detector is used to study the dijet transverse momentum balance in proton-lead (pPb) collisions at $ \sqrt{\smash[b]{s_{_{\mathrm{NN}}}}} $ = 8.16 TeV as a function of event charged-particle multiplicity. The events are collected by minimum-bias and high-multiplicity triggers during the 2016 data-taking period, corresponding to an integrated luminosity of 174.6 $\,\text{nb}^{-1}$. An anti-$ k_{\mathrm{T}} $ algorithm with a distance parameter of 0.4 is used to reconstruct jets based on the combined tracker and calorimeter information. Back-to-back dijets are selected by requiring the difference in azimuthal angle between the leading and subleading jets to be greater than $ (5/6)\pi $ and their transverse momenta to be greater than 100 and 50 GeV, respectively. The transverse momentum balance is measured as a function of multiplicity for different pseudorapidity configurations by taking the ratio of subleading to leading jet transverse momentum. The average transverse momentum balance and the ratios between higher and lower multiplicity ranges are also calculated. The high-to-low multiplicity ratios of the average momentum balance are close to unity, and the results are in good agreement with simulations that do not include jet quenching effects. This measurement indicates no evidence of a jet quenching signature in high-multiplicity pPb collisions, confirming that the observed dijet transverse momentum imbalance in lead-lead collisions does not originate from initial-state effects. |
| References | ||||
| 1 | J. D. Bjorken | Energy Loss of Energetic Partons in Quark-Gluon Plasma: Possible Extinction of High $ p_{T} $ Jets in Hadron-Hadron Collisions | FERMILAB-PUB-82-059-THY, 1982 | |
| 2 | CMS Collaboration | Overview of high-density QCD studies with the CMS experiment at the LHC | link | CMS-HIN-23-011 2405.10785 |
| 3 | CMS Collaboration | Observation and studies of jet quenching in PbPb collisions at nucleon-nucleon center-of-mass energy = 2.76 TeV | Phys. Rev. C 84 (2011) 024906 | CMS-HIN-10-004 1102.1957 |
| 4 | CMS Collaboration | Comparing transverse momentum balance of b jet pairs in pp and PbPb collisions at $ \sqrt{s_{\mathrm{NN}}}= $ 5.02 TeV | JHEP 03 (2018) 181 | CMS-HIN-16-005 1802.00707 |
| 5 | CMS Collaboration | Observation of Long-Range Near-Side Angular Correlations in Proton-Lead Collisions at the LHC | Phys. Lett. B 718 795, 2013 link |
CMS-HIN-12-015 1210.5482 |
| 6 | CMS Collaboration | Evidence for collectivity in pp collisions at the LHC | Phys. Lett. B 765 193, 2017 link |
CMS-HIN-16-010 1606.06198 |
| 7 | PHENIX Collaboration | Creation of quark-gluon plasma droplets with three distinct geometries | Nature Phys. 15 (2019) | 1805.02973 |
| 8 | ALICE Collaboration | Enhanced production of multi-strange hadrons in high-multiplicity proton-proton collisions | Nature Phys. 13 (2017) 535 | 1606.07424 |
| 9 | PHENIX Collaboration | Centrality-dependent modification of jet-production rates in deuteron-gold collisions at $ \sqrt{\smash[b]{s_{_{\mathrm{NN}}}}} $=200 GeV | Phys. Rev. Lett. 116 122301, 2016 link |
1509.04657 |
| 10 | ALICE Collaboration | Constraints on jet quenching in p-Pb collisions at $ \sqrt{\smash[b]{s_{_{\mathrm{NN}}}}} $ = 5.02 TeV measured by the event-activity dependence of semi-inclusive hadron-jet distributions | Phys. Lett. B 783 95, 2018 link |
1712.05603 |
| 11 | CMS Collaboration | Measurement of inclusive jet production and nuclear modifications in pPb collisions at $ \sqrt{s_{_\mathrm {NN}}} = $ 5.02 TeV | EPJC 76 (2016) | CMS-HIN-14-001 1601.02001 |
| 12 | CMS Collaboration | Particle-flow reconstruction and global event description with the cms detector | Journal of Instrumentation 12 (2017) | |
| 13 | CMS Collaboration | Performance of the CMS Level-1 trigger in proton-proton collisions at $ \sqrt{s} = $ 13 TeV | JINST 15 (2020) | CMS-TRG-17-001 2006.10165 |
| 14 | CMS Collaboration | The CMS trigger system | JINST 12 (2017) | CMS-TRG-12-001 1609.02366 |
| 15 | CMS Collaboration | The CMS experiment at the CERN LHC | JINST 3 (2008) | |
| 16 | CMS Collaboration | Constraints on the chiral magnetic effect using charge-dependent azimuthal correlations in $ p\mathrm{Pb} $ and PbPb collisions at the CERN Large Hadron Collider | Phys. Rev. C 97 (2018) | CMS-HIN-17-001 1708.01602 |
| 17 | CMS Collaboration | Observation of Correlated Azimuthal Anisotropy Fourier Harmonics in $ pp $ and $ p+Pb $ Collisions at the LHC | PRL 120 (2018) | CMS-HIN-16-022 1709.09189 |
| 18 | CMS Collaboration | Description and performance of track and primary-vertex reconstruction with the CMS tracker | JINST 9 (2014) | CMS-TRK-11-001 1405.6569 |
| 19 | T. Pierog et al. | EPOS LHC: Test of collective hadronization with data measured at the CERN Large Hadron Collider | Phys. Rev. C 92 034906, 2015 link |
1306.0121 |
| 20 | GEANT4 Collaboration | GEANT4--a simulation toolkit | NIM A 506 (2003) 250 | |
| 21 | The CMS Collaboration | Particle-Flow Event Reconstruction in CMS and Performance for Jets, Taus, and MET | Technical Report, 2009 CMS-PAS-PFT-09-001 |
|
| 22 | The CMS Collaboration | Commissioning of the Particle-flow Event Reconstruction with the first LHC collisions recorded in the CMS detector | Technical Report, 2010 CMS-PAS-PFT-10-001 |
|
| 23 | M. Cacciari, G. P. Salam, and G. Soyez | FastJet User Manual | EPJC 72 (2012) 1896 | 1111.6097 |
| 24 | P. Berta, M. Spousta, D. W. Miller, and R. Leitner | Particle-level pileup subtraction for jets and jet shapes | JHEP 06 (2014) 092 | 1403.3108 |
| 25 | CMS Collaboration | Jet energy scale and resolution in the cms experiment in pp collisions at 8 tev | Journal of Instrumentation 12 (2017) | |
| 26 | The CMS Collaboration | Jet algorithms performance in 13 TeV data | Technical Report, 2017 CMS-PAS-JME-16-003 |
CMS-PAS-JME-16-003 |
| 27 | T. Adye | Unfolding algorithms and tests using RooUnfold | PHYSTAT 201 (2011) 313 | 1105.1160 |
| 28 | G. D'Agostini | A Multidimensional unfolding method based on Bayes' theorem | NIM A 362 (1995) 487 | |
| 29 | W. H. Richardson | Bayesian-based iterative method of image restoration | J. Opt. Soc. Am. 62 (1972) 55 | |
| 30 | L. B. Lucy | An iterative technique for the rectification of observed distributions | Astron. J. 79 (1974) 745 | |
| 31 | CMS Collaboration | First measurement of large area jet transverse momentum spectra in heavy-ion collisions | JHEP 05 (2021) 284 | CMS-HIN-18-014 2102.13080 |
| 32 | CMS Collaboration | Determination of jet energy calibration and transverse momentum resolution in cms | Journal of Instrumentation 6 (2011) | |
| 33 | M. Kordell and A. Majumder | Jets in d(p)-A Collisions: Color Transparency or Energy Conservation | Phys. Rev. C 97 (2018) | 1601.02595 |
| 34 | STAR Collaboration | Semi-inclusive charged jet production dependence on event activity at high backward-rapidity in $ \sqrt {\smash [b]{s_{_{\mathrm {NN}}}}} $ = 200 GeV $ p $+Au collisions at STAR | PoS HardProbes 113, 2021 link |
|
|
Compact Muon Solenoid LHC, CERN |
|
|
|
|
|
|