| CMS-PAS-HIG-23-013 | ||
| Combination and interpretation of fiducial differential Higgs boson production cross sections at $ \sqrt{s}= $ 13 TeV | ||
| CMS Collaboration | ||
| 22 July 2024 | ||
| Abstract: The Higgs boson fiducial differential production cross sections are sensitive probes for the presence of physics beyond the standard model. New physics may contribute to the gluon-gluon fusion loop, the dominant Higgs boson production mechanism at the LHC, and manifest itself as deviations from the expected standard model distributions. In this work we measure combined spectra from measurements performed in four of the dominant Higgs decay channels ($ \gamma\gamma $, ZZ, WW, $ \tau\tau $) using proton-proton collision data recorded with the CMS detector at $ \sqrt{s}= $ 13 TeV, corresponding to an integrated luminosity of 138 fb$^{-1}$. The combined spectra provided are extrapolated to the full phase space. The fiducial measurements are then used to compute limits on Higgs couplings using the $ \kappa $-framework and the standard model effective field theory. | ||
|
Links:
CDS record (PDF) ;
Physics Briefing ;
CADI line (restricted) ;
These preliminary results are superseded in this paper, Submitted to JHEP. The superseded preliminary plots can be found here. |
||
| Figures & Tables | Summary | Additional Figures | References | CMS Publications |
|---|
| Figures | |
|
png pdf |
Figure 1:
Measurement of the total differential cross section as a function of $ p_{\mathrm{T}}^{\mathrm{H}} $, $ N_{\mathrm{jets}} $, $ p_{\mathrm{T}}^{\mathrm{j}_1} $ and $ |y_{\mathrm{H}}| $. The combined spectrum is shown as black points with error bars indicating the 68% confidence interval. The systematic component of the uncertainty is shown in gray. The SM prediction is reported for different generators. The rightmost bins of the distributions are overflow bins, and normalized by the bin width of the last but one bin. In cases where the systematic uncertainty band covers only one side of the data point, the systematic uncertainty on the other side is negligible. |
|
png pdf |
Figure 1-a:
Measurement of the total differential cross section as a function of $ p_{\mathrm{T}}^{\mathrm{H}} $, $ N_{\mathrm{jets}} $, $ p_{\mathrm{T}}^{\mathrm{j}_1} $ and $ |y_{\mathrm{H}}| $. The combined spectrum is shown as black points with error bars indicating the 68% confidence interval. The systematic component of the uncertainty is shown in gray. The SM prediction is reported for different generators. The rightmost bins of the distributions are overflow bins, and normalized by the bin width of the last but one bin. In cases where the systematic uncertainty band covers only one side of the data point, the systematic uncertainty on the other side is negligible. |
|
png pdf |
Figure 1-b:
Measurement of the total differential cross section as a function of $ p_{\mathrm{T}}^{\mathrm{H}} $, $ N_{\mathrm{jets}} $, $ p_{\mathrm{T}}^{\mathrm{j}_1} $ and $ |y_{\mathrm{H}}| $. The combined spectrum is shown as black points with error bars indicating the 68% confidence interval. The systematic component of the uncertainty is shown in gray. The SM prediction is reported for different generators. The rightmost bins of the distributions are overflow bins, and normalized by the bin width of the last but one bin. In cases where the systematic uncertainty band covers only one side of the data point, the systematic uncertainty on the other side is negligible. |
|
png pdf |
Figure 1-c:
Measurement of the total differential cross section as a function of $ p_{\mathrm{T}}^{\mathrm{H}} $, $ N_{\mathrm{jets}} $, $ p_{\mathrm{T}}^{\mathrm{j}_1} $ and $ |y_{\mathrm{H}}| $. The combined spectrum is shown as black points with error bars indicating the 68% confidence interval. The systematic component of the uncertainty is shown in gray. The SM prediction is reported for different generators. The rightmost bins of the distributions are overflow bins, and normalized by the bin width of the last but one bin. In cases where the systematic uncertainty band covers only one side of the data point, the systematic uncertainty on the other side is negligible. |
|
png pdf |
Figure 1-d:
Measurement of the total differential cross section as a function of $ p_{\mathrm{T}}^{\mathrm{H}} $, $ N_{\mathrm{jets}} $, $ p_{\mathrm{T}}^{\mathrm{j}_1} $ and $ |y_{\mathrm{H}}| $. The combined spectrum is shown as black points with error bars indicating the 68% confidence interval. The systematic component of the uncertainty is shown in gray. The SM prediction is reported for different generators. The rightmost bins of the distributions are overflow bins, and normalized by the bin width of the last but one bin. In cases where the systematic uncertainty band covers only one side of the data point, the systematic uncertainty on the other side is negligible. |
|
png pdf |
Figure 2:
Measurement of the total differential cross section as a function of $ |\Delta\eta_{\mathrm{jj}}| $, $ m_{\mathrm{jj}} $ and $ \tau^{\mathrm{j}}_{\mathrm{C}} $. The combined spectrum is shown as black points with error bars indicating the 68% confidence interval. The systematic component of the uncertainty is shown in gray. The SM prediction is reported for different generators. The rightmost bins of the distributions are overflow bins, and normalized by the bin width of the last but one bin. |
|
png pdf |
Figure 2-a:
Measurement of the total differential cross section as a function of $ |\Delta\eta_{\mathrm{jj}}| $, $ m_{\mathrm{jj}} $ and $ \tau^{\mathrm{j}}_{\mathrm{C}} $. The combined spectrum is shown as black points with error bars indicating the 68% confidence interval. The systematic component of the uncertainty is shown in gray. The SM prediction is reported for different generators. The rightmost bins of the distributions are overflow bins, and normalized by the bin width of the last but one bin. |
|
png pdf |
Figure 2-b:
Measurement of the total differential cross section as a function of $ |\Delta\eta_{\mathrm{jj}}| $, $ m_{\mathrm{jj}} $ and $ \tau^{\mathrm{j}}_{\mathrm{C}} $. The combined spectrum is shown as black points with error bars indicating the 68% confidence interval. The systematic component of the uncertainty is shown in gray. The SM prediction is reported for different generators. The rightmost bins of the distributions are overflow bins, and normalized by the bin width of the last but one bin. |
|
png pdf |
Figure 2-c:
Measurement of the total differential cross section as a function of $ |\Delta\eta_{\mathrm{jj}}| $, $ m_{\mathrm{jj}} $ and $ \tau^{\mathrm{j}}_{\mathrm{C}} $. The combined spectrum is shown as black points with error bars indicating the 68% confidence interval. The systematic component of the uncertainty is shown in gray. The SM prediction is reported for different generators. The rightmost bins of the distributions are overflow bins, and normalized by the bin width of the last but one bin. |
|
png pdf |
Figure 3:
Observed and expected simultaneous fits for $ \kappa_{\mathrm{b}} $ and $ \kappa_{\mathrm{c}} $, assuming a coupling dependence of the branching fractions (left) and with the branching fractions implemented as nuisance parameters with no dependence on the BR, referred to as ``floating branching fractions'' in the text (right). The 68% and 95% CL contours are shown in solid and dashed lines respectively: the black ones are for observed data, the yellow ones for expected. The shading indicates the expected negative log-likelihood, with the scale shown on the right-hand side of the plots. |
|
png pdf |
Figure 3-a:
Observed and expected simultaneous fits for $ \kappa_{\mathrm{b}} $ and $ \kappa_{\mathrm{c}} $, assuming a coupling dependence of the branching fractions (left) and with the branching fractions implemented as nuisance parameters with no dependence on the BR, referred to as ``floating branching fractions'' in the text (right). The 68% and 95% CL contours are shown in solid and dashed lines respectively: the black ones are for observed data, the yellow ones for expected. The shading indicates the expected negative log-likelihood, with the scale shown on the right-hand side of the plots. |
|
png pdf |
Figure 3-b:
Observed and expected simultaneous fits for $ \kappa_{\mathrm{b}} $ and $ \kappa_{\mathrm{c}} $, assuming a coupling dependence of the branching fractions (left) and with the branching fractions implemented as nuisance parameters with no dependence on the BR, referred to as ``floating branching fractions'' in the text (right). The 68% and 95% CL contours are shown in solid and dashed lines respectively: the black ones are for observed data, the yellow ones for expected. The shading indicates the expected negative log-likelihood, with the scale shown on the right-hand side of the plots. |
|
png pdf |
Figure 4:
Simultaneous fit for $ \kappa_{\mathrm{t}} $ and $ c_{\mathrm{g}} $, observed and expected, assuming a coupling dependence of the branching fractions (left) and with the branching fractions implemented as nuisance parameters with no dependence on the BR, referred to as ``floating branching fractions'' in the text (right). The 68% and 95% CL contours are shown in solid and dashed lines respectively: the black ones are for observed data, the yellow ones for expected. The shading indicates the expected negative log-likelihood, with the scale shown on the right-hand side of the plots. |
|
png pdf |
Figure 4-a:
Simultaneous fit for $ \kappa_{\mathrm{t}} $ and $ c_{\mathrm{g}} $, observed and expected, assuming a coupling dependence of the branching fractions (left) and with the branching fractions implemented as nuisance parameters with no dependence on the BR, referred to as ``floating branching fractions'' in the text (right). The 68% and 95% CL contours are shown in solid and dashed lines respectively: the black ones are for observed data, the yellow ones for expected. The shading indicates the expected negative log-likelihood, with the scale shown on the right-hand side of the plots. |
|
png pdf |
Figure 4-b:
Simultaneous fit for $ \kappa_{\mathrm{t}} $ and $ c_{\mathrm{g}} $, observed and expected, assuming a coupling dependence of the branching fractions (left) and with the branching fractions implemented as nuisance parameters with no dependence on the BR, referred to as ``floating branching fractions'' in the text (right). The 68% and 95% CL contours are shown in solid and dashed lines respectively: the black ones are for observed data, the yellow ones for expected. The shading indicates the expected negative log-likelihood, with the scale shown on the right-hand side of the plots. |
|
png pdf |
Figure 5:
Simultaneous fit for $ \kappa_{\mathrm{t}} $ and $ \kappa_{\mathrm{b}} $, observed and expected, assuming a coupling dependence of the branching fractions (left) and with the branching fractions implemented as nuisance parameters with no dependence on the BR, referred to as ``floating branching fractions'' in the text (right). The 68% and 95% CL contours are shown in solid and dashed lines respectively: the black ones are for observed data, the yellow ones for expected. The shading indicates the expected negative log-likelihood, with the scale shown on the right-hand side of the plots. |
|
png pdf |
Figure 5-a:
Simultaneous fit for $ \kappa_{\mathrm{t}} $ and $ \kappa_{\mathrm{b}} $, observed and expected, assuming a coupling dependence of the branching fractions (left) and with the branching fractions implemented as nuisance parameters with no dependence on the BR, referred to as ``floating branching fractions'' in the text (right). The 68% and 95% CL contours are shown in solid and dashed lines respectively: the black ones are for observed data, the yellow ones for expected. The shading indicates the expected negative log-likelihood, with the scale shown on the right-hand side of the plots. |
|
png pdf |
Figure 5-b:
Simultaneous fit for $ \kappa_{\mathrm{t}} $ and $ \kappa_{\mathrm{b}} $, observed and expected, assuming a coupling dependence of the branching fractions (left) and with the branching fractions implemented as nuisance parameters with no dependence on the BR, referred to as ``floating branching fractions'' in the text (right). The 68% and 95% CL contours are shown in solid and dashed lines respectively: the black ones are for observed data, the yellow ones for expected. The shading indicates the expected negative log-likelihood, with the scale shown on the right-hand side of the plots. |
|
png pdf |
Figure 6:
Observed and expected two dimensional scans for the $ c_{\mathrm{HG}}-\tilde{c}_{\mathrm{HG}} $ (top left), $ c_{\mathrm{HB}}-\tilde{c}_{\mathrm{HB}} $ (top right), $ c_{\mathrm{HW}}-\tilde{c}_{\mathrm{HW}} $ (bottom left) and $ c_{\mathrm{HWB}}-\tilde{c}_{\mathrm{HWB}} $ (bottom right) pairs with $ p_{\mathrm{T}}^{\mathrm{H}} $ spectra in all decay channels. |
|
png pdf |
Figure 6-a:
Observed and expected two dimensional scans for the $ c_{\mathrm{HG}}-\tilde{c}_{\mathrm{HG}} $ (top left), $ c_{\mathrm{HB}}-\tilde{c}_{\mathrm{HB}} $ (top right), $ c_{\mathrm{HW}}-\tilde{c}_{\mathrm{HW}} $ (bottom left) and $ c_{\mathrm{HWB}}-\tilde{c}_{\mathrm{HWB}} $ (bottom right) pairs with $ p_{\mathrm{T}}^{\mathrm{H}} $ spectra in all decay channels. |
|
png pdf |
Figure 6-b:
Observed and expected two dimensional scans for the $ c_{\mathrm{HG}}-\tilde{c}_{\mathrm{HG}} $ (top left), $ c_{\mathrm{HB}}-\tilde{c}_{\mathrm{HB}} $ (top right), $ c_{\mathrm{HW}}-\tilde{c}_{\mathrm{HW}} $ (bottom left) and $ c_{\mathrm{HWB}}-\tilde{c}_{\mathrm{HWB}} $ (bottom right) pairs with $ p_{\mathrm{T}}^{\mathrm{H}} $ spectra in all decay channels. |
|
png pdf |
Figure 6-c:
Observed and expected two dimensional scans for the $ c_{\mathrm{HG}}-\tilde{c}_{\mathrm{HG}} $ (top left), $ c_{\mathrm{HB}}-\tilde{c}_{\mathrm{HB}} $ (top right), $ c_{\mathrm{HW}}-\tilde{c}_{\mathrm{HW}} $ (bottom left) and $ c_{\mathrm{HWB}}-\tilde{c}_{\mathrm{HWB}} $ (bottom right) pairs with $ p_{\mathrm{T}}^{\mathrm{H}} $ spectra in all decay channels. |
|
png pdf |
Figure 6-d:
Observed and expected two dimensional scans for the $ c_{\mathrm{HG}}-\tilde{c}_{\mathrm{HG}} $ (top left), $ c_{\mathrm{HB}}-\tilde{c}_{\mathrm{HB}} $ (top right), $ c_{\mathrm{HW}}-\tilde{c}_{\mathrm{HW}} $ (bottom left) and $ c_{\mathrm{HWB}}-\tilde{c}_{\mathrm{HWB}} $ (bottom right) pairs with $ p_{\mathrm{T}}^{\mathrm{H}} $ spectra in all decay channels. |
|
png pdf |
Figure 7:
The values of the diagonal entries of the Fisher information matrix, presented as rows, for each decay channel. The normalization is such that the sum of the entries associated to each decay channel is equal to 100. |
|
png pdf |
Figure 8:
Graphical representation of the ten eigenvectors with the highest eigenvalues of the expected combined Fisher information matrix in SMEFT basis. Values lower than $ 10^{-3} $ are not shown. |
|
png pdf |
Figure 9:
Summary of observed and expected confidence intervals at 68% and 95% confidence level (CL) for the first ten eigenvectors. Where a power of ten is shown, the value on the x-axis is multiplied by the corresponding power of ten. The eigenvectors are ordered by decreasing eigenvalue. |
|
png pdf |
Figure 10:
Correlation matrix of the linear combinations of Wilson coefficients obtained from the PCA, obtained by fitting the observed data to the $ p_{\mathrm{T}}^{\mathrm{H}} $ spectra of all decay channels. |
|
png pdf |
Figure 11:
Measurement of the total differential cross section as a function of $ p_{\mathrm{T}}^{\mathrm{H}} $, $ N_{\mathrm{jets}} $, $ p_{\mathrm{T}}^{\mathrm{j}_1} $ and $ |y_{\mathrm{H}}| $. The combined spectrum is shown in black points with error bars indicating a 1 standard deviation uncertainty. The systematic component of the uncertainty is shown in gray. The spectra for the $ \mathrm{H} \rightarrow \gamma \gamma $, $ \mathrm{H} \rightarrow \mathrm{Z} \mathrm{Z}^{(*)} \rightarrow 4\ell $, $ \mathrm{H} \rightarrow \mathrm{W^+} \mathrm{W^-}^{(*)} \rightarrow \mathrm{e}^{\pm} \mu^{\mp} \nu_{l} \overline{\nu}_{l} $, $ \mathrm{H} \rightarrow \tau^{+} \tau^{-} $, and $ \mathrm{H} \rightarrow \tau^{+} \tau^{-} $ boosted are shown in red, blue, purple, green, and pink respectively. The SM prediction is reported in light gray for MadGraph-5\_aMC@NLO NNLOPS. The rightmost bins of the distributions are overflow bins, and normalized by the bin width of last but one bin. |
|
png pdf |
Figure 11-a:
Measurement of the total differential cross section as a function of $ p_{\mathrm{T}}^{\mathrm{H}} $, $ N_{\mathrm{jets}} $, $ p_{\mathrm{T}}^{\mathrm{j}_1} $ and $ |y_{\mathrm{H}}| $. The combined spectrum is shown in black points with error bars indicating a 1 standard deviation uncertainty. The systematic component of the uncertainty is shown in gray. The spectra for the $ \mathrm{H} \rightarrow \gamma \gamma $, $ \mathrm{H} \rightarrow \mathrm{Z} \mathrm{Z}^{(*)} \rightarrow 4\ell $, $ \mathrm{H} \rightarrow \mathrm{W^+} \mathrm{W^-}^{(*)} \rightarrow \mathrm{e}^{\pm} \mu^{\mp} \nu_{l} \overline{\nu}_{l} $, $ \mathrm{H} \rightarrow \tau^{+} \tau^{-} $, and $ \mathrm{H} \rightarrow \tau^{+} \tau^{-} $ boosted are shown in red, blue, purple, green, and pink respectively. The SM prediction is reported in light gray for MadGraph-5\_aMC@NLO NNLOPS. The rightmost bins of the distributions are overflow bins, and normalized by the bin width of last but one bin. |
|
png pdf |
Figure 11-b:
Measurement of the total differential cross section as a function of $ p_{\mathrm{T}}^{\mathrm{H}} $, $ N_{\mathrm{jets}} $, $ p_{\mathrm{T}}^{\mathrm{j}_1} $ and $ |y_{\mathrm{H}}| $. The combined spectrum is shown in black points with error bars indicating a 1 standard deviation uncertainty. The systematic component of the uncertainty is shown in gray. The spectra for the $ \mathrm{H} \rightarrow \gamma \gamma $, $ \mathrm{H} \rightarrow \mathrm{Z} \mathrm{Z}^{(*)} \rightarrow 4\ell $, $ \mathrm{H} \rightarrow \mathrm{W^+} \mathrm{W^-}^{(*)} \rightarrow \mathrm{e}^{\pm} \mu^{\mp} \nu_{l} \overline{\nu}_{l} $, $ \mathrm{H} \rightarrow \tau^{+} \tau^{-} $, and $ \mathrm{H} \rightarrow \tau^{+} \tau^{-} $ boosted are shown in red, blue, purple, green, and pink respectively. The SM prediction is reported in light gray for MadGraph-5\_aMC@NLO NNLOPS. The rightmost bins of the distributions are overflow bins, and normalized by the bin width of last but one bin. |
|
png pdf |
Figure 11-c:
Measurement of the total differential cross section as a function of $ p_{\mathrm{T}}^{\mathrm{H}} $, $ N_{\mathrm{jets}} $, $ p_{\mathrm{T}}^{\mathrm{j}_1} $ and $ |y_{\mathrm{H}}| $. The combined spectrum is shown in black points with error bars indicating a 1 standard deviation uncertainty. The systematic component of the uncertainty is shown in gray. The spectra for the $ \mathrm{H} \rightarrow \gamma \gamma $, $ \mathrm{H} \rightarrow \mathrm{Z} \mathrm{Z}^{(*)} \rightarrow 4\ell $, $ \mathrm{H} \rightarrow \mathrm{W^+} \mathrm{W^-}^{(*)} \rightarrow \mathrm{e}^{\pm} \mu^{\mp} \nu_{l} \overline{\nu}_{l} $, $ \mathrm{H} \rightarrow \tau^{+} \tau^{-} $, and $ \mathrm{H} \rightarrow \tau^{+} \tau^{-} $ boosted are shown in red, blue, purple, green, and pink respectively. The SM prediction is reported in light gray for MadGraph-5\_aMC@NLO NNLOPS. The rightmost bins of the distributions are overflow bins, and normalized by the bin width of last but one bin. |
|
png pdf |
Figure 11-d:
Measurement of the total differential cross section as a function of $ p_{\mathrm{T}}^{\mathrm{H}} $, $ N_{\mathrm{jets}} $, $ p_{\mathrm{T}}^{\mathrm{j}_1} $ and $ |y_{\mathrm{H}}| $. The combined spectrum is shown in black points with error bars indicating a 1 standard deviation uncertainty. The systematic component of the uncertainty is shown in gray. The spectra for the $ \mathrm{H} \rightarrow \gamma \gamma $, $ \mathrm{H} \rightarrow \mathrm{Z} \mathrm{Z}^{(*)} \rightarrow 4\ell $, $ \mathrm{H} \rightarrow \mathrm{W^+} \mathrm{W^-}^{(*)} \rightarrow \mathrm{e}^{\pm} \mu^{\mp} \nu_{l} \overline{\nu}_{l} $, $ \mathrm{H} \rightarrow \tau^{+} \tau^{-} $, and $ \mathrm{H} \rightarrow \tau^{+} \tau^{-} $ boosted are shown in red, blue, purple, green, and pink respectively. The SM prediction is reported in light gray for MadGraph-5\_aMC@NLO NNLOPS. The rightmost bins of the distributions are overflow bins, and normalized by the bin width of last but one bin. |
|
png pdf |
Figure 12:
Measurement of the total differential cross section as a function of $ |\Delta\eta_{\mathrm{jj}}| $, $ m_{\mathrm{jj}} $ and $ \tau^{\mathrm{j}}_{\mathrm{C}} $. The combined spectrum is shown in black points with error bars indicating a 1 standard deviation uncertainty. The systematic component of the uncertainty is shown in gray. The spectra for the $ \mathrm{H} \rightarrow \gamma \gamma $, and $ \mathrm{H} \rightarrow \mathrm{Z} \mathrm{Z}^{(*)} \rightarrow 4\ell $ are shown in red and blue respectively. The SM prediction is reported in light gray for MadGraph-5\_aMC@NLO NNLOPS. The rightmost bins of the distributions are overflow bins, and normalized by the bin width of last but one bin. |
|
png pdf |
Figure 12-a:
Measurement of the total differential cross section as a function of $ |\Delta\eta_{\mathrm{jj}}| $, $ m_{\mathrm{jj}} $ and $ \tau^{\mathrm{j}}_{\mathrm{C}} $. The combined spectrum is shown in black points with error bars indicating a 1 standard deviation uncertainty. The systematic component of the uncertainty is shown in gray. The spectra for the $ \mathrm{H} \rightarrow \gamma \gamma $, and $ \mathrm{H} \rightarrow \mathrm{Z} \mathrm{Z}^{(*)} \rightarrow 4\ell $ are shown in red and blue respectively. The SM prediction is reported in light gray for MadGraph-5\_aMC@NLO NNLOPS. The rightmost bins of the distributions are overflow bins, and normalized by the bin width of last but one bin. |
|
png pdf |
Figure 12-b:
Measurement of the total differential cross section as a function of $ |\Delta\eta_{\mathrm{jj}}| $, $ m_{\mathrm{jj}} $ and $ \tau^{\mathrm{j}}_{\mathrm{C}} $. The combined spectrum is shown in black points with error bars indicating a 1 standard deviation uncertainty. The systematic component of the uncertainty is shown in gray. The spectra for the $ \mathrm{H} \rightarrow \gamma \gamma $, and $ \mathrm{H} \rightarrow \mathrm{Z} \mathrm{Z}^{(*)} \rightarrow 4\ell $ are shown in red and blue respectively. The SM prediction is reported in light gray for MadGraph-5\_aMC@NLO NNLOPS. The rightmost bins of the distributions are overflow bins, and normalized by the bin width of last but one bin. |
|
png pdf |
Figure 12-c:
Measurement of the total differential cross section as a function of $ |\Delta\eta_{\mathrm{jj}}| $, $ m_{\mathrm{jj}} $ and $ \tau^{\mathrm{j}}_{\mathrm{C}} $. The combined spectrum is shown in black points with error bars indicating a 1 standard deviation uncertainty. The systematic component of the uncertainty is shown in gray. The spectra for the $ \mathrm{H} \rightarrow \gamma \gamma $, and $ \mathrm{H} \rightarrow \mathrm{Z} \mathrm{Z}^{(*)} \rightarrow 4\ell $ are shown in red and blue respectively. The SM prediction is reported in light gray for MadGraph-5\_aMC@NLO NNLOPS. The rightmost bins of the distributions are overflow bins, and normalized by the bin width of last but one bin. |
|
png pdf |
Figure 13:
Bin-to-bin correlation matrices for the $ p_{\mathrm{T}}^{\mathrm{H}} $ (top left), $ N_{\mathrm{jets}} $ (top right), $ |y_{\mathrm{H}}| $ (bottom left) and $ p_{\mathrm{T}}^{\mathrm{j}_1} $ (bottom right) spectra. |
|
png pdf |
Figure 13-a:
Bin-to-bin correlation matrices for the $ p_{\mathrm{T}}^{\mathrm{H}} $ (top left), $ N_{\mathrm{jets}} $ (top right), $ |y_{\mathrm{H}}| $ (bottom left) and $ p_{\mathrm{T}}^{\mathrm{j}_1} $ (bottom right) spectra. |
|
png pdf |
Figure 13-b:
Bin-to-bin correlation matrices for the $ p_{\mathrm{T}}^{\mathrm{H}} $ (top left), $ N_{\mathrm{jets}} $ (top right), $ |y_{\mathrm{H}}| $ (bottom left) and $ p_{\mathrm{T}}^{\mathrm{j}_1} $ (bottom right) spectra. |
|
png pdf |
Figure 13-c:
Bin-to-bin correlation matrices for the $ p_{\mathrm{T}}^{\mathrm{H}} $ (top left), $ N_{\mathrm{jets}} $ (top right), $ |y_{\mathrm{H}}| $ (bottom left) and $ p_{\mathrm{T}}^{\mathrm{j}_1} $ (bottom right) spectra. |
|
png pdf |
Figure 13-d:
Bin-to-bin correlation matrices for the $ p_{\mathrm{T}}^{\mathrm{H}} $ (top left), $ N_{\mathrm{jets}} $ (top right), $ |y_{\mathrm{H}}| $ (bottom left) and $ p_{\mathrm{T}}^{\mathrm{j}_1} $ (bottom right) spectra. |
|
png pdf |
Figure 14:
Bin-to-bin correlation matrices for the $ m_{\mathrm{jj}} $ (top left), $ |\Delta\eta_{\mathrm{jj}}| $ (top right) and $ \tau^{\mathrm{j}}_{\mathrm{C}} $ (bottom) spectra. |
|
png pdf |
Figure 14-a:
Bin-to-bin correlation matrices for the $ m_{\mathrm{jj}} $ (top left), $ |\Delta\eta_{\mathrm{jj}}| $ (top right) and $ \tau^{\mathrm{j}}_{\mathrm{C}} $ (bottom) spectra. |
|
png pdf |
Figure 14-b:
Bin-to-bin correlation matrices for the $ m_{\mathrm{jj}} $ (top left), $ |\Delta\eta_{\mathrm{jj}}| $ (top right) and $ \tau^{\mathrm{j}}_{\mathrm{C}} $ (bottom) spectra. |
|
png pdf |
Figure 14-c:
Bin-to-bin correlation matrices for the $ m_{\mathrm{jj}} $ (top left), $ |\Delta\eta_{\mathrm{jj}}| $ (top right) and $ \tau^{\mathrm{j}}_{\mathrm{C}} $ (bottom) spectra. |
|
png pdf |
Figure 15:
Two dimensional scans for the $ c_{\mathrm{HG}}-\tilde{c}_{\mathrm{HG}} $ (top left), $ c_{\mathrm{HB}}-\tilde{c}_{\mathrm{HB}} $ (top right), $ c_{\mathrm{HW}}-\tilde{c}_{\mathrm{HW}} $ (bottom left) and $ c_{\mathrm{HWB}}-\tilde{c}_{\mathrm{HWB}} $ (bottom right) pairs with $ \Delta\phi_{\mathrm{jj}} $ spectra in $ \mathrm{H} \rightarrow \gamma \gamma $ and $ \mathrm{H} \rightarrow \mathrm{Z} \mathrm{Z}^{(*)} \rightarrow 4\ell $. |
|
png pdf |
Figure 15-a:
Two dimensional scans for the $ c_{\mathrm{HG}}-\tilde{c}_{\mathrm{HG}} $ (top left), $ c_{\mathrm{HB}}-\tilde{c}_{\mathrm{HB}} $ (top right), $ c_{\mathrm{HW}}-\tilde{c}_{\mathrm{HW}} $ (bottom left) and $ c_{\mathrm{HWB}}-\tilde{c}_{\mathrm{HWB}} $ (bottom right) pairs with $ \Delta\phi_{\mathrm{jj}} $ spectra in $ \mathrm{H} \rightarrow \gamma \gamma $ and $ \mathrm{H} \rightarrow \mathrm{Z} \mathrm{Z}^{(*)} \rightarrow 4\ell $. |
|
png pdf |
Figure 15-b:
Two dimensional scans for the $ c_{\mathrm{HG}}-\tilde{c}_{\mathrm{HG}} $ (top left), $ c_{\mathrm{HB}}-\tilde{c}_{\mathrm{HB}} $ (top right), $ c_{\mathrm{HW}}-\tilde{c}_{\mathrm{HW}} $ (bottom left) and $ c_{\mathrm{HWB}}-\tilde{c}_{\mathrm{HWB}} $ (bottom right) pairs with $ \Delta\phi_{\mathrm{jj}} $ spectra in $ \mathrm{H} \rightarrow \gamma \gamma $ and $ \mathrm{H} \rightarrow \mathrm{Z} \mathrm{Z}^{(*)} \rightarrow 4\ell $. |
|
png pdf |
Figure 15-c:
Two dimensional scans for the $ c_{\mathrm{HG}}-\tilde{c}_{\mathrm{HG}} $ (top left), $ c_{\mathrm{HB}}-\tilde{c}_{\mathrm{HB}} $ (top right), $ c_{\mathrm{HW}}-\tilde{c}_{\mathrm{HW}} $ (bottom left) and $ c_{\mathrm{HWB}}-\tilde{c}_{\mathrm{HWB}} $ (bottom right) pairs with $ \Delta\phi_{\mathrm{jj}} $ spectra in $ \mathrm{H} \rightarrow \gamma \gamma $ and $ \mathrm{H} \rightarrow \mathrm{Z} \mathrm{Z}^{(*)} \rightarrow 4\ell $. |
|
png pdf |
Figure 15-d:
Two dimensional scans for the $ c_{\mathrm{HG}}-\tilde{c}_{\mathrm{HG}} $ (top left), $ c_{\mathrm{HB}}-\tilde{c}_{\mathrm{HB}} $ (top right), $ c_{\mathrm{HW}}-\tilde{c}_{\mathrm{HW}} $ (bottom left) and $ c_{\mathrm{HWB}}-\tilde{c}_{\mathrm{HWB}} $ (bottom right) pairs with $ \Delta\phi_{\mathrm{jj}} $ spectra in $ \mathrm{H} \rightarrow \gamma \gamma $ and $ \mathrm{H} \rightarrow \mathrm{Z} \mathrm{Z}^{(*)} \rightarrow 4\ell $. |
|
png pdf |
Figure 16:
Expected and observed profile likelihood scans for the first part of the set of Wilson coefficients used as input to the PCA procedure. The scans are performed for the full combination of $ p_{\mathrm{T}}^{\mathrm{H}} $ spectra. In each case, the other Wilson coefficients are set to their SM values. |
|
png pdf |
Figure 16-a:
Expected and observed profile likelihood scans for the first part of the set of Wilson coefficients used as input to the PCA procedure. The scans are performed for the full combination of $ p_{\mathrm{T}}^{\mathrm{H}} $ spectra. In each case, the other Wilson coefficients are set to their SM values. |
|
png pdf |
Figure 16-b:
Expected and observed profile likelihood scans for the first part of the set of Wilson coefficients used as input to the PCA procedure. The scans are performed for the full combination of $ p_{\mathrm{T}}^{\mathrm{H}} $ spectra. In each case, the other Wilson coefficients are set to their SM values. |
|
png pdf |
Figure 16-c:
Expected and observed profile likelihood scans for the first part of the set of Wilson coefficients used as input to the PCA procedure. The scans are performed for the full combination of $ p_{\mathrm{T}}^{\mathrm{H}} $ spectra. In each case, the other Wilson coefficients are set to their SM values. |
|
png pdf |
Figure 16-d:
Expected and observed profile likelihood scans for the first part of the set of Wilson coefficients used as input to the PCA procedure. The scans are performed for the full combination of $ p_{\mathrm{T}}^{\mathrm{H}} $ spectra. In each case, the other Wilson coefficients are set to their SM values. |
|
png pdf |
Figure 16-e:
Expected and observed profile likelihood scans for the first part of the set of Wilson coefficients used as input to the PCA procedure. The scans are performed for the full combination of $ p_{\mathrm{T}}^{\mathrm{H}} $ spectra. In each case, the other Wilson coefficients are set to their SM values. |
|
png pdf |
Figure 16-f:
Expected and observed profile likelihood scans for the first part of the set of Wilson coefficients used as input to the PCA procedure. The scans are performed for the full combination of $ p_{\mathrm{T}}^{\mathrm{H}} $ spectra. In each case, the other Wilson coefficients are set to their SM values. |
|
png pdf |
Figure 16-g:
Expected and observed profile likelihood scans for the first part of the set of Wilson coefficients used as input to the PCA procedure. The scans are performed for the full combination of $ p_{\mathrm{T}}^{\mathrm{H}} $ spectra. In each case, the other Wilson coefficients are set to their SM values. |
|
png pdf |
Figure 16-h:
Expected and observed profile likelihood scans for the first part of the set of Wilson coefficients used as input to the PCA procedure. The scans are performed for the full combination of $ p_{\mathrm{T}}^{\mathrm{H}} $ spectra. In each case, the other Wilson coefficients are set to their SM values. |
|
png pdf |
Figure 16-i:
Expected and observed profile likelihood scans for the first part of the set of Wilson coefficients used as input to the PCA procedure. The scans are performed for the full combination of $ p_{\mathrm{T}}^{\mathrm{H}} $ spectra. In each case, the other Wilson coefficients are set to their SM values. |
|
png pdf |
Figure 16-j:
Expected and observed profile likelihood scans for the first part of the set of Wilson coefficients used as input to the PCA procedure. The scans are performed for the full combination of $ p_{\mathrm{T}}^{\mathrm{H}} $ spectra. In each case, the other Wilson coefficients are set to their SM values. |
|
png pdf |
Figure 16-k:
Expected and observed profile likelihood scans for the first part of the set of Wilson coefficients used as input to the PCA procedure. The scans are performed for the full combination of $ p_{\mathrm{T}}^{\mathrm{H}} $ spectra. In each case, the other Wilson coefficients are set to their SM values. |
|
png pdf |
Figure 16-l:
Expected and observed profile likelihood scans for the first part of the set of Wilson coefficients used as input to the PCA procedure. The scans are performed for the full combination of $ p_{\mathrm{T}}^{\mathrm{H}} $ spectra. In each case, the other Wilson coefficients are set to their SM values. |
|
png pdf |
Figure 16-m:
Expected and observed profile likelihood scans for the first part of the set of Wilson coefficients used as input to the PCA procedure. The scans are performed for the full combination of $ p_{\mathrm{T}}^{\mathrm{H}} $ spectra. In each case, the other Wilson coefficients are set to their SM values. |
|
png pdf |
Figure 16-n:
Expected and observed profile likelihood scans for the first part of the set of Wilson coefficients used as input to the PCA procedure. The scans are performed for the full combination of $ p_{\mathrm{T}}^{\mathrm{H}} $ spectra. In each case, the other Wilson coefficients are set to their SM values. |
|
png pdf |
Figure 16-o:
Expected and observed profile likelihood scans for the first part of the set of Wilson coefficients used as input to the PCA procedure. The scans are performed for the full combination of $ p_{\mathrm{T}}^{\mathrm{H}} $ spectra. In each case, the other Wilson coefficients are set to their SM values. |
|
png pdf |
Figure 16-p:
Expected and observed profile likelihood scans for the first part of the set of Wilson coefficients used as input to the PCA procedure. The scans are performed for the full combination of $ p_{\mathrm{T}}^{\mathrm{H}} $ spectra. In each case, the other Wilson coefficients are set to their SM values. |
|
png pdf |
Figure 17:
Expected and observed profile likelihood scans for the second part of the set of Wilson coefficients used as input to the PCA procedure. The scans are performed for the full combination of $ p_{\mathrm{T}}^{\mathrm{H}} $ spectra. In each case, the other Wilson coefficients are set to their SM values. |
|
png pdf |
Figure 17-a:
Expected and observed profile likelihood scans for the second part of the set of Wilson coefficients used as input to the PCA procedure. The scans are performed for the full combination of $ p_{\mathrm{T}}^{\mathrm{H}} $ spectra. In each case, the other Wilson coefficients are set to their SM values. |
|
png pdf |
Figure 17-b:
Expected and observed profile likelihood scans for the second part of the set of Wilson coefficients used as input to the PCA procedure. The scans are performed for the full combination of $ p_{\mathrm{T}}^{\mathrm{H}} $ spectra. In each case, the other Wilson coefficients are set to their SM values. |
|
png pdf |
Figure 17-c:
Expected and observed profile likelihood scans for the second part of the set of Wilson coefficients used as input to the PCA procedure. The scans are performed for the full combination of $ p_{\mathrm{T}}^{\mathrm{H}} $ spectra. In each case, the other Wilson coefficients are set to their SM values. |
|
png pdf |
Figure 17-d:
Expected and observed profile likelihood scans for the second part of the set of Wilson coefficients used as input to the PCA procedure. The scans are performed for the full combination of $ p_{\mathrm{T}}^{\mathrm{H}} $ spectra. In each case, the other Wilson coefficients are set to their SM values. |
|
png pdf |
Figure 17-e:
Expected and observed profile likelihood scans for the second part of the set of Wilson coefficients used as input to the PCA procedure. The scans are performed for the full combination of $ p_{\mathrm{T}}^{\mathrm{H}} $ spectra. In each case, the other Wilson coefficients are set to their SM values. |
|
png pdf |
Figure 17-f:
Expected and observed profile likelihood scans for the second part of the set of Wilson coefficients used as input to the PCA procedure. The scans are performed for the full combination of $ p_{\mathrm{T}}^{\mathrm{H}} $ spectra. In each case, the other Wilson coefficients are set to their SM values. |
|
png pdf |
Figure 17-g:
Expected and observed profile likelihood scans for the second part of the set of Wilson coefficients used as input to the PCA procedure. The scans are performed for the full combination of $ p_{\mathrm{T}}^{\mathrm{H}} $ spectra. In each case, the other Wilson coefficients are set to their SM values. |
|
png pdf |
Figure 17-h:
Expected and observed profile likelihood scans for the second part of the set of Wilson coefficients used as input to the PCA procedure. The scans are performed for the full combination of $ p_{\mathrm{T}}^{\mathrm{H}} $ spectra. In each case, the other Wilson coefficients are set to their SM values. |
|
png pdf |
Figure 17-i:
Expected and observed profile likelihood scans for the second part of the set of Wilson coefficients used as input to the PCA procedure. The scans are performed for the full combination of $ p_{\mathrm{T}}^{\mathrm{H}} $ spectra. In each case, the other Wilson coefficients are set to their SM values. |
|
png pdf |
Figure 17-j:
Expected and observed profile likelihood scans for the second part of the set of Wilson coefficients used as input to the PCA procedure. The scans are performed for the full combination of $ p_{\mathrm{T}}^{\mathrm{H}} $ spectra. In each case, the other Wilson coefficients are set to their SM values. |
|
png pdf |
Figure 17-k:
Expected and observed profile likelihood scans for the second part of the set of Wilson coefficients used as input to the PCA procedure. The scans are performed for the full combination of $ p_{\mathrm{T}}^{\mathrm{H}} $ spectra. In each case, the other Wilson coefficients are set to their SM values. |
|
png pdf |
Figure 17-l:
Expected and observed profile likelihood scans for the second part of the set of Wilson coefficients used as input to the PCA procedure. The scans are performed for the full combination of $ p_{\mathrm{T}}^{\mathrm{H}} $ spectra. In each case, the other Wilson coefficients are set to their SM values. |
|
png pdf |
Figure 17-m:
Expected and observed profile likelihood scans for the second part of the set of Wilson coefficients used as input to the PCA procedure. The scans are performed for the full combination of $ p_{\mathrm{T}}^{\mathrm{H}} $ spectra. In each case, the other Wilson coefficients are set to their SM values. |
|
png pdf |
Figure 17-n:
Expected and observed profile likelihood scans for the second part of the set of Wilson coefficients used as input to the PCA procedure. The scans are performed for the full combination of $ p_{\mathrm{T}}^{\mathrm{H}} $ spectra. In each case, the other Wilson coefficients are set to their SM values. |
|
png pdf |
Figure 17-o:
Expected and observed profile likelihood scans for the second part of the set of Wilson coefficients used as input to the PCA procedure. The scans are performed for the full combination of $ p_{\mathrm{T}}^{\mathrm{H}} $ spectra. In each case, the other Wilson coefficients are set to their SM values. |
|
png pdf |
Figure 18:
Summary of observed and expected confidence intervals at 68% and 95% confidence level (CL) for the Wilson coefficients used as input to the PCA procedure. Where a power of ten is shown, the value on the x-axis is multiplied by the corresponding power of ten. |
|
png pdf |
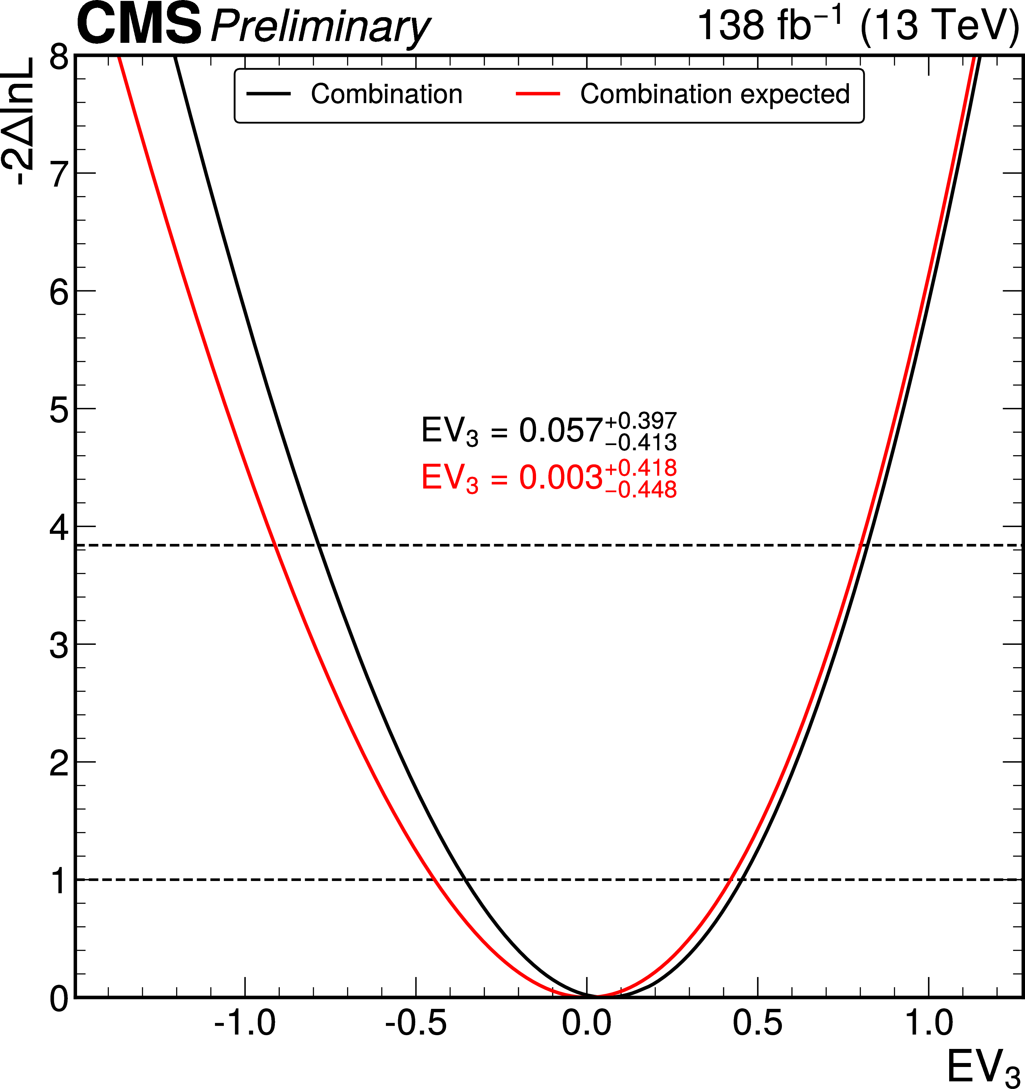
Figure 19:
Observed and expected profile likelihood scans for eigenvectors 0 to 3. |
|
png pdf |
Figure 19-a:
Observed and expected profile likelihood scans for eigenvectors 0 to 3. |
|
png pdf |
Figure 19-b:
Observed and expected profile likelihood scans for eigenvectors 0 to 3. |
|
png pdf |
Figure 19-c:
Observed and expected profile likelihood scans for eigenvectors 0 to 3. |
|
png pdf |
Figure 19-d:
Observed and expected profile likelihood scans for eigenvectors 0 to 3. |
|
png pdf |
Figure 20:
Observed and expected profile likelihood scans for eigenvectors 4 to 7. |
|
png pdf |
Figure 20-a:
Observed and expected profile likelihood scans for eigenvectors 4 to 7. |
|
png pdf |
Figure 20-b:
Observed and expected profile likelihood scans for eigenvectors 4 to 7. |
|
png pdf |
Figure 20-c:
Observed and expected profile likelihood scans for eigenvectors 4 to 7. |
|
png pdf |
Figure 20-d:
Observed and expected profile likelihood scans for eigenvectors 4 to 7. |
|
png pdf |
Figure 21:
Observed and expected profile likelihood scans for eigenvectors 8 and 9. |
|
png pdf |
Figure 21-a:
Observed and expected profile likelihood scans for eigenvectors 8 and 9. |
|
png pdf |
Figure 21-b:
Observed and expected profile likelihood scans for eigenvectors 8 and 9. |
| Tables | |
|
png pdf |
Table 1:
$ p_T^H $ bin boundaries used in the combination. |
|
png pdf |
Table 2:
$ N_{jets} $ bins used in the combination. |
|
png pdf |
Table 3:
$ p_{\mathrm{T}}^{\mathrm{j}_1} $ bin boundaries used in the combination. |
|
png pdf |
Table 4:
$ |y_{\mathrm{H}}| $ bin boundaries used in the combination. |
|
png pdf |
Table 5:
$ |\Delta\eta_{\mathrm{jj}}| $ bin boundaries used in the combination. |
|
png pdf |
Table 6:
$ m_{\mathrm{jj}} $ bin boundaries used in the combination. |
|
png pdf |
Table 7:
$ \tau^{\mathrm{j}}_{\mathrm{C}} $ bin boundaries used in the combination. |
|
png pdf |
Table 8:
$ |\Delta\phi _{\mathrm{jj}}| $ ($ \mathrm{H} \rightarrow \gamma \gamma $) and $ \Delta\phi _{\mathrm{jj}} $ ($ \mathrm{H} \rightarrow \mathrm{Z} \mathrm{Z}^{(*)} \rightarrow 4\ell $) boundaries used for fits to Wilson coefficients. |
|
png pdf |
Table 9:
List of $ X^2H^2 $ operators and corresponding Wilson coefficients. On the rightmost column, example diagrams of the processes affected by the operators are shown. |
|
png pdf |
Table 10:
Wilson coefficients used as input to the SMEFT interpretation (right column). In left and center column the class they belong to and the corresponding operator are reported. |
|
png pdf |
Table 11:
Observed best fit differential cross section for the $ p_{\mathrm{T}}^{H} $ [GeV] observable |
|
png pdf |
Table 12:
Observed best fit differential cross section for the $ N_{jets} $ observable |
|
png pdf |
Table 13:
Observed best fit differential cross section for the $ y_{H} $ observable |
|
png pdf |
Table 14:
Observed best fit differential cross section for the $ p_{\mathrm{T}}^{jet} $ [GeV] observable |
|
png pdf |
Table 15:
Observed best fit differential cross section for the $ m _{\mathrm{jj}} $ [GeV] observable |
|
png pdf |
Table 16:
Observed best fit differential cross section for the $ \Delta\eta _{\mathrm{jj}} $ observable |
|
png pdf |
Table 17:
Observed best fit differential cross section for the $ \tau_{C}^{j} $ [GeV] observable |
| Summary |
| A combination of differential cross sections for the differential observables $ p_{\mathrm{T}}^{\mathrm{H}} $, $ N_{\mathrm{jets}} $, $ |y_{\mathrm{H}}| $, $ p_{\mathrm{T}}^{\mathrm{j}_1} $, $ m_{\mathrm{jj}} $, $ |\Delta\eta_{\mathrm{jj}}| $ and $ \tau^{\mathrm{j}}_{\mathrm{C}} $ is presented, using 138 fb$^{-1}$ of proton-proton collision data obtained at $ \sqrt{s} = $ 13 TeV. The obtained spectra are obtained on data from the $ \mathrm{H} \rightarrow \gamma \gamma $, $ \mathrm{H} \rightarrow \mathrm{Z} \mathrm{Z}^{(*)} \rightarrow 4\ell $, $ \mathrm{H} \rightarrow \mathrm{W^+} \mathrm{W^-}^{(*)} \rightarrow \mathrm{e}^{\pm} \mu^{\mp} \nu_{l} \overline{\nu}_{l} $ and $ \mathrm{H} \rightarrow \tau^{+} \tau^{-} $ (boosted and not). No significant deviations from the standard model predictions are observed in any differential distribution. The obtained $ p_{\mathrm{T}}^{\mathrm{H}} $ spectra were interpreted using the $ \kappa $-framework and the SMEFT framework: in the former, multiple couplings were varied simultaneously following the studies reported in [10], while in the latter a principal component analysis was performed to identify non-flat directions of the likelihood. In both cases, the results are compatible with the standard model predictions. |
| Additional Figures | |
|
png pdf |
Additional Figure 1:
The 95% confidence level (CL) limits for each Wilson coefficient $ c_i $, obtained while setting the others to their SM value, interpreted in terms of the energy scale $ \Lambda $ for three different assumptions for the value of the coefficient as indicated in the legend. For limits that are not symmetrical around the SM value of zero, the absolute value of the looser limit is used. |
|
png pdf |
Additional Figure 2:
The 95% CL profiled limits for the ten eigenvectors (EVs) with highest eigenvalues, interpreted in terms of the energy scale $ \Lambda $ for three different assumptions for the value of the coefficient as indicated in the legend. For limits that are not symmetrical around the SM value of zero, the absolute value of the looser limit is used. |
|
png pdf |
Additional Figure 3:
Summary plot of the impacts of the different analysis $ p_{\mathrm{T}}^{\mathrm{H}} $ bins on the fitted eigenvectors obtained by the PCA. The choice of the different values for which the impacts are shown is chosen to be the observed 95% CL limit. The value of $ \mu(c_i) $ is computed by substituting the previously mentioned value of $ c_i $ into the linearized parametrization while leaving all the other eigenvectors fixed to their SM value. |
| References | ||||
| 1 | CMS Collaboration | Observation of a New Boson at a Mass of 125 GeV with the CMS Experiment at the LHC | PLB 716 (2012) | CMS-HIG-12-028 1207.7235 |
| 2 | ATLAS Collaboration | Observation of a new particle in the search for the Standard Model Higgs boson with the ATLAS detector at the LHC | PLB 716 (2012) | 1207.7214 |
| 3 | LHC Higgs Cross Section Working Group Collaboration | Handbook of LHC Higgs Cross Sections: 3. Higgs Properties | 1307.1347 | |
| 4 | B. Grzadkowski, M. Iskrzynski, M. Misiak, and J. Rosiek | Dimension-Six Terms in the Standard Model Lagrangian | JHEP 10 (2010) 085 | 1008.4884 |
| 5 | CMS Collaboration | Measurement of the Higgs boson inclusive and differential fiducial production cross sections in the diphoton decay channel with pp collisions at $ \sqrt{s} $ = 13 TeV | JHEP 07 (2023) 091 | CMS-HIG-19-016 2208.12279 |
| 6 | CMS Collaboration | Measurements of inclusive and differential cross sections for the Higgs boson production and decay to four-leptons in proton-proton collisions at $ \sqrt{s} $ = 13 TeV | JHEP 08 (2023) 040 | CMS-HIG-21-009 2305.07532 |
| 7 | CMS Collaboration | Measurement of the inclusive and differential Higgs boson production cross sections in the leptonic WW decay mode at $ \sqrt{s} = $ 13 TeV | JHEP 03 (2021) 003 | CMS-HIG-19-002 2007.01984 |
| 8 | CMS Collaboration | Measurement of the inclusive and differential Higgs boson production cross sections in the decay mode to a pair of $ \tau $ leptons in pp collisions at $ \sqrt{s} = $ 13 TeV | PRL 128 (2022) 081805 | CMS-HIG-20-015 2107.11486 |
| 9 | CMS Collaboration | Measurement of the Production Cross Section of a Higgs Boson with Large Transverse Momentum in Its Decays to a Pair of $ \tau $ Leptons in Proton-Proton Collisions at $ \sqrt{s} $ = 13 TeV | Submitted to PLB | CMS-HIG-21-017 2403.20201 |
| 10 | CMS Collaboration | Measurement and interpretation of differential cross sections for Higgs boson production at $ \sqrt{s} = $ 13 TeV | PLB 792 (2019) | CMS-HIG-17-028 1812.06504 |
| 11 | CMS Collaboration | A measurement of the Higgs boson mass in the diphoton decay channel | PLB 805 (2020) 135425 | CMS-HIG-19-004 2002.06398 |
| 12 | ATLAS Collaboration | Measurements of the Higgs boson inclusive and differential fiducial cross-sections in the diphoton decay channel with pp collisions at $ \sqrt{s} $ = 13 TeV with the ATLAS detector | JHEP 08 (2022) 027 | 2202.00487 |
| 13 | ATLAS Collaboration | Interpretations of the ATLAS measurements of Higgs boson production and decay rates and differential cross-sections in $ pp $ collisions at $ \sqrt{s}= $ 13 TeV | 2402.05742 | |
| 14 | CMS Collaboration | Development of the CMS detector for the CERN LHC Run 3 | JINST 19 (2024) P05064 | CMS-PRF-21-001 2309.05466 |
| 15 | CMS Collaboration | The CMS Statistical Analysis and Combination Tool: COMBINE | Accepted for publication in Computing and Software for Big Science | CMS-CAT-23-001 2404.06614 |
| 16 | P. Nason | A new method for combining NLO QCD with shower monte carlo algorithms | JHEP 11 (2004) 040 | hep-ph/0409146 |
| 17 | S. Frixione, P. Nason, and C. Oleari | Matching NLO QCD computations with parton shower simulations: the \sc powheg method | JHEP 11 (2007) 070 | 0709.2092 |
| 18 | S. Alioli, P. Nason, C. Oleari, and E. Re | A general framework for implementing NLO calculations in shower Monte Carlo programs: the \sc powheg box | JHEP 06 (2010) 043 | 1002.2581 |
| 19 | E. Bagnaschi, G. Degrassi, P. Slavich, and A. Vicini | Higgs production via gluon fusion in the POWHEG approach in the SM and in the MSSM | JHEP 02 (2012) 088 | 1111.2854 |
| 20 | F. Bishara, U. Haisch, P. F. Monni, and E. Re | Constraining Light-Quark Yukawa Couplings from Higgs Distributions | PRL 118 (2017) 121801 | 1606.09253 |
| 21 | M. Grazzini, A. Ilnicka, M. Spira, and M. Wiesemann | Effective Field Theory for Higgs properties parametrisation: the transverse momentum spectrum case | in 52nd Rencontres de Moriond on QCD and High Energy Interactions, 2017 | 1705.05143 |
| 22 | M. Grazzini, A. Ilnicka, M. Spira, and M. Wiesemann | Modeling BSM effects on the Higgs transverse-momentum spectrum in an EFT approach | JHEP 03 (2017) 115 | 1612.00283 |
| 23 | I. Brivio | SMEFTsim 3.0 \textemdash a practical guide | JHEP 04 (2021) 073 | 2012.11343 |
| 24 | C. Degrande et al. | Automated one-loop computations in the standard model effective field theory | PRD 103 (2021) 096024 | 2008.11743 |
| 25 | S. Dawson and P. P. Giardino | Electroweak corrections to Higgs boson decays to $ \gamma\gamma $ and $ W^+W^- $ in standard model EFT | PRD 98 (2018) 095005 | 1807.11504 |
| 26 | G. Brooijmans et al. | Les Houches 2019 Physics at TeV Colliders: New Physics Working Group Report | in 11th Les Houches Workshop on Physics at TeV Colliders: PhysTeV Les Houches, 2020 | 2002.12220 |
| 27 | J. Alwall et al. | The automated computation of tree-level and next-to-leading order differential cross sections, and their matching to parton shower simulations | JHEP 07 (2014) 079 | 1405.0301 |
| 28 | T. Sjöstrand et al. | An introduction to PYTHIA 8.2 | Comput. Phys. Commun. 191 (2015) 159 | 1410.3012 |
| 29 | C. Bierlich et al. | Robust Independent Validation of Experiment and Theory: Rivet version 3 | SciPost Phys. 8 (2020) 026 | 1912.05451 |
|
Compact Muon Solenoid LHC, CERN |
|
|
|
|
|
|