| CMS-PAS-SMP-16-011 | ||
| Measurement of triple-differential dijet cross sections at $\sqrt{s}=$ 8 TeV with the CMS detector and constraints on parton distribution functions | ||
| CMS Collaboration | ||
| November 2016 | ||
| Abstract: A measurement of triple-differential dijet cross sections at a centre-of-mass energy of $\sqrt{s} =$ 8 TeV is presented using 19.7 fb$^{-1}$ of data collected with the CMS detector in proton-proton collisions at the LHC. The cross sections are measured as a function of the average transverse momentum, half the rapidity separation, and the boost of the two leading jets. The cross sections are unfolded for detector effects and compared to calculations in perturbative quantum chromodynamics at next-to-leading order accuracy complemented with electroweak and nonperturbative corrections. Constraints on the parton distribution functions are derived and the strong coupling constant is determined to be $\alpha_s(M_Z) =$ 0.1199 $\pm$ 0.0015 (exp) $_{-0.0020}^{+0.0031}$(theo). | ||
|
Links:
CDS record (PDF) ;
CADI line (restricted) ;
These preliminary results are superseded in this paper, EPJC 77 (2017) 746. The superseded preliminary plots can be found here. |
||
| Figures | |
|
png pdf |
Figure 1:
Dijet event topologies. |
|
png pdf |
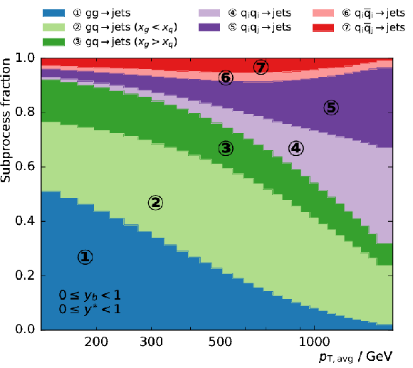
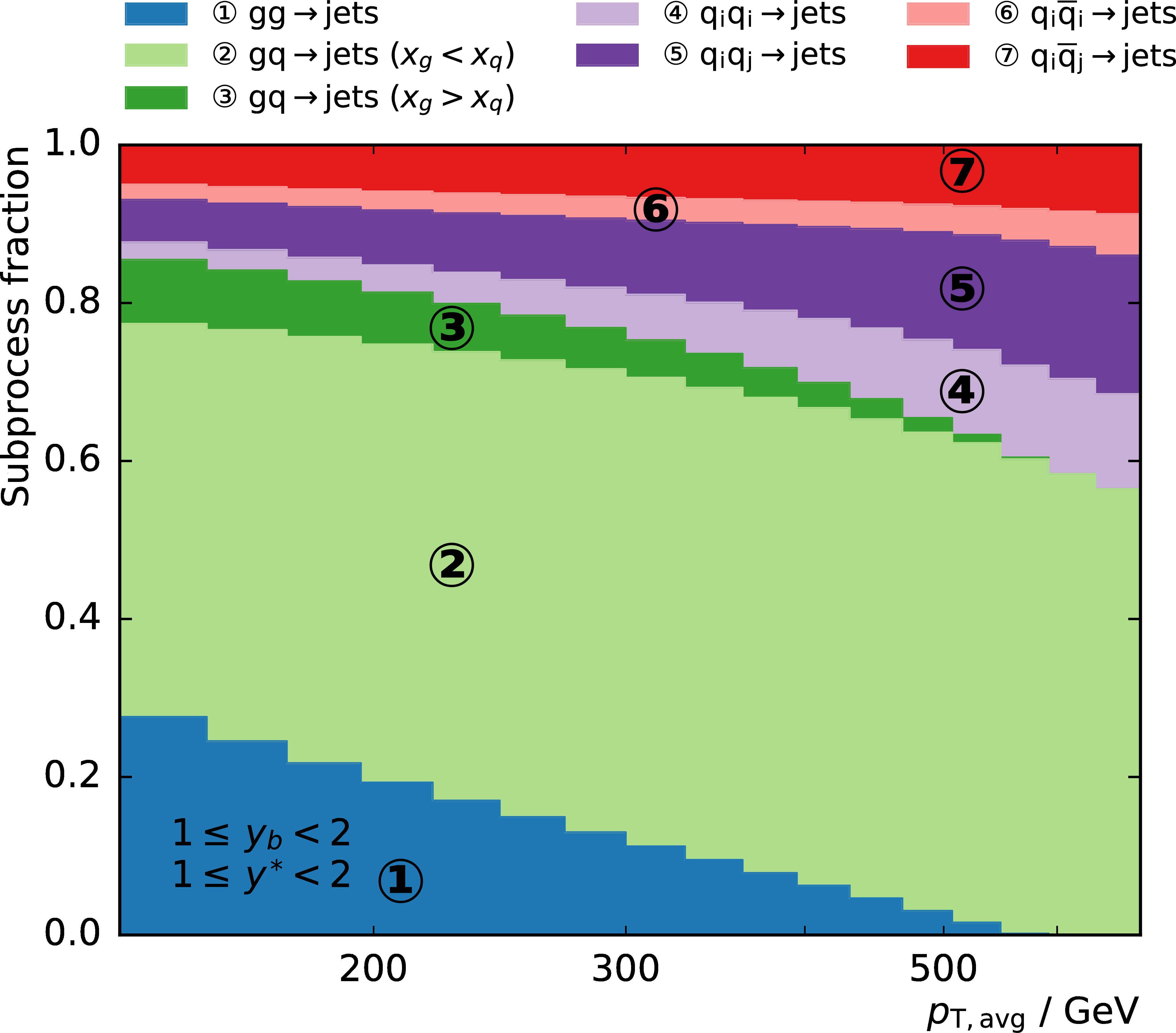
Figure 2:
Subprocess decomposition. |
|
png pdf |
Figure 2-a:
Subprocess decomposition. |
|
png pdf |
Figure 2-b:
Subprocess decomposition. |
|
png pdf |
Figure 2-c:
Subprocess decomposition. |
|
png pdf |
Figure 2-d:
Subprocess decomposition. |
|
png pdf |
Figure 2-e:
Subprocess decomposition. |
|
png pdf |
Figure 2-f:
Subprocess decomposition. |
|
png pdf |
Figure 3:
Overview of experimental uncertainties. |
|
png pdf |
Figure 3-a:
Overview of experimental uncertainties. |
|
png pdf |
Figure 3-b:
Overview of experimental uncertainties. |
|
png pdf |
Figure 3-c:
Overview of experimental uncertainties. |
|
png pdf |
Figure 3-d:
Overview of experimental uncertainties. |
|
png pdf |
Figure 3-e:
Overview of experimental uncertainties. |
|
png pdf |
Figure 3-f:
Overview of experimental uncertainties. |
|
png pdf |
Figure 4:
Overview of theory uncertainties. |
|
png pdf |
Figure 4-a:
Overview of theory uncertainties. |
|
png pdf |
Figure 4-b:
Overview of theory uncertainties. |
|
png pdf |
Figure 4-c:
Overview of theory uncertainties. |
|
png pdf |
Figure 4-d:
Overview of theory uncertainties. |
|
png pdf |
Figure 4-e:
Overview of theory uncertainties. |
|
png pdf |
Figure 4-f:
Overview of theory uncertainties. |
|
png pdf |
Figure 5:
Spectrum of the triple-differential dijet cross section. |
|
png pdf |
Figure 6:
Ratio of the triple-differential dijet cross section to the {NLOJet++} prediction using the NNPDF3.0 set. The data points including statistical uncertainties are indicated by markers, the total experimental uncertainty is represented by the hatched band. The solid band shows the PDF, scale, and NP uncertainties quadratically added, the solid and dashed lines give the predictions calculated with different PDF sets. |
|
png pdf |
Figure 6-a:
Ratio of the triple-differential dijet cross section to the {NLOJet++} prediction using the NNPDF3.0 set. The data points including statistical uncertainties are indicated by markers, the total experimental uncertainty is represented by the hatched band. The solid band shows the PDF, scale, and NP uncertainties quadratically added, the solid and dashed lines give the predictions calculated with different PDF sets. |
|
png pdf |
Figure 6-b:
Ratio of the triple-differential dijet cross section to the {NLOJet++} prediction using the NNPDF3.0 set. The data points including statistical uncertainties are indicated by markers, the total experimental uncertainty is represented by the hatched band. The solid band shows the PDF, scale, and NP uncertainties quadratically added, the solid and dashed lines give the predictions calculated with different PDF sets. |
|
png pdf |
Figure 6-c:
Ratio of the triple-differential dijet cross section to the {NLOJet++} prediction using the NNPDF3.0 set. The data points including statistical uncertainties are indicated by markers, the total experimental uncertainty is represented by the hatched band. The solid band shows the PDF, scale, and NP uncertainties quadratically added, the solid and dashed lines give the predictions calculated with different PDF sets. |
|
png pdf |
Figure 6-d:
Ratio of the triple-differential dijet cross section to the {NLOJet++} prediction using the NNPDF3.0 set. The data points including statistical uncertainties are indicated by markers, the total experimental uncertainty is represented by the hatched band. The solid band shows the PDF, scale, and NP uncertainties quadratically added, the solid and dashed lines give the predictions calculated with different PDF sets. |
|
png pdf |
Figure 6-e:
Ratio of the triple-differential dijet cross section to the {NLOJet++} prediction using the NNPDF3.0 set. The data points including statistical uncertainties are indicated by markers, the total experimental uncertainty is represented by the hatched band. The solid band shows the PDF, scale, and NP uncertainties quadratically added, the solid and dashed lines give the predictions calculated with different PDF sets. |
|
png pdf |
Figure 6-f:
Ratio of the triple-differential dijet cross section to the {NLOJet++} prediction using the NNPDF3.0 set. The data points including statistical uncertainties are indicated by markers, the total experimental uncertainty is represented by the hatched band. The solid band shows the PDF, scale, and NP uncertainties quadratically added, the solid and dashed lines give the predictions calculated with different PDF sets. |
|
png pdf |
Figure 7:
Ratio of the triple-differential dijet cross sections to the {NLOJet++} prediction using the NNPDF 3.0 set. The data points including statistical uncertainties are indicated by markers, the total experimental uncertainty is represented by the hatched band. The solid band shows the PDF, scale, and NP uncertainties quadratically added. The predictions of the NLO MC event generators POWHEG + PYTHIA and HERWIG are depicted by solid and dashed lines, respectively. |
|
png pdf |
Figure 7-a:
Ratio of the triple-differential dijet cross sections to the {NLOJet++} prediction using the NNPDF 3.0 set. The data points including statistical uncertainties are indicated by markers, the total experimental uncertainty is represented by the hatched band. The solid band shows the PDF, scale, and NP uncertainties quadratically added. The predictions of the NLO MC event generators POWHEG + PYTHIA and HERWIG are depicted by solid and dashed lines, respectively. |
|
png pdf |
Figure 7-b:
Ratio of the triple-differential dijet cross sections to the {NLOJet++} prediction using the NNPDF 3.0 set. The data points including statistical uncertainties are indicated by markers, the total experimental uncertainty is represented by the hatched band. The solid band shows the PDF, scale, and NP uncertainties quadratically added. The predictions of the NLO MC event generators POWHEG + PYTHIA and HERWIG are depicted by solid and dashed lines, respectively. |
|
png pdf |
Figure 7-c:
Ratio of the triple-differential dijet cross sections to the {NLOJet++} prediction using the NNPDF 3.0 set. The data points including statistical uncertainties are indicated by markers, the total experimental uncertainty is represented by the hatched band. The solid band shows the PDF, scale, and NP uncertainties quadratically added. The predictions of the NLO MC event generators POWHEG + PYTHIA and HERWIG are depicted by solid and dashed lines, respectively. |
|
png pdf |
Figure 7-d:
Ratio of the triple-differential dijet cross sections to the {NLOJet++} prediction using the NNPDF 3.0 set. The data points including statistical uncertainties are indicated by markers, the total experimental uncertainty is represented by the hatched band. The solid band shows the PDF, scale, and NP uncertainties quadratically added. The predictions of the NLO MC event generators POWHEG + PYTHIA and HERWIG are depicted by solid and dashed lines, respectively. |
|
png pdf |
Figure 7-e:
Ratio of the triple-differential dijet cross sections to the {NLOJet++} prediction using the NNPDF 3.0 set. The data points including statistical uncertainties are indicated by markers, the total experimental uncertainty is represented by the hatched band. The solid band shows the PDF, scale, and NP uncertainties quadratically added. The predictions of the NLO MC event generators POWHEG + PYTHIA and HERWIG are depicted by solid and dashed lines, respectively. |
|
png pdf |
Figure 7-f:
Ratio of the triple-differential dijet cross sections to the {NLOJet++} prediction using the NNPDF 3.0 set. The data points including statistical uncertainties are indicated by markers, the total experimental uncertainty is represented by the hatched band. The solid band shows the PDF, scale, and NP uncertainties quadratically added. The predictions of the NLO MC event generators POWHEG + PYTHIA and HERWIG are depicted by solid and dashed lines, respectively. |
|
png pdf |
Figure 8:
Direct comparison of gluon and quark PDFs. |
|
png pdf |
Figure 8-a:
Direct comparison of gluon and quark PDFs. |
|
png pdf |
Figure 8-b:
Direct comparison of gluon and quark PDFs. |
|
png pdf |
Figure 8-c:
Direct comparison of gluon and quark PDFs. |
|
png pdf |
Figure 8-d:
Direct comparison of gluon and quark PDFs. |
|
png pdf |
Figure 9:
Direct comparison of gluon and quark PDFs. |
|
png pdf |
Figure 9-a:
Direct comparison of gluon and quark PDFs. |
|
png pdf |
Figure 9-b:
Direct comparison of gluon and quark PDFs. |
|
png pdf |
Figure 9-c:
Direct comparison of gluon and quark PDFs. |
|
png pdf |
Figure 9-d:
Direct comparison of gluon and quark PDFs. |
| Tables | |
|
png pdf |
Table 2:
Fit quality in the HERA DIS and combined fit. |
| Summary |
| A measurement of triple-differential dijet cross sections has been presented. The data were found to be well described by NLO predictions corrected for NP and EW effects except for a boosted event topology, which suffers from large PDF uncertainties. The precise data constrain the PDFs, especially in the boosted regime, where the highest momentum fractions $x$ of the PDFs are probed. The impact of the data on the PDFs was demonstrated by performing a simultaneous fit to DIS cross sections obtained from the HERA experiments and the dijet cross sections measured in this paper. If the dijet data are considered, a slightly harder gluon PDF is obtained and the overall uncertainties of the PDFs, especially those of the gluon PDF, are significantly reduced. The strong coupling constant has been determined together with the PDFs in a simultaneous fit. |
| References | ||||
| 1 | UA2 Collaboration | Observation of Very Large Transverse Momentum Jets at the CERN $ \bar{p}p $ Collider | PLB 118 (1982) 203 | |
| 2 | AFS Collaboration | Dijet Production Cross-Section and Fragmentation of Jets Produced in $ p p $ Collisions at $ \sqrt{s} = 63\,\mathrm{GeV} $ | Z. Phys. C 30 (1986) 27 | |
| 3 | CDF Collaboration | A measurement of the differential dijet mass cross section in $ p\bar{p} $ collisions at $ \sqrt{s} = 1.8 $ TeV | PRD 61 (2000) 091101 | hep-ex/9912022 |
| 4 | CDF Collaboration | Measurement of the dijet mass distribution in $ p\bar{p} $ collisions at $ \sqrt{s} = 1.8 $ TeV | PRD 48 (1993) 998 | |
| 5 | CDF Collaboration | Two-jet invariant-mass distribution at $ \sqrt{s} = 1.8 $ TeV | PRD 41 (1990) 1722 | |
| 6 | D0 Collaboration | The dijet mass spectrum and a search for quark compositeness in $ \bar{p}p $ collisions at $ \sqrt{s} = 1.8 $ TeV | PRL 82 (1999) 2457 | hep-ex/9807014 |
| 7 | ATLAS Collaboration | Measurement of inclusive jet and dijet cross sections in proton-proton collisions at 7 TeV centre-of-mass energy with the ATLAS detector | EPJC 71 (2011) 1512 | 1009.5908 |
| 8 | CMS Collaboration | Measurement of the differential dijet production cross section in proton-proton collisions at $ \sqrt{s}=7 $ TeV | PLB 700 (2011) 187 | CMS-QCD-10-025 1104.1693 |
| 9 | ATLAS Collaboration | Measurement of inclusive jet and dijet production in $ pp $ collisions at $ \sqrt{s}=7 $ TeV using the ATLAS detector | PRD 86 (2012) 014022 | 1112.6297 |
| 10 | ATLAS Collaboration | Measurement of dijet cross sections in pp collisions at 7 TeV centre-of-mass energy using the ATLAS detector | JHEP 05 (2014) 059 | 1312.3524 |
| 11 | CMS Collaboration | Measurements of differential jet cross sections in proton-proton collisions at $ \sqrt{s}=7 $ TeV with the CMS detector | PRD 87 (2013) 112002 | CMS-QCD-11-004 1212.6660 |
| 12 | CDF Collaboration | Two-Jet Differential Cross-Section in $ \bar{p}p $ Collisions at $ \sqrt{s} = 1.8 $ TeV | PRL 64 (1990) 157 | |
| 13 | CDF Collaboration | Measurement of the two-jet differential cross section in $ p\bar{p} $ collisions at $ \sqrt{s} = 1800 $ GeV | PRD 64 (2001) 012001 | hep-ex/0012013 |
| 14 | Z. Nagy | Three jet cross-sections in hadron hadron collisions at next-to-leading order | PRL 88 (2002) 122003 | hep-ph/0110315 |
| 15 | Z. Nagy | Next-to-leading order calculation of three-jet observables in hadron hadron collisions | PRD 68 (2003) 094002 | hep-ph/0307268 |
| 16 | CMS Trigger and Data Acquisition Group Collaboration | The CMS high level trigger | EPJC 46 (2006) 605 | hep-ex/0512077 |
| 17 | CMS Collaboration | Particle-Flow Event Reconstruction in CMS and Performance for Jets, Taus, and MET | CDS | |
| 18 | CMS Collaboration | Particle-flow commissioning with muons and electrons from J/Psi and W events at 7 TeV | CDS | |
|
Compact Muon Solenoid LHC, CERN |
|
|
|
|
|
|