| CMS-PAS-HIN-24-010 | ||
| Search for medium-induced jet axis decorrelations with inclusive jets from PbPb collisions at $ \sqrt{\smash[b]{s_{_{\mathrm{NN}}}}} = $ 5.02 TeV | ||
| CMS Collaboration | ||
| 24 September 2024 | ||
| Abstract: The angular correlation between two different jet axes for a given jet of $ R = $ 0.4, obtained by using two different clustering algorithms on the same collection of anti-$ k_{\mathrm{T}} $ jets, is studied using lead-lead collision data at a center-of-mass energy per nucleon pair of 5.02 TeV. The dataset, corresponding to an integrated luminosity of 0.662 $ \mathrm{nb}^{-1} $, was collected with the CMS detector at the CERN LHC. The jet axis correlations are examined across collision centrality selections and jet $ p_{\mathrm{T}} $ intervals. A centrality-dependent evolution of the measured distributions is observed, with a progressive narrowing seen in more central events. This narrowing could result from medium-induced modification of the internal jet structure or reflect color-charge effects in energy loss. The new measurements study jet substructure in previously unexplored kinematic domains and show great promise for providing new insights on the color charge dependence of energy loss to jet quenching models. | ||
|
Links:
CDS record (PDF) ;
CADI line (restricted) ;
These preliminary results are superseded in this paper, Submitted to JHEP. The superseded preliminary plots can be found here. |
||
| Figures | |
|
png pdf |
Figure 1:
The unfolded normalized correlation distributions $ \Delta\text{j} $ are measured in different centrality intervals for 120 $ < p_{\mathrm{T}} < $ 150 GeV (top left), 150 $ < p_{\mathrm{T}} < $ 190 GeV (top right), 190 $ < p_{\mathrm{T}} < $ 230 GeV (bottom left), and 230 $ < p_{\mathrm{T}} < $ 300 GeV (bottom right). In each panel, the black circles show measurements for 0-10% centrality interval, the red squares 10-30%, and the blue and green triangles 30-50% and 50-80% centrality intervals, respectively. The lower panels show the ratio of the correlation distribution within each centrality interval to that of 50-80% selection. The vertical solid line represents the statistical uncertainty, while the rectangles and shaded areas represent the correlated and uncorrelated systematic uncertainties, respectively. |
|
png pdf |
Figure 1-a:
The unfolded normalized correlation distributions $ \Delta\text{j} $ are measured in different centrality intervals for 120 $ < p_{\mathrm{T}} < $ 150 GeV (top left), 150 $ < p_{\mathrm{T}} < $ 190 GeV (top right), 190 $ < p_{\mathrm{T}} < $ 230 GeV (bottom left), and 230 $ < p_{\mathrm{T}} < $ 300 GeV (bottom right). In each panel, the black circles show measurements for 0-10% centrality interval, the red squares 10-30%, and the blue and green triangles 30-50% and 50-80% centrality intervals, respectively. The lower panels show the ratio of the correlation distribution within each centrality interval to that of 50-80% selection. The vertical solid line represents the statistical uncertainty, while the rectangles and shaded areas represent the correlated and uncorrelated systematic uncertainties, respectively. |
|
png pdf |
Figure 1-b:
The unfolded normalized correlation distributions $ \Delta\text{j} $ are measured in different centrality intervals for 120 $ < p_{\mathrm{T}} < $ 150 GeV (top left), 150 $ < p_{\mathrm{T}} < $ 190 GeV (top right), 190 $ < p_{\mathrm{T}} < $ 230 GeV (bottom left), and 230 $ < p_{\mathrm{T}} < $ 300 GeV (bottom right). In each panel, the black circles show measurements for 0-10% centrality interval, the red squares 10-30%, and the blue and green triangles 30-50% and 50-80% centrality intervals, respectively. The lower panels show the ratio of the correlation distribution within each centrality interval to that of 50-80% selection. The vertical solid line represents the statistical uncertainty, while the rectangles and shaded areas represent the correlated and uncorrelated systematic uncertainties, respectively. |
|
png pdf |
Figure 1-c:
The unfolded normalized correlation distributions $ \Delta\text{j} $ are measured in different centrality intervals for 120 $ < p_{\mathrm{T}} < $ 150 GeV (top left), 150 $ < p_{\mathrm{T}} < $ 190 GeV (top right), 190 $ < p_{\mathrm{T}} < $ 230 GeV (bottom left), and 230 $ < p_{\mathrm{T}} < $ 300 GeV (bottom right). In each panel, the black circles show measurements for 0-10% centrality interval, the red squares 10-30%, and the blue and green triangles 30-50% and 50-80% centrality intervals, respectively. The lower panels show the ratio of the correlation distribution within each centrality interval to that of 50-80% selection. The vertical solid line represents the statistical uncertainty, while the rectangles and shaded areas represent the correlated and uncorrelated systematic uncertainties, respectively. |
|
png pdf |
Figure 1-d:
The unfolded normalized correlation distributions $ \Delta\text{j} $ are measured in different centrality intervals for 120 $ < p_{\mathrm{T}} < $ 150 GeV (top left), 150 $ < p_{\mathrm{T}} < $ 190 GeV (top right), 190 $ < p_{\mathrm{T}} < $ 230 GeV (bottom left), and 230 $ < p_{\mathrm{T}} < $ 300 GeV (bottom right). In each panel, the black circles show measurements for 0-10% centrality interval, the red squares 10-30%, and the blue and green triangles 30-50% and 50-80% centrality intervals, respectively. The lower panels show the ratio of the correlation distribution within each centrality interval to that of 50-80% selection. The vertical solid line represents the statistical uncertainty, while the rectangles and shaded areas represent the correlated and uncorrelated systematic uncertainties, respectively. |
|
png pdf |
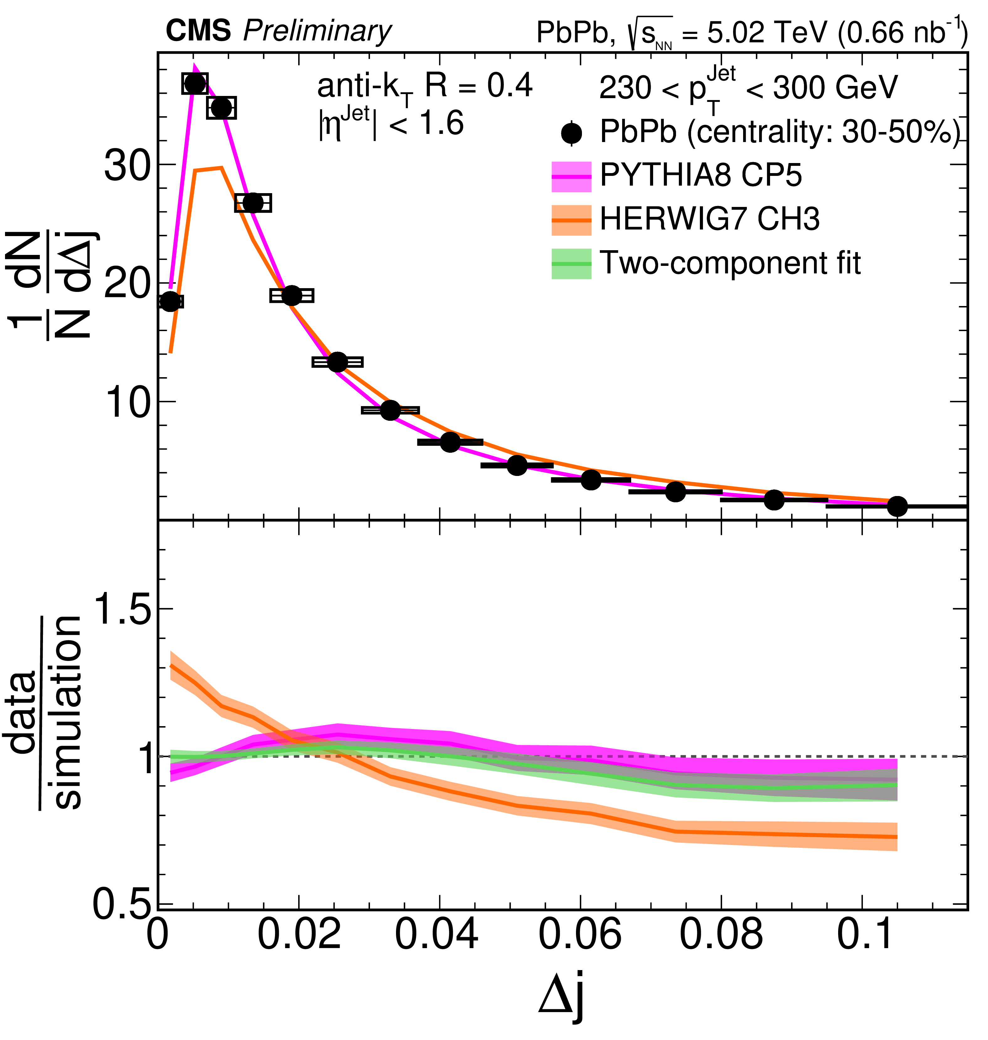
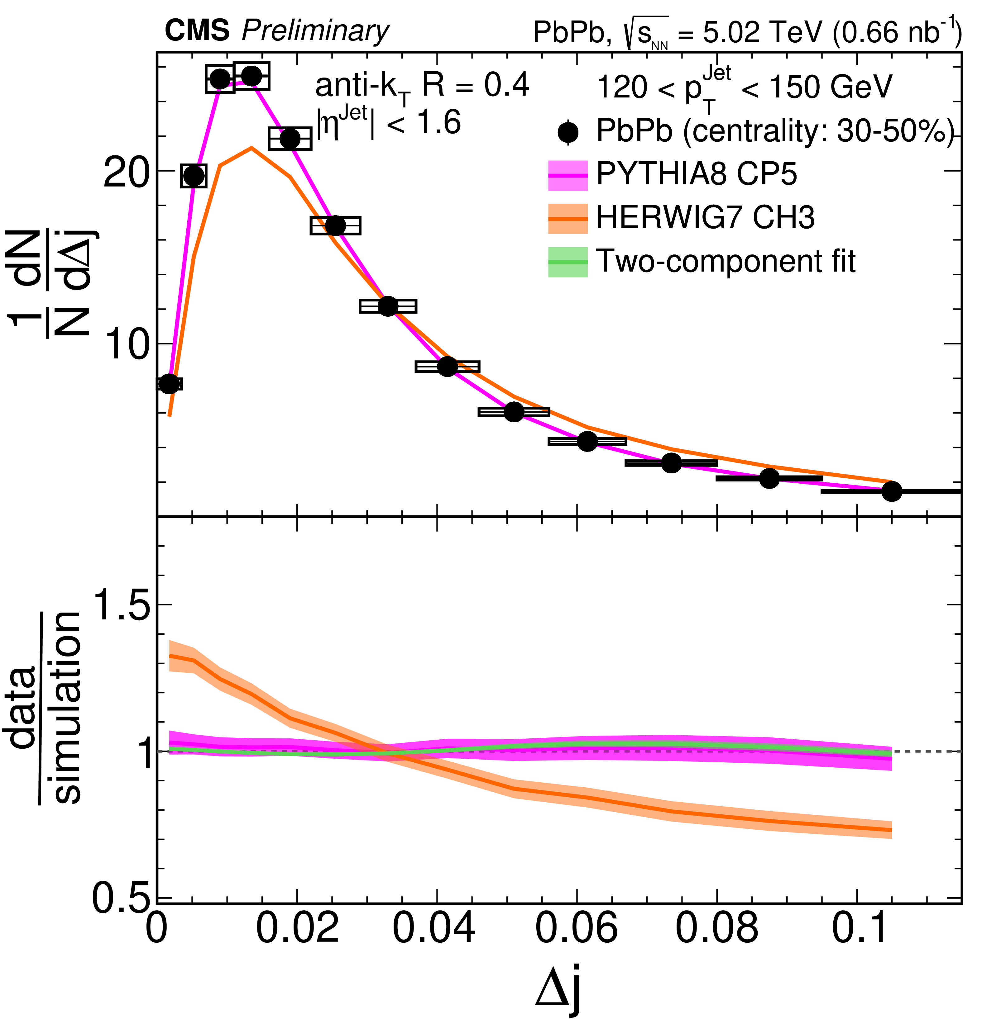
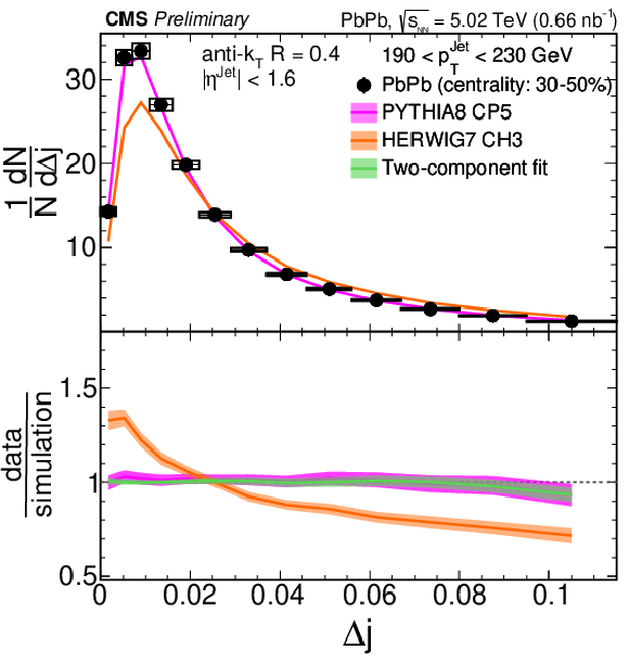
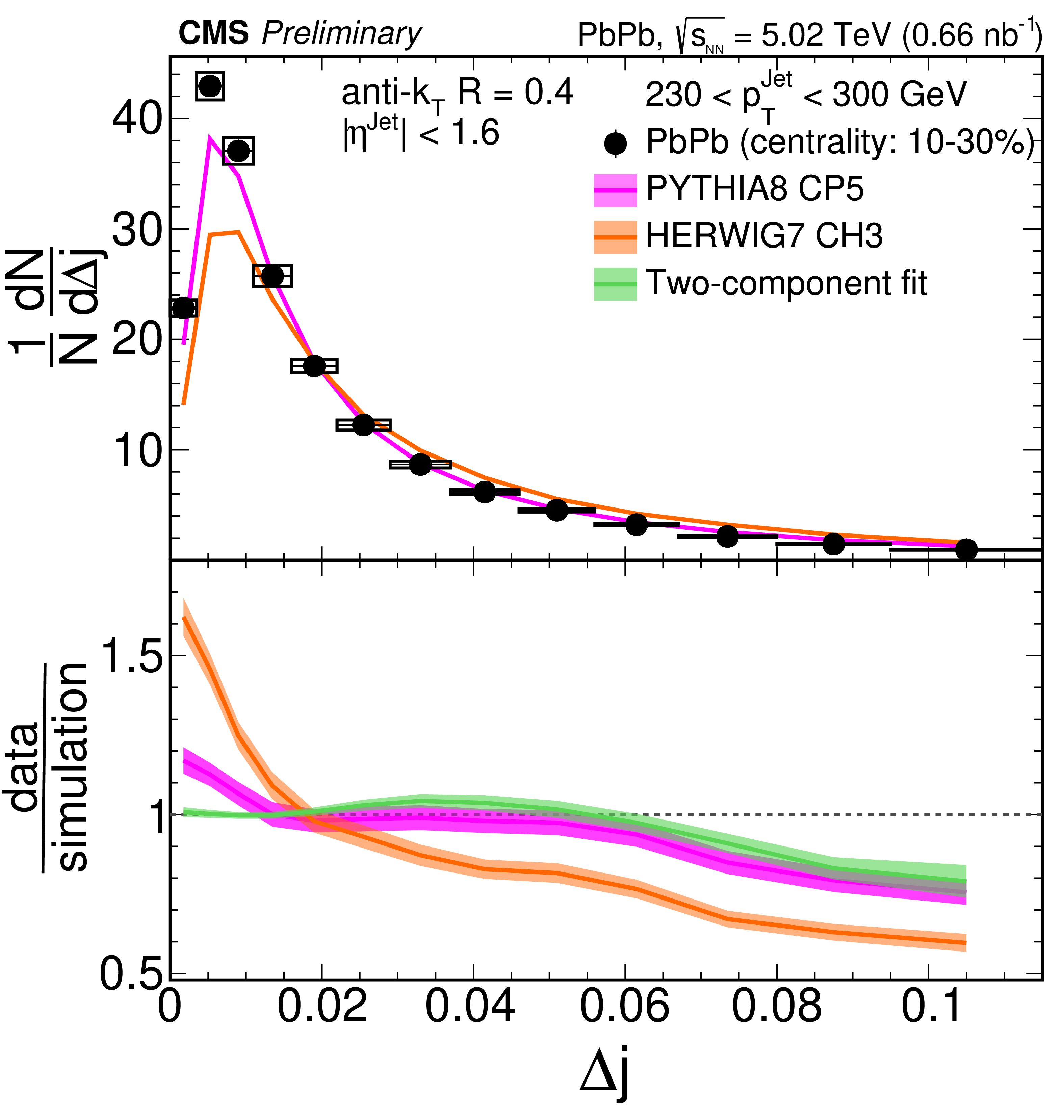
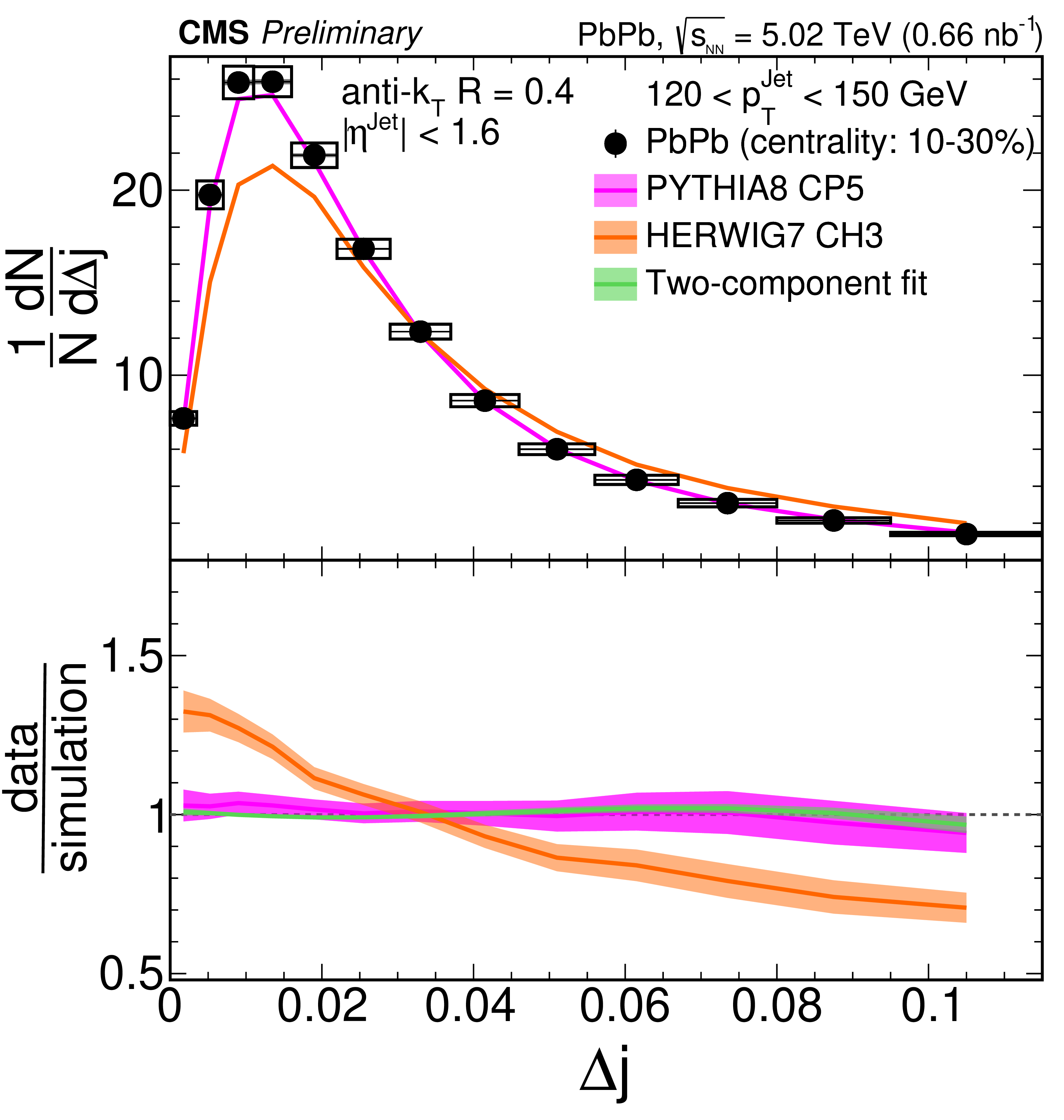
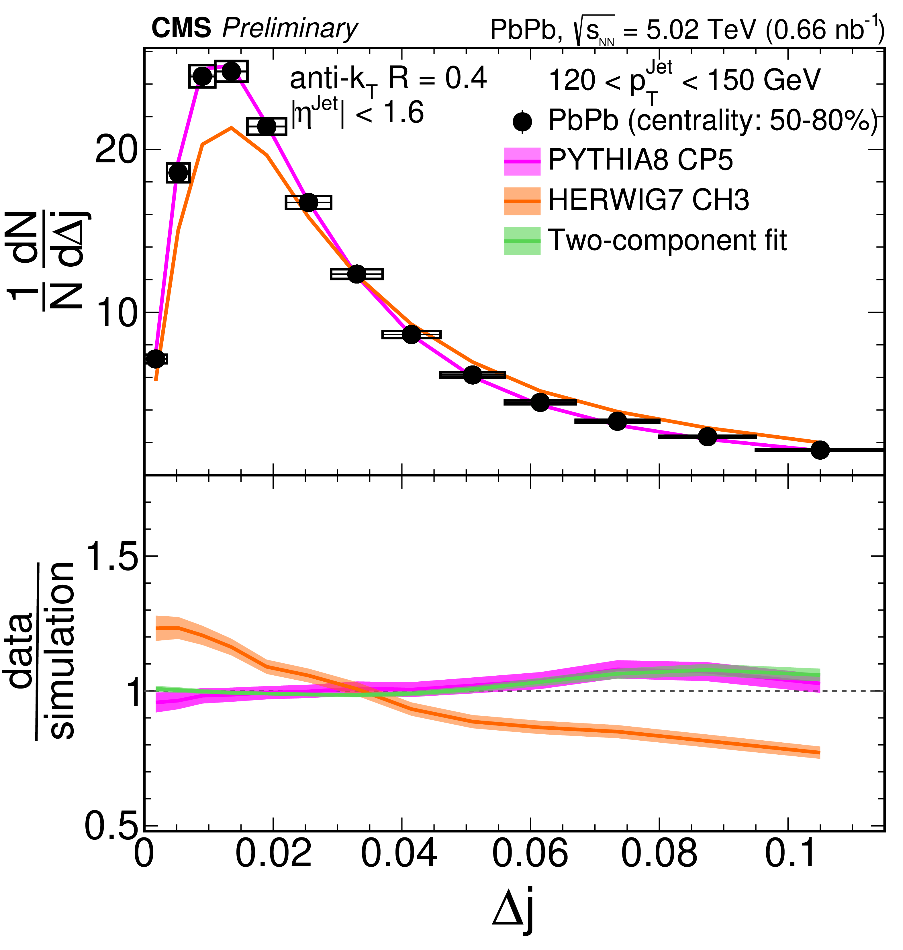
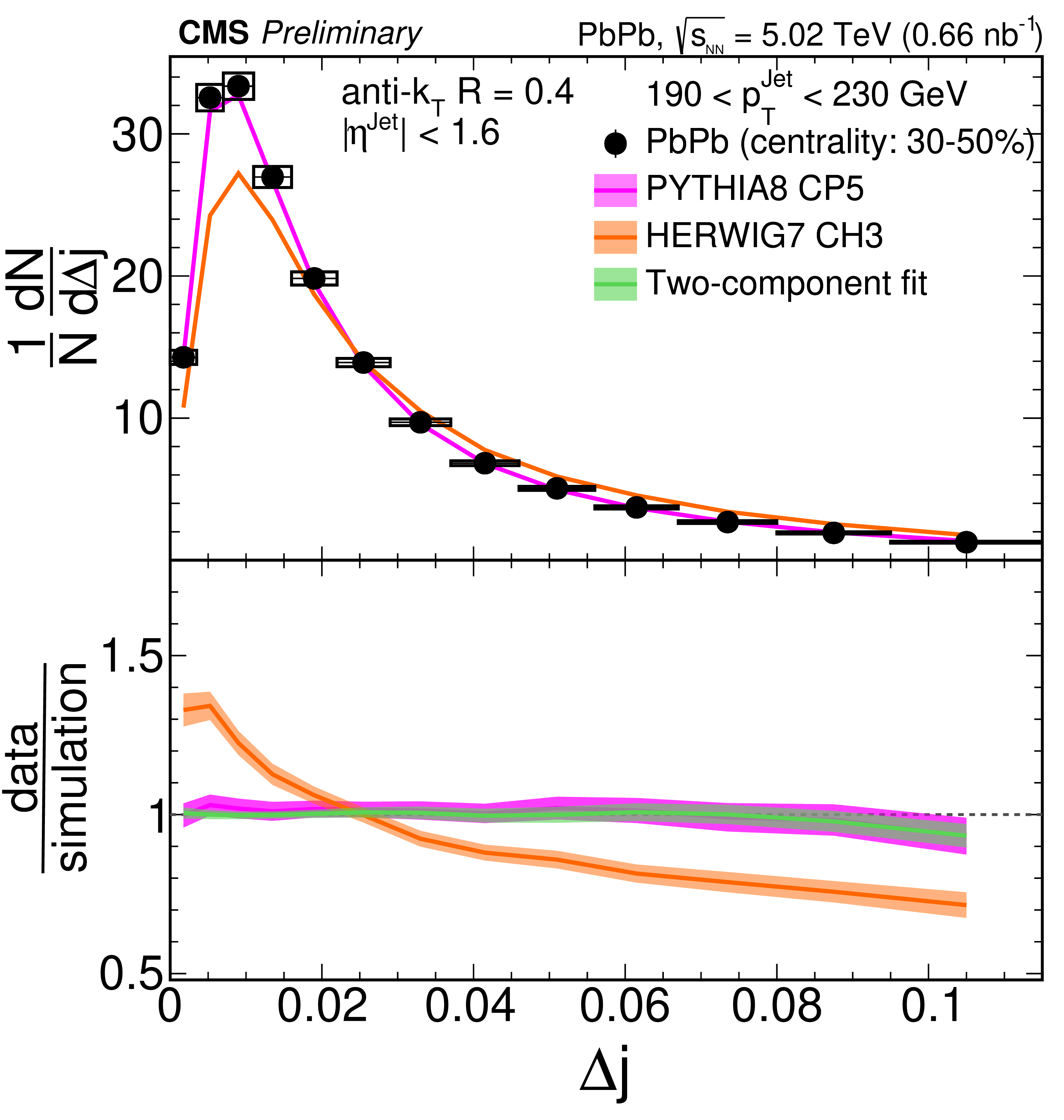
Figure 2:
The unfolded $ \Delta\text{j} $ distributions (black circles) are compared with PYTHIA, HERWIG, and two-component fit simulations, shown as colored bands, across different centrality and $ p_{\mathrm{T}} $ intervals. The medium q/g and JEWEL predictions, represented by hatched lines, are displayed only for the 0-10% centrality range. The ratios between data and simulations are shown in the lower panel. The vertical solid line represents the statistical uncertainty, while the rectangles and shaded areas represent the correlated and uncorrelated systematic uncertainties, respectively. The simulation distributions account for statistical uncertainties only. |
|
png pdf |
Figure 2-a:
The unfolded $ \Delta\text{j} $ distributions (black circles) are compared with PYTHIA, HERWIG, and two-component fit simulations, shown as colored bands, across different centrality and $ p_{\mathrm{T}} $ intervals. The medium q/g and JEWEL predictions, represented by hatched lines, are displayed only for the 0-10% centrality range. The ratios between data and simulations are shown in the lower panel. The vertical solid line represents the statistical uncertainty, while the rectangles and shaded areas represent the correlated and uncorrelated systematic uncertainties, respectively. The simulation distributions account for statistical uncertainties only. |
|
png pdf |
Figure 2-b:
The unfolded $ \Delta\text{j} $ distributions (black circles) are compared with PYTHIA, HERWIG, and two-component fit simulations, shown as colored bands, across different centrality and $ p_{\mathrm{T}} $ intervals. The medium q/g and JEWEL predictions, represented by hatched lines, are displayed only for the 0-10% centrality range. The ratios between data and simulations are shown in the lower panel. The vertical solid line represents the statistical uncertainty, while the rectangles and shaded areas represent the correlated and uncorrelated systematic uncertainties, respectively. The simulation distributions account for statistical uncertainties only. |
|
png pdf |
Figure 2-c:
The unfolded $ \Delta\text{j} $ distributions (black circles) are compared with PYTHIA, HERWIG, and two-component fit simulations, shown as colored bands, across different centrality and $ p_{\mathrm{T}} $ intervals. The medium q/g and JEWEL predictions, represented by hatched lines, are displayed only for the 0-10% centrality range. The ratios between data and simulations are shown in the lower panel. The vertical solid line represents the statistical uncertainty, while the rectangles and shaded areas represent the correlated and uncorrelated systematic uncertainties, respectively. The simulation distributions account for statistical uncertainties only. |
|
png pdf |
Figure 2-d:
The unfolded $ \Delta\text{j} $ distributions (black circles) are compared with PYTHIA, HERWIG, and two-component fit simulations, shown as colored bands, across different centrality and $ p_{\mathrm{T}} $ intervals. The medium q/g and JEWEL predictions, represented by hatched lines, are displayed only for the 0-10% centrality range. The ratios between data and simulations are shown in the lower panel. The vertical solid line represents the statistical uncertainty, while the rectangles and shaded areas represent the correlated and uncorrelated systematic uncertainties, respectively. The simulation distributions account for statistical uncertainties only. |
|
png pdf |
Figure 2-e:
The unfolded $ \Delta\text{j} $ distributions (black circles) are compared with PYTHIA, HERWIG, and two-component fit simulations, shown as colored bands, across different centrality and $ p_{\mathrm{T}} $ intervals. The medium q/g and JEWEL predictions, represented by hatched lines, are displayed only for the 0-10% centrality range. The ratios between data and simulations are shown in the lower panel. The vertical solid line represents the statistical uncertainty, while the rectangles and shaded areas represent the correlated and uncorrelated systematic uncertainties, respectively. The simulation distributions account for statistical uncertainties only. |
|
png pdf |
Figure 2-f:
The unfolded $ \Delta\text{j} $ distributions (black circles) are compared with PYTHIA, HERWIG, and two-component fit simulations, shown as colored bands, across different centrality and $ p_{\mathrm{T}} $ intervals. The medium q/g and JEWEL predictions, represented by hatched lines, are displayed only for the 0-10% centrality range. The ratios between data and simulations are shown in the lower panel. The vertical solid line represents the statistical uncertainty, while the rectangles and shaded areas represent the correlated and uncorrelated systematic uncertainties, respectively. The simulation distributions account for statistical uncertainties only. |
|
png pdf |
Figure 2-g:
The unfolded $ \Delta\text{j} $ distributions (black circles) are compared with PYTHIA, HERWIG, and two-component fit simulations, shown as colored bands, across different centrality and $ p_{\mathrm{T}} $ intervals. The medium q/g and JEWEL predictions, represented by hatched lines, are displayed only for the 0-10% centrality range. The ratios between data and simulations are shown in the lower panel. The vertical solid line represents the statistical uncertainty, while the rectangles and shaded areas represent the correlated and uncorrelated systematic uncertainties, respectively. The simulation distributions account for statistical uncertainties only. |
|
png pdf |
Figure 2-h:
The unfolded $ \Delta\text{j} $ distributions (black circles) are compared with PYTHIA, HERWIG, and two-component fit simulations, shown as colored bands, across different centrality and $ p_{\mathrm{T}} $ intervals. The medium q/g and JEWEL predictions, represented by hatched lines, are displayed only for the 0-10% centrality range. The ratios between data and simulations are shown in the lower panel. The vertical solid line represents the statistical uncertainty, while the rectangles and shaded areas represent the correlated and uncorrelated systematic uncertainties, respectively. The simulation distributions account for statistical uncertainties only. |
|
png pdf |
Figure 2-i:
The unfolded $ \Delta\text{j} $ distributions (black circles) are compared with PYTHIA, HERWIG, and two-component fit simulations, shown as colored bands, across different centrality and $ p_{\mathrm{T}} $ intervals. The medium q/g and JEWEL predictions, represented by hatched lines, are displayed only for the 0-10% centrality range. The ratios between data and simulations are shown in the lower panel. The vertical solid line represents the statistical uncertainty, while the rectangles and shaded areas represent the correlated and uncorrelated systematic uncertainties, respectively. The simulation distributions account for statistical uncertainties only. |
|
png pdf |
Figure 2-j:
The unfolded $ \Delta\text{j} $ distributions (black circles) are compared with PYTHIA, HERWIG, and two-component fit simulations, shown as colored bands, across different centrality and $ p_{\mathrm{T}} $ intervals. The medium q/g and JEWEL predictions, represented by hatched lines, are displayed only for the 0-10% centrality range. The ratios between data and simulations are shown in the lower panel. The vertical solid line represents the statistical uncertainty, while the rectangles and shaded areas represent the correlated and uncorrelated systematic uncertainties, respectively. The simulation distributions account for statistical uncertainties only. |
|
png pdf |
Figure 2-k:
The unfolded $ \Delta\text{j} $ distributions (black circles) are compared with PYTHIA, HERWIG, and two-component fit simulations, shown as colored bands, across different centrality and $ p_{\mathrm{T}} $ intervals. The medium q/g and JEWEL predictions, represented by hatched lines, are displayed only for the 0-10% centrality range. The ratios between data and simulations are shown in the lower panel. The vertical solid line represents the statistical uncertainty, while the rectangles and shaded areas represent the correlated and uncorrelated systematic uncertainties, respectively. The simulation distributions account for statistical uncertainties only. |
|
png pdf |
Figure 2-l:
The unfolded $ \Delta\text{j} $ distributions (black circles) are compared with PYTHIA, HERWIG, and two-component fit simulations, shown as colored bands, across different centrality and $ p_{\mathrm{T}} $ intervals. The medium q/g and JEWEL predictions, represented by hatched lines, are displayed only for the 0-10% centrality range. The ratios between data and simulations are shown in the lower panel. The vertical solid line represents the statistical uncertainty, while the rectangles and shaded areas represent the correlated and uncorrelated systematic uncertainties, respectively. The simulation distributions account for statistical uncertainties only. |
|
png pdf |
Figure 2-m:
The unfolded $ \Delta\text{j} $ distributions (black circles) are compared with PYTHIA, HERWIG, and two-component fit simulations, shown as colored bands, across different centrality and $ p_{\mathrm{T}} $ intervals. The medium q/g and JEWEL predictions, represented by hatched lines, are displayed only for the 0-10% centrality range. The ratios between data and simulations are shown in the lower panel. The vertical solid line represents the statistical uncertainty, while the rectangles and shaded areas represent the correlated and uncorrelated systematic uncertainties, respectively. The simulation distributions account for statistical uncertainties only. |
|
png pdf |
Figure 2-n:
The unfolded $ \Delta\text{j} $ distributions (black circles) are compared with PYTHIA, HERWIG, and two-component fit simulations, shown as colored bands, across different centrality and $ p_{\mathrm{T}} $ intervals. The medium q/g and JEWEL predictions, represented by hatched lines, are displayed only for the 0-10% centrality range. The ratios between data and simulations are shown in the lower panel. The vertical solid line represents the statistical uncertainty, while the rectangles and shaded areas represent the correlated and uncorrelated systematic uncertainties, respectively. The simulation distributions account for statistical uncertainties only. |
|
png pdf |
Figure 2-o:
The unfolded $ \Delta\text{j} $ distributions (black circles) are compared with PYTHIA, HERWIG, and two-component fit simulations, shown as colored bands, across different centrality and $ p_{\mathrm{T}} $ intervals. The medium q/g and JEWEL predictions, represented by hatched lines, are displayed only for the 0-10% centrality range. The ratios between data and simulations are shown in the lower panel. The vertical solid line represents the statistical uncertainty, while the rectangles and shaded areas represent the correlated and uncorrelated systematic uncertainties, respectively. The simulation distributions account for statistical uncertainties only. |
|
png pdf |
Figure 2-p:
The unfolded $ \Delta\text{j} $ distributions (black circles) are compared with PYTHIA, HERWIG, and two-component fit simulations, shown as colored bands, across different centrality and $ p_{\mathrm{T}} $ intervals. The medium q/g and JEWEL predictions, represented by hatched lines, are displayed only for the 0-10% centrality range. The ratios between data and simulations are shown in the lower panel. The vertical solid line represents the statistical uncertainty, while the rectangles and shaded areas represent the correlated and uncorrelated systematic uncertainties, respectively. The simulation distributions account for statistical uncertainties only. |
|
png pdf |
Figure 3:
The predicted gluon fractions in inclusive $ R = $ 0.4 jet sample in vacuum (based on PYTHIA 8 with tune CP5) and in medium (based on Refs. [45,46]). |
| Tables | |
|
png pdf |
Table 1:
Summary of absolute systematic uncertainties, averaged over the $ \Delta\text{j} $ distributions for different centrality intervals. The range of uncertainty values reflects the maximum variation across different $ p_{\mathrm{T}} $ intervals. |
| Summary |
| This note presents the first measurement of angular correlations between two types of jet axes for inclusive jets from lead-lead (PbPb) collision data collected with the CMS detector at the LHC, at a nucleon-nucleon center-of-mass energy of $ \sqrt{\smash[b]{s_{_{\mathrm{NN}}}}} = $ 5.02 TeV. The correlations are measured using anti-$ k_T $ jets with a radius parameter $ R = $ 0.4 and $ |\eta| < $ 1.6 in four centrality intervals (50-80%, 30-50%, 10-30%, and 0-10%) and four $ p_{\mathrm{T}} $ intervals (120 $ < p_{\mathrm{T}} < $ 150 GeV, 150 $ < p_{\mathrm{T}} < $ 190 GeV, 190 $ < p_{\mathrm{T}} < $ 230 GeV, and 230 $ < p_{\mathrm{T}} < $ 300 GeV). Significant modifications of correlations are observed in central compared to peripheral collisions, with a progressive narrowing of the distributions toward more central events. This narrowing behavior could result from medium-induced modifications of the internal jet structure, although the possibility of a selection bias towards a less-quenched sample should be considered. Such a bias could arise from the predicted color-charge dependence of partonic energy loss, which displaces gluon jets further down in energy compared to quark jets. Comparisons with phenomenological and toy Monte Carlo models indicate that the observed narrowing in the fully unfolded distributions from central PbPb collisions may be explained by a suppression of the relative gluon jet abundance, while peripheral data distributions are consistent with no modifications. These new measurements explore jet substructure in previously unexplored kinematic domains and show great promise for providing new insights into the color-charge dependence of energy loss in jet quenching models. |
| References | ||||
| 1 | D. A. Appel | Jets as a probe of quark-gluon plasmas | PR 33 (1986) 717 | |
| 2 | J. Casalderrey-Solana and C. A. Salgado | Introductory lectures on jet quenching in heavy ion collisions | in Theoretical physics. Proceedings, 47th Cracow School, Zakopane, Poland, 2007 link |
0712.3443 |
| 3 | PHENIX Collaboration | Suppressed $ \pi^{0} $ production at large transverse momentum in central AuAu collisions at $ \sqrt{\smash[b]{s_{_{\mathrm{NN}}}}}= $ 200 GeV | PRL 91 (2003) 072301 | |
| 4 | STAR Collaboration | Direct observation of dijets in central Au+Au collisions at $ \sqrt{\smash[b]{s_{_{\mathrm{NN}}}}} = $ 200 GeV | PRL 97 (2006) 162301 | nucl-ex/0604018 |
| 5 | CMS Collaboration | Overview of high-density QCD studies with the CMS experiment at the LHC | CMS-HIN-23-011 2405.10785 |
|
| 6 | ATLAS Collaboration | Observation of a centrality-dependent dijet asymmetry in lead-lead collisions at $ \sqrt{\smash[b]{s_{_{\mathrm{NN}}}}} = $ 2.76 TeV with the ATLAS detector at the LHC | PRL 105 (2010) 252303 | 1011.6182 |
| 7 | CMS Collaboration | Observation and studies of jet quenching in PbPb collisions at $ \sqrt{\smash[b]{s_{_{\mathrm{NN}}}}}= $ 2.76 TeV | Phys. Rev. C 84 (2011) 024906 | CMS-HIN-10-004 1102.1957 |
| 8 | ALICE Collaboration | Measurement of jet suppression in central PbPb collisions at $ \sqrt{\smash[b]{s_{_{\mathrm{NN}}}}}= $ 2.76 TeV | PLB 746 (2015) 1 | 1502.01689 |
| 9 | CMS Collaboration | Girth and groomed radius of jets recoiling against isolated photons in lead-lead and proton-proton collisions at $ \sqrt{\smash[b]{s_{_{\mathrm{NN}}}}} = $ 5.02 TeV | CMS-HIN-23-001 2405.02737 |
|
| 10 | CMS Collaboration | First measurement of jet axis decorrelation with photon-tagged jets in pp and PbPb collisions at 5.02 TeV | CMS Physics Analysis Summary, 2024 CMS-PAS-HIN-21-019 |
CMS-PAS-HIN-21-019 |
| 11 | ALICE Collaboration | Measurement of the angle between jet axes in PbPb collisions at $ \sqrt{\smash[b]{s_{_{\mathrm{NN}}}}} = $ 5.02 TeV | 2303.13347 | |
| 12 | P. Cal, D. Neill, F. Ringer, and W. J. Waalewijn | Measurement of the angle between jet axes in PbPb collisions at $ \sqrt{\smash[b]{s_{_{\mathrm{NN}}}}} = $ 5.02 TeV | JHEP 04 (2020) 211 | 1911.06840 |
| 13 | ALICE Collaboration | Measurement of the angle between jet axes in pp collisions at $ \sqrt{s} = $ 5.02 TeV | JHEP 07 (2022) 201 | 2211.08928 |
| 14 | CMS Collaboration | Performance of the CMS level-1 trigger in proton-proton collisions at $ \sqrt{s} = $ 13 TeV | JINST 15 (2020) P10017 | CMS-TRG-17-001 2006.10165 |
| 15 | CMS Collaboration | The CMS trigger system | JINST 12 (2017) P01020 | CMS-TRG-12-001 1609.02366 |
| 16 | CMS Collaboration | The CMS experiment at the CERN LHC | JINST 3 (2008) S08004 | |
| 17 | CMS Collaboration | Precision luminosity measurement in proton-proton collisions at $ \sqrt{s} = $ 13 TeV in 2015 and 2016 at CMS | EPJC 81 (2021) 800 | CMS-LUM-17-003 2104.01927 |
| 18 | CMS Collaboration | CMS luminosity measurement for the 2017 data-taking period at $ \sqrt{s} = $ 13 TeV | technical report, CERN, Geneva, 2018 CDS |
|
| 19 | CMS Collaboration | CMS luminosity measurement for the 2018 data-taking period at $ \sqrt{s} = $ 13 TeV | technical report, CERN, Geneva, 2019 CDS |
|
| 20 | CMS Collaboration | Charged-particle nuclear modification factors in PbPb and pPb collisions at $ \sqrt{\smash[b]{s_{_{\mathrm{NN}}}}} = $ 5.02 TeV | JHEP 04 (2017) 039 | CMS-HIN-15-015 1611.01664 |
| 21 | CMS Collaboration | Description and performance of track and primary-vertex reconstruction with the CMS tracker | JINST 9 (2014) P10009 | CMS-TRK-11-001 1405.6569 |
| 22 | CMS Collaboration | Transverse-momentum and pseudorapidity distributions of charged hadrons in pp collisions at $ \sqrt{s} = $ 0.9 and 2.36 TeV | JHEP 02 (2010) 041 | CMS-QCD-09-010 1002.0621 |
| 23 | T. Sjöstrand et al. | An introduction to PYTHIA 8.2 | Comput. Phys. Commun. 191 (2015) 159 | 1410.3012 |
| 24 | CMS Collaboration | Extraction and validation of a new set of CMS PYTHIA8 tunes from underlying-event measurements | EPJC 80 (2020) 4 | CMS-GEN-17-001 1903.12179 |
| 25 | NNPDF Collaboration | Parton distributions from high-precision collider data | EPJC 77 (2017) 663 | 1706.00428 |
| 26 | C. Gale, S. Jeon, and B. Schenke | Hydrodynamic modeling of heavy ion collisions | Int. J. Mod. Phys. A 28 (2013) 1340011 | 1301.5893 |
| 27 | GEANT4 Collaboration | GEANT 4---a simulation toolkit | NIM A 506 (2003) 250 | |
| 28 | M. Cacciari, G. P. Salam, and G. Soyez | The anti-$ k_{\mathrm{T}} $ jet clustering algorithm | JHEP 04 (2008) 063 | 0802.1189 |
| 29 | M. Cacciari, G. P. Salam, and G. Soyez | FastJet user manual | EPJC 72 (2012) 1896 | 1111.6097 |
| 30 | CMS Collaboration | Particle-flow reconstruction and global event description with the CMS detector | JINST 12 (2017) P10003 | CMS-PRF-14-001 1706.04965 |
| 31 | P. Berta, M. Spousta, D. W. Miller, and R. Leitner | Particle-level pileup subtraction for jets and jet shapes | JHEP 06 (2014) 092 | 1403.3108 |
| 32 | D. Bertolini, T. Chan, and J. Thaler | Jet observables without jet algorithms | JHEP 04 (2014) 013 | 1310.7584 |
| 33 | A. J. Larkoski, D. Neill, and J. Thaler | Jet shapes with the broadening axis | JHEP 04 (2014) 017 | 1401.2158 |
| 34 | CMS Collaboration | Jet energy scale and resolution in the CMS experiment in pp collisions at 8 TeV | JINST 12 (2017) P02014 | CMS-JME-13-004 1607.03663 |
| 35 | CMS Collaboration | Pileup mitigation at CMS in 13 TeV data | JINST 15 (2020) P09018 | CMS-JME-18-001 2003.00503 |
| 36 | G. D'Agostini | A multidimensional unfolding method based on Bayes' theorem | NIM A 362 (1995) 487 | |
| 37 | W. H. Richardson | Bayesian-based iterative method of image restoration | Opt. Soc. Am. 62 (1972) 55 | |
| 38 | L. B. Lucy | An iterative technique for the rectification of observed distributions | Astron. J. 79 (1974) 745 | |
| 39 | T. Adye | Unfolding algorithms and tests using RooUnfold | in Proceedings of the PHYSTAT 2011 Workshop, CERN, 2011 link |
1105.1160 |
| 40 | S. Gieseke, P. Stephens, and B. Webber | New formalism for QCD parton showers | JHEP 12 (2003) 045 | hep-ph/0310083 |
| 41 | NNPDF Collaboration | Parton distributions for the LHC Run 2 | JHEP 04 (2015) 040 | 1410.8849 |
| 42 | B. R. Webber | A QCD model for jet fragmentation including soft gluon interference | NPB 238 (1984) 492 | |
| 43 | CMS Collaboration | Development and validation of HERWIG 7 tunes from CMS underlying-event measurements | EPJC 81 (2021) 312 | CMS-GEN-19-001 2011.03422 |
| 44 | R. Kunnawalkam Elayavalli and K. C. Zapp | Medium response in JEWEL and its impact on jet shape observables in heavy ion collisions | JHEP 07 (2017) 141 | 1707.01539 |
| 45 | J.-W. Qiu, F. Ringer, N. Sato, and P. Zurita | Factorization of jet cross sections in heavy-ion collisions | PRL 122 (2019) 252301 | 1903.01993 |
| 46 | J.-W. Qiu, F. Ringer, N. Sato, and P. Zurita | QCD factorization and universality of jet cross sections in heavy-ion collisions | Nucl. Phys. A 1005 (2021) 121853 | 2002.01652 |
|
Compact Muon Solenoid LHC, CERN |
|
|
|
|
|
|