| CMS-PAS-HIN-24-024 | ||
| Unveiling the dynamics of long-range correlations in high-multiplicity jets through substructure engineering in pp collisions at CMS | ||
| CMS Collaboration | ||
| 28 April 2025 | ||
| Abstract: Recent CMS data have revealed long-range correlations at high charged-particle multiplicity ($ N_\text{ch}^\mathrm{j} $) within jets produced in proton-proton (pp) collisions, suggesting collective behavior in systems much smaller than those typical of heavy ion collisions. In the polar coordinate system about the reconstructed jet axis, two-particle azimuthal correlations show an unexpected rise in elliptic anisotropy ($ v^{*}_2 $) at large pseudorapidity separations ($ \Delta\eta^{*} > $ 2) as a function of $ N_\text{ch}^\mathrm{j} $, a trend not reproduced by event generators like PYTHIA or SHERPA. In this paper, we present detailed measurements of long-range correlations using LHC Run 2 data at $ \sqrt{s} = $ 13 TeV and compare the results with model predictions. The transverse momentum and $ \Delta\eta^{*} $dependence of $ v^{*}_2 $ is shown across a wide range in $ N_\text{ch}^\mathrm{j} $. Furthermore, the role of jet substructure, particularly in jets exhibiting two-prong features, is examined to unveil a potential connection between the $ v^{*}_2 $ enhancement and the initial-state jet geometry. A surprising increase in $ v^{*}_2 $ emerges exclusively in these two-prong jets at high $ N_\text{ch}^\mathrm{j} $. | ||
| Links: CDS record (PDF) ; CADI line (restricted) ; | ||
| Figures | |
|
png pdf |
Figure 1:
Schematic representation of jets in the ``jet frame,'' a coordinate system where the $ z $-axis is aligned with the jet momentum direction. Left: illustration of a jet exhibiting two sub-jets with unequal momentum magnitudes. Right: illustration of a jet with two sub-jets of approximately equal momentum magnitudes, also referred to as a two-prong jet. |
|
png pdf |
Figure 2:
The 2D two-particle angular correlation functions in the jet frame for trigger particles with 0.7 $ < j_{\mathrm{T}}^{\text{trg}} < $ 1.3 GeV and associated particles with 0.3 $ < j_{\mathrm{T}}^{\text{assoc.}} < $ 3.0 GeV. Results are shown for low-$ N_\text{ch}^\mathrm{j} $ (left) and high-$ N_\text{ch}^\mathrm{j} $ (right) jets. The jets are reconstructed using the anti-$ k_{\mathrm{T}} $ algorithm with $ \mathrm{R}= $ 0.8, requiring $ p_{\mathrm{T}}^{\rm jet} > $ 550 GeV and $ |\eta^{\rm jet}| < $ 1.6. |
|
png pdf |
Figure 2-a:
The 2D two-particle angular correlation functions in the jet frame for trigger particles with 0.7 $ < j_{\mathrm{T}}^{\text{trg}} < $ 1.3 GeV and associated particles with 0.3 $ < j_{\mathrm{T}}^{\text{assoc.}} < $ 3.0 GeV. Results are shown for low-$ N_\text{ch}^\mathrm{j} $ (left) and high-$ N_\text{ch}^\mathrm{j} $ (right) jets. The jets are reconstructed using the anti-$ k_{\mathrm{T}} $ algorithm with $ \mathrm{R}= $ 0.8, requiring $ p_{\mathrm{T}}^{\rm jet} > $ 550 GeV and $ |\eta^{\rm jet}| < $ 1.6. |
|
png pdf |
Figure 2-b:
The 2D two-particle angular correlation functions in the jet frame for trigger particles with 0.7 $ < j_{\mathrm{T}}^{\text{trg}} < $ 1.3 GeV and associated particles with 0.3 $ < j_{\mathrm{T}}^{\text{assoc.}} < $ 3.0 GeV. Results are shown for low-$ N_\text{ch}^\mathrm{j} $ (left) and high-$ N_\text{ch}^\mathrm{j} $ (right) jets. The jets are reconstructed using the anti-$ k_{\mathrm{T}} $ algorithm with $ \mathrm{R}= $ 0.8, requiring $ p_{\mathrm{T}}^{\rm jet} > $ 550 GeV and $ |\eta^{\rm jet}| < $ 1.6. |
|
png pdf |
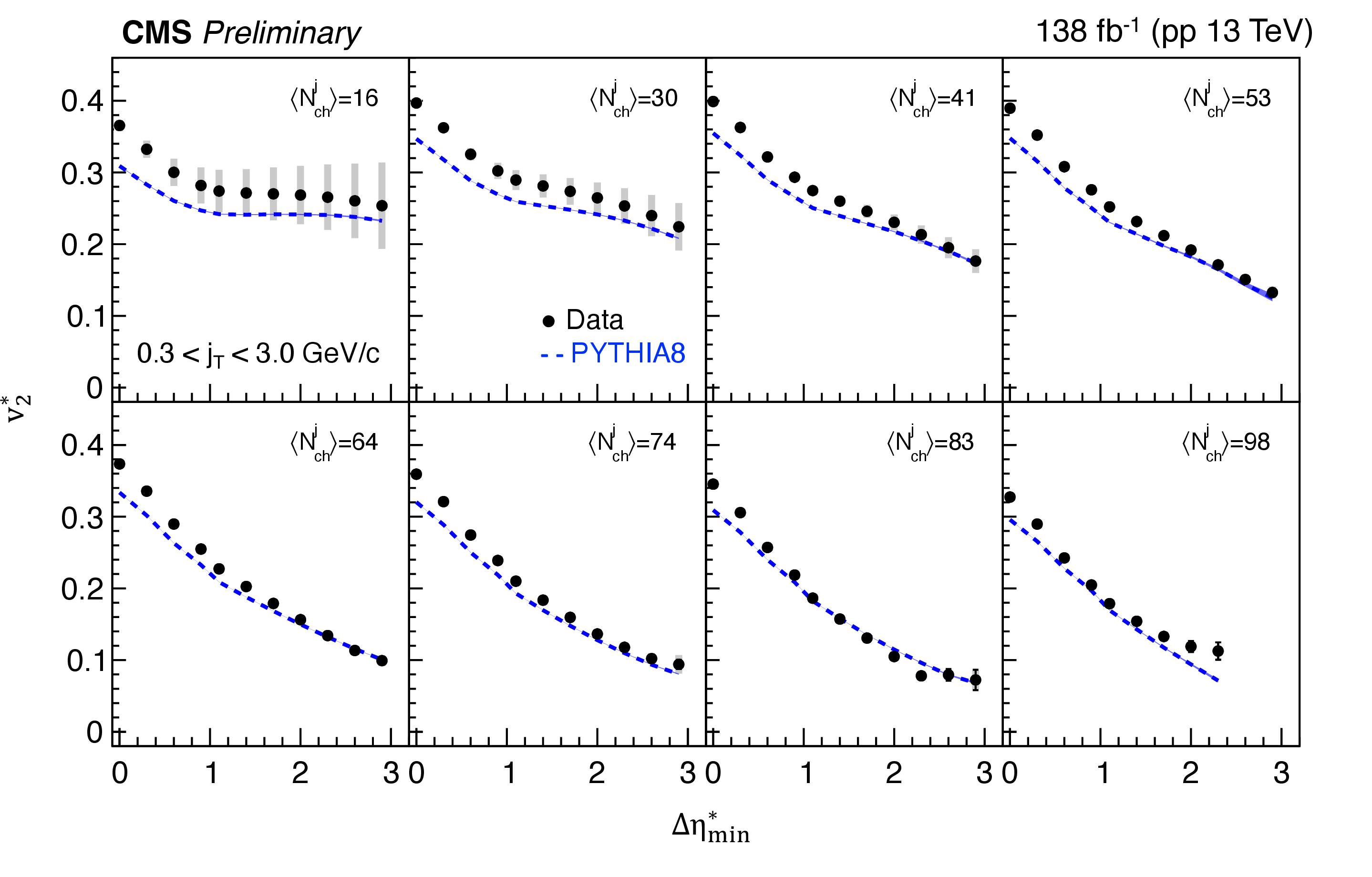
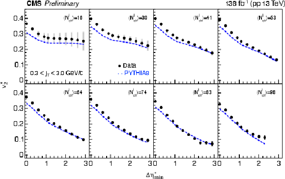
Figure 3:
The elliptic anisotropy coefficient $ v^{\ast}_2 $, obtained from two-particle correlations, as a function of the minimum $ \Delta\eta^{\ast} $ limit for eight $ N_\text{ch}^\mathrm{j} $ intervals. Results correspond to anti-$ k_{\mathrm{T}} \mathrm{R}= $ 0.8 jets with $ p_{\mathrm{T}}^{\rm jet} > $ 550 GeV and $ |\eta^{\rm jet}| < $ 1.6 in pp collisions at 13 TeV. Data points include statistical uncertainties (vertical bars), while systematic uncertainties are represented by shaded boxes. The shaded envelope around the PYTHIA8 model curves indicates statistical uncertainty. |
|
png pdf |
Figure 4:
Average $ j_{\mathrm{T}} $\ of charged particles inside jets as a function of $ N_\text{ch}^\mathrm{j} $\ corrresponding to $ \eta^{\ast} < $ 2 (black) and $ \eta^{\ast} < $ 5 (red), for anti-$ k_{\mathrm{T}} \mathrm{R}= $ 0.8 jets with $ p_{\mathrm{T}}^{\rm jet} > $ 550 GeV and $ |\eta^{\rm jet}| < $ 1.6 in pp collisions at 13 TeV from data and PYTHIA8. Vertical bars on data points indicate statistical uncertainties, while shaded boxes represent systematic uncertainties. |
|
png pdf |
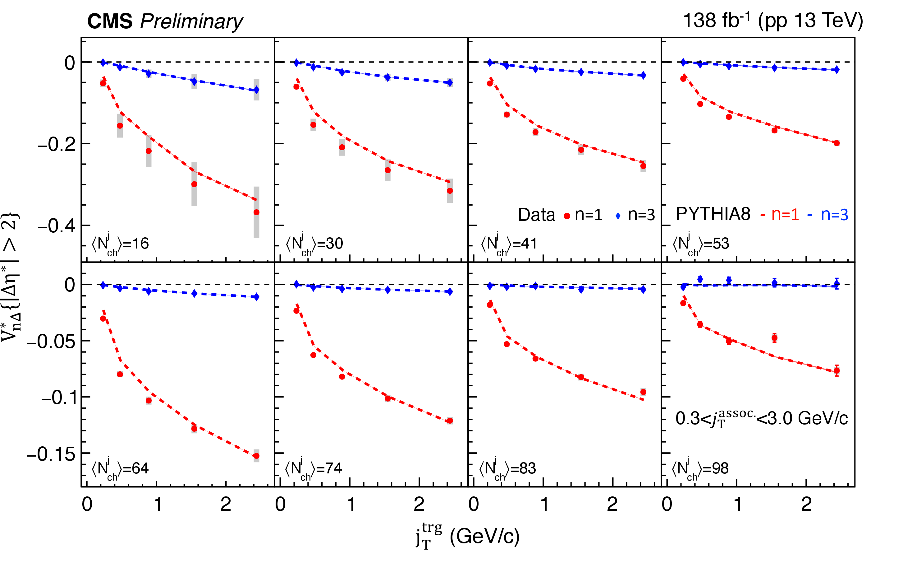
Figure 5:
The first- and-third order two-particle Fourier coefficients, $ V^{\ast}_{\text{1}\Delta} $ (red) and $ V^{\ast}_{\text{3}\Delta} $ (blue), as a function of $ j_{\mathrm{T}}^{\text{trg}} $ for different $ N_\text{ch}^\mathrm{j} $ intervals, with associated particles in the range 0.3 $ < j_{\mathrm{T}}^{\text{assoc.}} < $ 3 GeV. Results are shown for anti-$ k_{\mathrm{T}} \mathrm{R}= $ 0.8 jets with $ p_{\mathrm{T}}^{\rm jet} > $ 550 GeV and $ |\eta^{\rm jet}| < $ 1.6 in pp collisions at $ \sqrt{s} = $ 13 TeV, comparing data with PYTHIA8 predictions. |
|
png pdf |
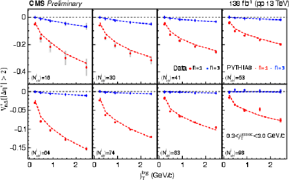
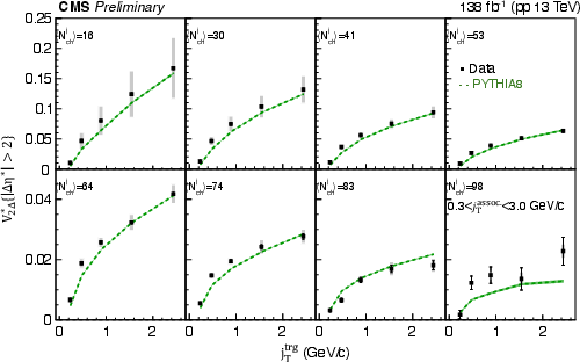
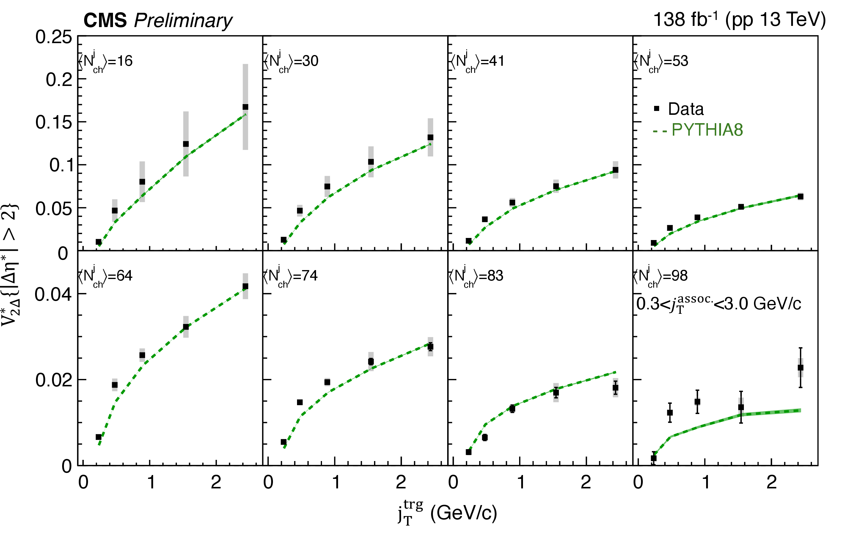
Figure 6:
The second-order two-particle Fourier coefficient, $ V^{\ast}_{\text{2}\Delta} $, as a function of $ j_{\mathrm{T}}^{\text{trg}} $ for different $ N_\text{ch}^\mathrm{j} $ ranges, with associated particles in the range 0.3 $ < j_{\mathrm{T}}^{\text{assoc.}} < $ 3 GeV. Results are shown for anti-$ k_{\mathrm{T}} \mathrm{R}= $ 0.8 jets with $ p_{\mathrm{T}}^{\rm jet} > $ 550 GeV and $ |\eta^{\rm jet}| < $ 1.6 in pp collisions at $ \sqrt{s} = $ 13 TeV, comparing data with PYTHIA8 predictions. |
|
png pdf |
Figure 7:
Average $ z_g\theta_g^\beta $ as a function of $ N_\text{ch}^\mathrm{j} $, for anti-$ k_{\mathrm{T}} \mathrm{R}= $ 0.8 jets with $ p_{\mathrm{T}}^{\rm jet} > $ 550 GeV and $ |\eta^{\rm jet}| < $ 1.6 in pp collisions at 13 TeV from data and PYTHIA8. Shaded boxes represent systematic uncertainties, while statistical uncertainties are smaller than the marker size. |
|
png pdf |
Figure 8:
The 2D two-particle angular correlation functions in the jet frame for charged particles with 0.3 $ < j_{\mathrm{T}} < $ 3.0 GeV. Results are shown for low-$ N_\text{ch}^\mathrm{j} $ (left) and high-$ N_\text{ch}^\mathrm{j} $ (right) jets, with further classification based on the jet substructure variable: $ z_g\theta_g^\beta < $ 0.25 (top) or $ z_g\theta_g^\beta > $ 0.25 (bottom). The jets are reconstructed using the anti-$ k_{\mathrm{T}} $ algorithm with $ \mathrm{R}= $ 0.8, requiring $ p_{\mathrm{T}}^{\rm jet} > $ 550 GeV and $ |\eta^{\rm jet}| < $ 1.6. |
|
png pdf |
Figure 8-a:
The 2D two-particle angular correlation functions in the jet frame for charged particles with 0.3 $ < j_{\mathrm{T}} < $ 3.0 GeV. Results are shown for low-$ N_\text{ch}^\mathrm{j} $ (left) and high-$ N_\text{ch}^\mathrm{j} $ (right) jets, with further classification based on the jet substructure variable: $ z_g\theta_g^\beta < $ 0.25 (top) or $ z_g\theta_g^\beta > $ 0.25 (bottom). The jets are reconstructed using the anti-$ k_{\mathrm{T}} $ algorithm with $ \mathrm{R}= $ 0.8, requiring $ p_{\mathrm{T}}^{\rm jet} > $ 550 GeV and $ |\eta^{\rm jet}| < $ 1.6. |
|
png pdf |
Figure 8-b:
The 2D two-particle angular correlation functions in the jet frame for charged particles with 0.3 $ < j_{\mathrm{T}} < $ 3.0 GeV. Results are shown for low-$ N_\text{ch}^\mathrm{j} $ (left) and high-$ N_\text{ch}^\mathrm{j} $ (right) jets, with further classification based on the jet substructure variable: $ z_g\theta_g^\beta < $ 0.25 (top) or $ z_g\theta_g^\beta > $ 0.25 (bottom). The jets are reconstructed using the anti-$ k_{\mathrm{T}} $ algorithm with $ \mathrm{R}= $ 0.8, requiring $ p_{\mathrm{T}}^{\rm jet} > $ 550 GeV and $ |\eta^{\rm jet}| < $ 1.6. |
|
png pdf |
Figure 8-c:
The 2D two-particle angular correlation functions in the jet frame for charged particles with 0.3 $ < j_{\mathrm{T}} < $ 3.0 GeV. Results are shown for low-$ N_\text{ch}^\mathrm{j} $ (left) and high-$ N_\text{ch}^\mathrm{j} $ (right) jets, with further classification based on the jet substructure variable: $ z_g\theta_g^\beta < $ 0.25 (top) or $ z_g\theta_g^\beta > $ 0.25 (bottom). The jets are reconstructed using the anti-$ k_{\mathrm{T}} $ algorithm with $ \mathrm{R}= $ 0.8, requiring $ p_{\mathrm{T}}^{\rm jet} > $ 550 GeV and $ |\eta^{\rm jet}| < $ 1.6. |
|
png pdf |
Figure 8-d:
The 2D two-particle angular correlation functions in the jet frame for charged particles with 0.3 $ < j_{\mathrm{T}} < $ 3.0 GeV. Results are shown for low-$ N_\text{ch}^\mathrm{j} $ (left) and high-$ N_\text{ch}^\mathrm{j} $ (right) jets, with further classification based on the jet substructure variable: $ z_g\theta_g^\beta < $ 0.25 (top) or $ z_g\theta_g^\beta > $ 0.25 (bottom). The jets are reconstructed using the anti-$ k_{\mathrm{T}} $ algorithm with $ \mathrm{R}= $ 0.8, requiring $ p_{\mathrm{T}}^{\rm jet} > $ 550 GeV and $ |\eta^{\rm jet}| < $ 1.6. |
|
png pdf |
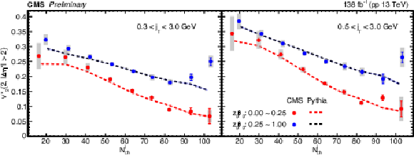
Figure 9:
The elliptic anisotropy $ v^{\ast}_2 $, obtained from two-particle correlations, as a function of $ N_\text{ch}^\mathrm{j} $ for two jet substructure classes, $ z_g\theta_g^\beta < $ 0.25 (red) and $ z_g\theta_g^\beta > $ 0.25 (blue). Results are presented for two transverse momentum ranges, 0.3 $ < j_{\mathrm{T}} < $ 3 GeV (left) and 0.5 $ < j_{\mathrm{T}} < $ 3 GeV (right), using anti-$ k_{\mathrm{T}} $ jets with $ \mathrm{R}= $ 0.8, $ p_{\mathrm{T}}^{\rm jet} > $ 550 GeV, and $ |\eta^{\rm jet}| < $ 1.6 in pp collisions at $ \sqrt{s} = $ 13 TeV. The data points include statistical uncertainties (vertical bars), while systematic uncertainties are indicated by shaded boxes. The shaded envelopes around the PYTHIA8 curves represent statistical uncertainties. |
| Summary |
| In this paper, we present a systematic investigation of the long-range azimuthal anisotropy observed in high-multiplicity jets produced in proton-proton collisions using data collected by the CMS experiment at $ \sqrt{s}= $ 13 TeV. The second-order Fourier coefficient ($ v^{\ast}_2 $) is studied in a jet-centric reference frame, revealing a clear dependence on both the jet multiplicity and transverse momentum of constituent particles. The most pronounced anisotropy signal is found for particles with higher transverse momentum. Additionally, the $ v^{\ast}_2 $ dependence on the pseudorapidity separation ($ \Delta\eta^{\ast} $) exhibits contrasting behavior for different jet multiplicities: for low-multiplicity jets, $ v^{\ast}_2 $ shows a monotonic decrease with increasing $ |\Delta\eta^{\ast}| $, whereas for high-multiplicity jets, it appears to saturate and remains approximately constant for $ |\Delta\eta^{\ast}| > $ 2. The predictions from PYTHIA8 Monte-Carlo simulations are generally in agreement with the measured trends in the low-multiplicity regime. For high-multiplicity jets, a significant deviation from PYTHIA8 predictions is observed, hinting at the presence of a novel underlying mechanism. Further investigation into the jet substructure reveals that $ v^{\ast}_2 $ is more pronounced in jets exhibiting a two-prong structure, indicating a potential connection between the jet shape and the emergence of collective effects. The two-prong topology is consistent with hard splitting of the initial-state parton, leading to a wider energy distribution within the jet. Thus, the substructure-dependent $ v^{\ast}_2 $ enhancement may suggest that the long-range correlations could originate from intrinsic partonic dynamics together with final-state interactions. While PYTHIA8 serves as a valuable baseline model, its treatment of higher order perturbative quantum chromodynamics processes, particularly those involving multijet production, may introduce uncertainties in its comparison with the observed high-multiplicity jet phenomena. This will be further explored in future works to establish possible new insights into the interplay of jet fragmentation, partonic geometry, and potential medium-like effects. |
| References | ||||
| 1 | STAR Collaboration | Distributions of charged hadrons associated with high transverse momentum particles in pp and AuAu collisions at $ \sqrt{\smash[b]{s_{_{\mathrm{NN}}}}} = $ 200 GeV | PRL 95 (2005) 152301 | nucl-ex/0501016 |
| 2 | PHOBOS Collaboration | System size dependence of cluster properties from two-particle angular correlations in CuCu and AuAu collisions at $ \sqrt{\smash[b]{s_{_{\mathrm{NN}}}}} = $ 200 GeV | Phys. Rev. C 81 (2010) 024904 | 0812.1172 |
| 3 | STAR Collaboration | Long range rapidity correlations and jet production in high energy nuclear collisions | Phys. Rev. C 80 (2009) 064912 | 0909.0191 |
| 4 | PHOBOS Collaboration | High transverse momentum triggered correlations over a large pseudorapidity acceptance in AuAu collisions at $ \sqrt{\smash[b]{s_{_{\mathrm{NN}}}}}= $ 200 GeV | PRL 104 (2010) 062301 | 0903.2811 |
| 5 | B. Muller, J. Schukraft, and B. Wyslouch | First results from Pb+Pb collisions at the LHC | Ann. Rev. Nucl. Part. Sci. 62 (2012) 361 | 1202.3233 |
| 6 | W. Busza, K. Rajagopal, and W. van der Schee | Heavy ion collisions: the big picture, and the big questions | Ann. Rev. Nucl. Part. Sci. 68 (2018) 339 | 1802.04801 |
| 7 | CMS Collaboration | Extracting the speed of sound in the strongly interacting matter created in ultrarelativistic lead-lead collisions at the LHC | CMS-HIN-23-003 2401.06896 |
|
| 8 | CMS Collaboration | Long-range and short-range dihadron angular correlations in central PbPb collisions at a nucleon-nucleon center of mass energy of 2.76 TeV | JHEP 07 (2011) 076 | CMS-HIN-11-001 1105.2438 |
| 9 | CMS Collaboration | Centrality dependence of dihadron correlations and azimuthal anisotropy harmonics in PbPb collisions at $ \sqrt{\smash[b]{s_{_{\mathrm{NN}}}}} = $ 2.76 TeV | EPJC 72 (2012) 2012 | CMS-HIN-11-006 1201.3158 |
| 10 | ALICE Collaboration | Elliptic flow of charged particles in PbPb collisions at 2.76 TeV | PRL 105 (2010) 252302 | 1011.3914 |
| 11 | ATLAS Collaboration | Measurement of the azimuthal anisotropy for charged particle production in $ \sqrt{\smash[b]{s_{_{\mathrm{NN}}}}} = $ 2.76 TeV lead-lead collisions with the ATLAS detector | Phys. Rev. C 86 (2012) 014907 | 1203.3087 |
| 12 | CMS Collaboration | Studies of azimuthal dihadron correlations in ultra-central PbPb collisions at $ \sqrt{\smash[b]{s_{_{\mathrm{NN}}}}} = $ 2.76 TeV | JHEP 02 (2014) 088 | CMS-HIN-12-011 1312.1845 |
| 13 | K. Dusling, W. Li, and B. Schenke | Novel collective phenomena in high-energy proton-proton and proton-nucleus collisions | Int. J. Mod. Phys. E 25 (2016) 1630002 | 1509.07939 |
| 14 | CMS Collaboration | Observation of long-range near-side angular correlations in proton-proton collisions at the LHC | JHEP 09 (2010) 091 | CMS-QCD-10-002 1009.4122 |
| 15 | ATLAS Collaboration | Observation of long-range elliptic azimuthal anisotropies in $ \sqrt{\smash[b]{s_{_{\mathrm{NN}}}}}= $ 13 and 2.76 TeV pp collisions with the ATLAS detector | PRL 116 (2016) 172301 | 1509.04776 |
| 16 | CMS Collaboration | Measurement of long-range near-side two-particle angular correlations in pp collisions at $ \sqrt{\smash[b]{s_{_{\mathrm{NN}}}}} = $ 13 TeV | PRL 116 (2016) 172302 | CMS-FSQ-15-002 1510.03068 |
| 17 | CMS Collaboration | Evidence for collectivity in pp collisions at the LHC | PLB 765 (2017) 193 | CMS-HIN-16-010 1606.06198 |
| 18 | CMS Collaboration | Observation of long-range near-side angular correlations in proton-lead collisions at the LHC | PLB 718 (2013) 795 | CMS-HIN-12-015 1210.5482 |
| 19 | ALICE Collaboration | Long-range angular correlations on the near and away side in pPb collisions at $ \sqrt{\smash[b]{s_{_{\mathrm{NN}}}}}= $ 5.02 TeV | PLB 719 (2013) 29 | 1212.2001 |
| 20 | ATLAS Collaboration | Observation of associated near-side and away-side long-range correlations in $ \sqrt{\smash[b]{s_{_{\mathrm{NN}}}}}= $ 5.02 TeV proton-lead collisions with the ATLAS detector | PRL 110 (2013) 182302 | 1212.5198 |
| 21 | LHCb Collaboration | Measurements of long-range near-side angular correlations in $ \sqrt{\smash[b]{s_{_{\mathrm{NN}}}}}= $ 5 TeV proton-lead collisions in the forward region | PLB 762 (2016) 473 | 1512.00439 |
| 22 | ALICE Collaboration | Long-range angular correlations of $ \pi $, K and p in p--Pb collisions at $ \sqrt{\smash[b]{s_{_{\mathrm{NN}}}}}= $ 5.02 TeV | PLB 726 (2013) 164 | 1307.3237 |
| 23 | CMS Collaboration | Multiplicity and transverse momentum dependence of two- and four-particle correlations in pPb and PbPb collisions | PLB 724 (2013) 213 | CMS-HIN-13-002 1305.0609 |
| 24 | CMS Collaboration | Long-range two-particle correlations of strange hadrons with charged particles in pPb and PbPb collisions at LHC energies | PLB 742 (2015) 200 | CMS-HIN-14-002 1409.3392 |
| 25 | CMS Collaboration | Evidence for collective multi-particle correlations in pPb collisions | PRL 115 (2015) 012301 | CMS-HIN-14-006 1502.05382 |
| 26 | ATLAS Collaboration | Measurement of multi-particle azimuthal correlations in pp, $ \mathrm{p} $Pb and low-multiplicity PbPb collisions with the ATLAS detector | EPJC 77 (2017) 428 | 1705.04176 |
| 27 | ATLAS Collaboration | Measurement of long-range multiparticle azimuthal correlations with the subevent cumulant method in pp and $ \mathrm{p} $Pb collisions with the ATLAS detector at the CERN Large Hadron Collider | Phys. Rev. C 97 (2018) 024904 | 1708.03559 |
| 28 | PHENIX Collaboration | Creation of quark-gluon plasma droplets with three distinct geometries | Nature Phys. 15 (2019) 214 | 1805.02973 |
| 29 | STAR Collaboration | Long-range pseudorapidity dihadron correlations in $ d $Au collisions at $ \sqrt{\smash[b]{s_{_{\mathrm{NN}}}}}= $ 200 GeV | PLB 747 (2015) 265 | 1502.07652 |
| 30 | PHENIX Collaboration | Measurements of elliptic and triangular flow in high-multiplicity $ ^{3} $HeAu collisions at $ \sqrt{\smash[b]{s_{_{\mathrm{NN}}}}}= $ 200 GeV | PRL 115 (2015) 142301 | 1507.06273 |
| 31 | PHENIX Collaboration | Measurements of multiparticle correlations in $ d $Au collisions at 200, 62.4, 39, and 19.6 GeV and $ \mathrm{p} $Au collisions at 200 GeV and implications for collective behavior | PRL 120 (2018) 062302 | 1707.06108 |
| 32 | A. Badea et al. | Measurements of two-particle correlations in $ \mathrm{e}^+\mathrm{e}^- $ collisions at 91 GeV with ALEPH archived data | PRL 123 (2019) 212002 | 1906.00489 |
| 33 | Belle Collaboration | Measurement of two-particle correlations of hadrons in $ \mathrm{e}^+\mathrm{e}^- $ collisions at Belle | PRL 128 (2022) 142005 | 2201.01694 |
| 34 | Y.-C. Chen et al. | Long-range near-side correlation in e+e\ensuremath- collisions at 183-209 GeV with ALEPH archived data | PLB 856 (2024) 138957 | 2312.05084 |
| 35 | ZEUS Collaboration | Two-particle azimuthal correlations as a probe of collective behaviour in deep inelastic $ \mathrm{e}\mathrm{p} $ scattering at HERA | JHEP 04 (2020) 070 | 1912.07431 |
| 36 | ZEUS Collaboration | Azimuthal correlations in photoproduction and deep inelastic $ ep $ scattering at HERA | JHEP 12 (2021) 102 | 2106.12377 |
| 37 | CMS Collaboration | Two-particle azimuthal correlations in $ \gamma\mathrm{p} $ interactions using pPb collisions at $ \sqrt{\smash[b]{s_{_{\mathrm{NN}}}}}= $ 8.16 TeV | PLB 844 (2023) 137905 | CMS-HIN-18-008 2204.13486 |
| 38 | ATLAS Collaboration | Two-particle azimuthal correlations in photonuclear ultraperipheral PbPb collisions at 5.02 TeV with ATLAS | Phys. Rev. C 104 (2021) 014903 | 2101.10771 |
| 39 | A. Baty, P. Gardner, and W. Li | Novel observables for exploring QCD collective evolution and quantum entanglement within individual jets | Phys. Rev. C 107 (2023) 064908 | 2104.11735 |
| 40 | CMS Collaboration | Observation of enhanced long-range elliptic anisotropies inside high-multiplicity jets in pp collisions at $ \sqrt{s}= $ 13 TeV | PRL 133 (2024) 142301 | CMS-HIN-21-013 2312.17103 |
| 41 | W. Zhao, Z.-W. Lin, and X.-N. Wang | Collectivity inside high-multiplicity jets in high-energy proton-proton collisions | 2401.13137 | |
| 42 | CMS Collaboration | HEPData record for this analysis | link | |
| 43 | CMS Collaboration | The CMS experiment at the CERN LHC | JINST 3 (2008) S08004 | |
| 44 | CMS Collaboration | Performance of the CMS Level-1 trigger in proton-proton collisions at $ \sqrt{s} = $ 13 TeV | JINST 15 (2020) P10017 | CMS-TRG-17-001 2006.10165 |
| 45 | CMS Collaboration | The CMS trigger system | JINST 12 (2017) P01020 | CMS-TRG-12-001 1609.02366 |
| 46 | CMS Collaboration | Electron and photon reconstruction and identification with the CMS experiment at the CERN LHC | JINST 16 (2021) P05014 | CMS-EGM-17-001 2012.06888 |
| 47 | CMS Collaboration | Performance of the CMS muon detector and muon reconstruction with proton-proton collisions at $ \sqrt{s}= $ 13 TeV | JINST 13 (2018) P06015 | CMS-MUO-16-001 1804.04528 |
| 48 | CMS Collaboration | Description and performance of track and primary-vertex reconstruction with the CMS tracker | JINST 9 (2014) P10009 | CMS-TRK-11-001 1405.6569 |
| 49 | CMS Collaboration | Particle-flow reconstruction and global event description with the CMS detector | JINST 12 (2017) P10003 | CMS-PRF-14-001 1706.04965 |
| 50 | CMS Collaboration | Performance of reconstruction and identification of $ \tau $ leptons decaying to hadrons and $ \nu_\tau $ in pp collisions at $ \sqrt{s}= $ 13 TeV | JINST 13 (2018) P10005 | CMS-TAU-16-003 1809.02816 |
| 51 | CMS Collaboration | Jet energy scale and resolution in the CMS experiment in pp collisions at 8 TeV | JINST 12 (2017) P02014 | CMS-JME-13-004 1607.03663 |
| 52 | CMS Collaboration | Performance of missing transverse momentum reconstruction in proton-proton collisions at $ \sqrt{s} = $ 13 TeV using the CMS detector | JINST 14 (2019) P07004 | CMS-JME-17-001 1903.06078 |
| 53 | CMS Collaboration | Charged-particle nuclear modification factors in PbPb and pPb collisions at $ \sqrt{\smash[b]{s_{_{\mathrm{NN}}}}}= $ 5.02 TeV | JHEP 04 (2017) 039 | CMS-HIN-15-015 1611.01664 |
| 54 | M. Cacciari, G. P. Salam, and G. Soyez | The anti-$ k_{\mathrm{T}} $ jet clustering algorithm | JHEP 04 (2008) 063 | 0802.1189 |
| 55 | M. Cacciari, G. P. Salam, and G. Soyez | FastJet user manual | EPJC 72 (2012) 1896 | 1111.6097 |
| 56 | CMS Collaboration | Pileup mitigation at CMS in 13 TeV data | JINST 15 (2020) P09018 | CMS-JME-18-001 2003.00503 |
| 57 | D. Bertolini, P. Harris, M. Low, and N. Tran | Pileup per particle identification | JHEP 10 (2014) 059 | 1407.6013 |
| 58 | A. J. Larkoski, S. Marzani, G. Soyez, and J. Thaler | Soft Drop | JHEP 05 (2014) 146 | 1402.2657 |
| 59 | Y. L. Dokshitzer, G. D. Leder, S. Moretti, and B. R. Webber | Better jet clustering algorithms | JHEP 08 (1997) 001 | hep-ph/9707323 |
|
Compact Muon Solenoid LHC, CERN |
|
|
|
|
|
|