| CMS-PAS-BPH-24-003 | ||
| Observation of a family of all-charm tetraquark candidates at the LHC | ||
| CMS Collaboration | ||
| 7 April 2025 | ||
| Abstract: Three structures, $ \mathrm{X(6600)} $, $ \mathrm{X(6900)} $, and $ \mathrm{X(7100)} $, have been reported in the $ \mathrm{J}/\psi \, \mathrm{J}/\psi $ channel. These are prime candidates for all-charm tetraquarks. We extend our earlier study of these structures in proton-proton collisions using the CMS detector at the LHC, with 3.6 times more $ \mathrm{J}/\psi \, \mathrm{J}/\psi $ pairs (315 fb$ ^{-1} $ of total integrated luminosity). The statistical uncertainties on the masses and widths are reduced by about a factor of three, and the systematic uncertainties are also substantially reduced. For the first time all three structures are established with a significance well above five standard deviations (5$ \sigma $). Good descriptions of the $ \mathrm{J}/\psi \, \mathrm{J}/\psi $ spectrum were based on quantum interference among structures, which is now validated with significances of more than 5$ \sigma $ relative to the fit with no interference---implying all structures have the same $ J^{PC} $ quantum numbers, and suggests a family of states. | ||
| Links: CDS record (PDF) ; CADI line (restricted) ; | ||
| Figures | |
|
png pdf |
Figure 1:
Idealized models of potential quark configurations for all-charm mesons. Far left: a conventional charmonium state, which is not a viable option for the very massive $ \mathrm{J}/\psi\mathrm{J}/\psi $ states. Center: various possibilities for tetraquarks---weakly bound molecule, $ \mathrm{c}\mathrm{c}-\overline{\mathrm{c}}\overline{\mathrm{c}} $ diquark, and a compact tetraquark with amorphous substructure, and hybrid state of $ \mathrm{c}\mathrm{c}\overline{\mathrm{c}}\overline{\mathrm{c}} $ plus valence gluon (g). Far right: one example of the class of non-resonant threshold effects, a triangle singularity, where, in this case, the scattering of $ \mathrm{J}/\psi $ and $\psi(3770)$ mesons in production is enhanced through a triangular loop exchanging $ \mathrm{D} $ mesons (the $\psi(3770)$ is an excited state of the $ \mathrm{J}/\psi $), and this could potentially lead to a peak-like structure in the $ \mathrm{J}/\psi\mathrm{J}/\psi $ mass around 6900 MeV [15]. |
|
png pdf |
Figure 2:
The two dimensional distribution of the double-dimuon masses for the final selection of $ \mathrm{J}/\psi\mathrm{J}/\psi $ events in the 6--15 GeV four-muon mass range for the Run 2+3 data. The two $ \mu^{+}\mu^{-} $ pairs are ordered by their total transverse momentum ($ p_T $). |
|
png pdf |
Figure 3:
The selected $ \mathrm{J}/\psi\mathrm{J}/\psi $ invariant-mass spectrum up to 9 GeV. The data is fit (up to 15 GeV, see text) with the 3-way interference model, consisting of three signal functions ($ \mathrm{BW}_1 $, $ \mathrm{BW}_2 $, and $ \mathrm{BW}_3 $), a background threshold $ \mathrm{BW}_0 $, and background components (NRSPS, DPS, combinatoric, and $ \mathrm{X(6900)}{\to} \mathrm{J}/\psi\psi(2\text{S})$ feeddown). The cumulative squared amplitude of the interfering signals is also shown. The lower panel shows the deviations of the data points from the fitted curve in standard deviations. |
|
png pdf |
Figure 4:
The $ \mathrm{J}/\psi\mathrm{J}/\psi $ invariant mass spectrum for the no-interference in the 6--9 GeV four-muon mass range (upper) and the interference fit for the full fit range (lower) (see text in the main paper for model details). The curve labeled "Interfering BWs" represents the total contribution from all interference amplitudes and their cross terms. The lower panels of the plots display the number of standard deviations (considering only statistical uncertainties) by which the binned data deviate from the fit. |
|
png pdf |
Figure 4-a:
The $ \mathrm{J}/\psi\mathrm{J}/\psi $ invariant mass spectrum for the no-interference in the 6--9 GeV four-muon mass range (upper) and the interference fit for the full fit range (lower) (see text in the main paper for model details). The curve labeled "Interfering BWs" represents the total contribution from all interference amplitudes and their cross terms. The lower panels of the plots display the number of standard deviations (considering only statistical uncertainties) by which the binned data deviate from the fit. |
|
png pdf |
Figure 4-b:
The $ \mathrm{J}/\psi\mathrm{J}/\psi $ invariant mass spectrum for the no-interference in the 6--9 GeV four-muon mass range (upper) and the interference fit for the full fit range (lower) (see text in the main paper for model details). The curve labeled "Interfering BWs" represents the total contribution from all interference amplitudes and their cross terms. The lower panels of the plots display the number of standard deviations (considering only statistical uncertainties) by which the binned data deviate from the fit. |
|
png pdf |
Figure 5:
The $ \mathrm{X} $ widths as a function of radial index for both interference and no-interference fits. An exponential function is fit to the points. Uncertainties are only statistical. |
|
png pdf |
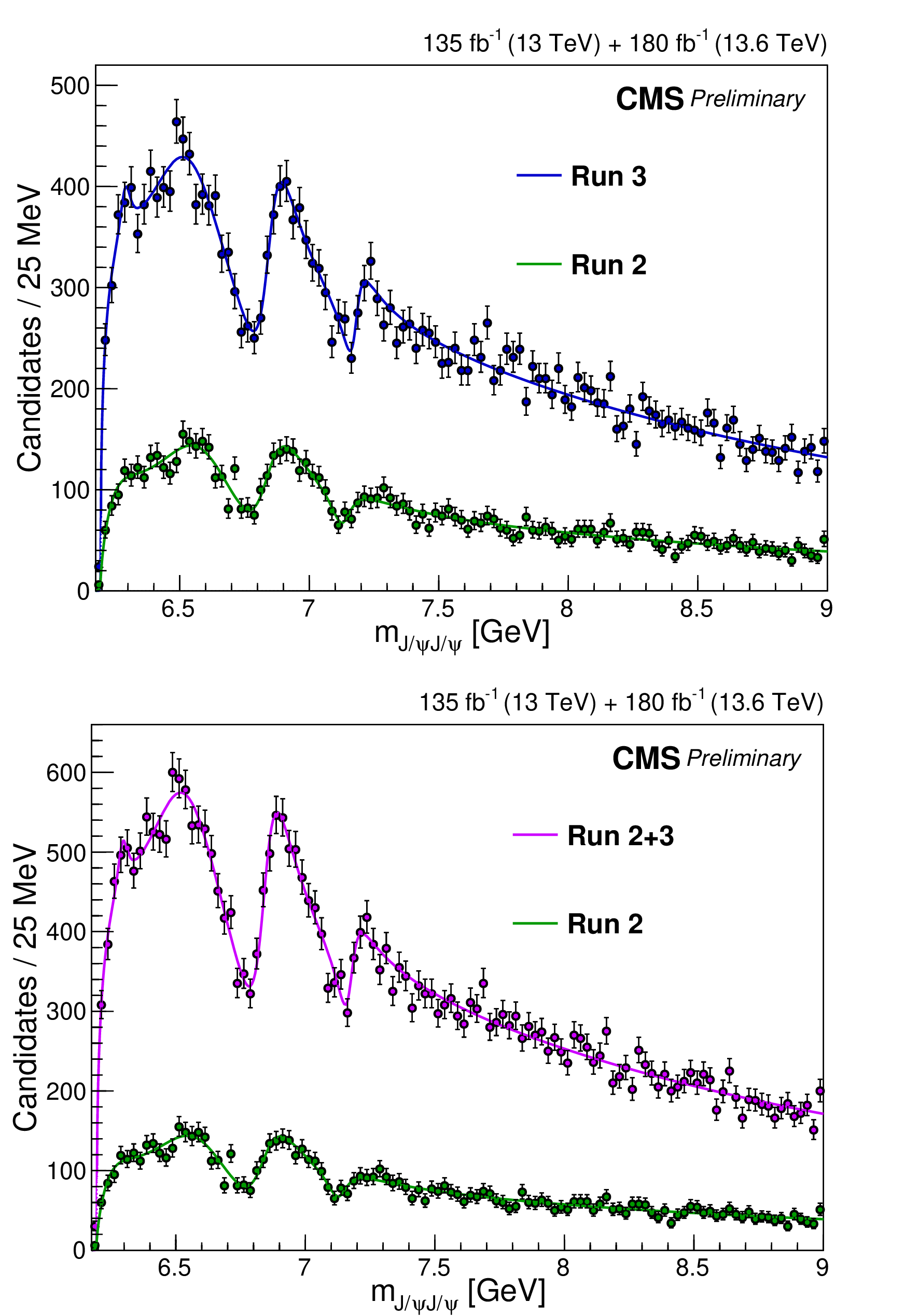
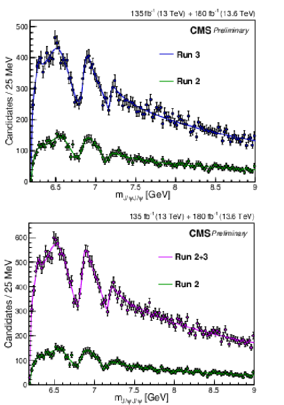
Figure 6:
The $ \mathrm{J}/\psi\mathrm{J}/\psi $ invariant mass spectrum for the individual Run 2 and Run 3 datasets (upper), and for Run 2 compared with the combined Run 2$ + $3 dataset (lower). |
|
png pdf |
Figure 6-a:
The $ \mathrm{J}/\psi\mathrm{J}/\psi $ invariant mass spectrum for the individual Run 2 and Run 3 datasets (upper), and for Run 2 compared with the combined Run 2$ + $3 dataset (lower). |
|
png pdf |
Figure 6-b:
The $ \mathrm{J}/\psi\mathrm{J}/\psi $ invariant mass spectrum for the individual Run 2 and Run 3 datasets (upper), and for Run 2 compared with the combined Run 2$ + $3 dataset (lower). |
|
png pdf |
Figure 7:
The $ \mathrm{J}/\psi\mathrm{J}/\psi $ invariant mass spectrum for the interference fit for the 6--9 GeV range (upper) and the full fit range (lower) with the Run 3 data. The curve labeled "Interfering BWs" represents the total contribution from all interference amplitudes and their cross terms. The lower panels of the plots display the number of standard deviations (considering only statistical uncertainties) by which the binned data deviate from the fit. |
|
png pdf |
Figure 7-a:
The $ \mathrm{J}/\psi\mathrm{J}/\psi $ invariant mass spectrum for the interference fit for the 6--9 GeV range (upper) and the full fit range (lower) with the Run 3 data. The curve labeled "Interfering BWs" represents the total contribution from all interference amplitudes and their cross terms. The lower panels of the plots display the number of standard deviations (considering only statistical uncertainties) by which the binned data deviate from the fit. |
|
png pdf |
Figure 7-b:
The $ \mathrm{J}/\psi\mathrm{J}/\psi $ invariant mass spectrum for the interference fit for the 6--9 GeV range (upper) and the full fit range (lower) with the Run 3 data. The curve labeled "Interfering BWs" represents the total contribution from all interference amplitudes and their cross terms. The lower panels of the plots display the number of standard deviations (considering only statistical uncertainties) by which the binned data deviate from the fit. |
| Tables | |
|
png pdf |
Table 1:
Fit results of the $ \mathrm{J}/\psi \, \mathrm{J}/\psi $ mass spectra for various data sets with interference in MeV (uncertainties are statistical followed by systematic). The ``Run 2'' result is a copy of Ref. [12] for comparison. |
|
png pdf |
Table 2:
The dominant contributions to the systematic uncertainties, in MeV, for the triplet for our main fit. |
|
png pdf |
Table 3:
Fit results of the $ \mathrm{J}/\psi \, \mathrm{J}/\psi $ mass spectra for various data sets in MeV (dual uncertainties are statistical followed by systematic, single uncertainties are statistical only). Our baseline fit is Run 2$ + $Run 3 data with interference (reproduced from main text). |
| Summary |
| We have extended our study of the $ \mathrm{J}/\psi\mathrm{J}/\psi $ mass spectrum with 3.6 times more $ \mathrm{J}/\psi\mathrm{J}/\psi $ pairs. The spectrum is well described by mutually interfering $ \mathrm{X(6600)} $, $ \mathrm{X(6900)} $, and $ \mathrm{X(7100)} $ structures. The statistical uncertainties on their masses and widths are reduced by a factor of three over our previous results [12]. For the first time, all three structures are established with a significance well above five standard deviations (5$ \sigma $). Similarly, interference among the three structures is now statistically compelling. Interference implies that the structures have common $ J^{PC} $ quantum numbers---suggesting a family of states. Recently CMS reported an angular analysis of the $ \mathrm{X} {\to} \mathrm{J}/\psi\mathrm{J}/\psi $ decay characteristics and found the $ J^{PC} $ quantum numbers of the $ \mathrm{X} $ family is most likely $ 2^{++} $ [35]. |
| References | ||||
| 1 | M. Gell-Mann | A schematic model of baryons and mesons | PL 8 (1964) 214 | |
| 2 | G. Zweig | An SU(3) model for strong interaction symmetry and its breaking | CERN-TH-401, 1964 | |
| 3 | E598 Collaboration | Experimental observation of a heavy particle $ J $ | PRL 33 (1974) 1404 | |
| 4 | SLAC-SP-017 Collaboration | Discovery of a narrow resonance in $ e^+ e^- $ annihilation | PRL 33 (1974) 1406 | |
| 5 | L. G. Landsberg | The search for exotic hadrons | Phys. Usp. 42 (1999) 871 | |
| 6 | Belle Collaboration | Observation of a narrow charmonium-like state in exclusive $ B^\pm \rightarrow K^\pm \pi^+ \pi^- J/\psi $ decays | PRL 91 (2003) 262001 | hep-ex/0309032 |
| 7 | F. E. Close and P. R. Page | The $ D^{*0} $ anti-$ D^0 $ threshold resonance | --123, 2004 PLB 578 (2004) 119 |
hep-ph/0309253 |
| 8 | H.-X. Chen et al. | An updated review of the new hadron states | no.~2, 026201, 2023 Rept. Prog. Phys. 86 (2023) |
2204.02649 |
| 9 | A. Ali, L. Maiani, and A. D. Polosa | Multiquark Hadrons | Cambridge University Press, 2019 link |
|
| 10 | BESIII Collaboration | Observation of a charged charmoniumlike structure in $ e^+e^- \to \pi^+\pi^- J/\psi $ at $ \sqrt{s} $ =4.26 GeV | PRL 110 (2013) 252001 | 1303.5949 |
| 11 | Belle Collaboration | Study of $ {e}^{\mathbf{+}}{e}^{\mathbf{-}}\rightarrow{\pi}^{\mathbf{+}}{\pi}^{\mathbf{-}}{J}/\psi $ and observation of a charged charmoniumlike state at Belle | PRL 110 (2013) 252002 | |
| 12 | CMS Collaboration | Observation of new structure in the J/$ \psi $J/$ \psi $ mass spectrum in proton-proton collisions at $ \sqrt{s} $ = 13 TeV | Phys. Rev. Lett, 2024 | CMS-BPH-21-003 2306.07164 |
| 13 | LHCb Collaboration | Observation of structure in the $ \mathrm{J}/\psi $-pair mass spectrum | Sci. Bull. 65 (2020) 1983 | 2006.16957 |
| 14 | ATLAS Collaboration | Observation of an excess of dicharmonium events in the four-muon final state with the ATLAS detector | PRL 131 (2023) | 2304.08962 |
| 15 | Y. Lu, C. Chen, G.-y. Qin, and H.-Q. Zheng | A discussion on the anomalous threshold enhancement of $ J/\psi $--$ \psi(3770) $ couplings and $ X(6900) $ peak | Chin. Phys. C 48 (2024) | 2312.10711 |
| 16 | B.-D. Wan and C.-F. Qiao | Gluonic tetracharm configuration of $ X(6900) $ | PLB 817 (2021) 136339 | 2012.00454 |
| 17 | M. Y. Barabanov et al. | Diquark correlations in hadron physics: Origin, impact and evidence | Prog. Part. Nucl. Phys. 116 (2021) 103835 | 2008.07630 |
| 18 | CMS Collaboration | The CMS Experiment at the CERN LHC | JINST 3 (2008) S08004 | |
| 19 | CMS Collaboration | The CMS trigger system | JINST 12 (2017) | CMS-TRG-12-001 1609.02366 |
| 20 | Particle Data Group Collaboration | Review of Particle Physics | PTEP 2020 (2020) | |
| 21 | A. R. Bohm and Y. Sato | Relativistic resonances: Their masses, widths, lifetimes, superposition, and causal evolution | PRD 71 (2005) 085018 | hep-ph/0412106 |
| 22 | CMD-3 Collaboration | Study of the process $ e^+ e^-\to K_S^0 K_S^0 \pi^+\pi^- $ in the c.m. energy range 1.6-2.0 GeV with the CMD-3 detector | PLB 804 (2020) 135380 | 1912.05751 |
| 23 | M. Pivk and F. Le Diberder | sPlot: A statistical tool to unfold data distributions | NIMA 555 (2005) | physics/0402083 |
| 24 | CMS Collaboration | Observation of $ X(6900) $ and evidence of $ X(7100) $ in the $ \mathrm{J}/\psi \psi(2S) \to \mu^{+} \mu^{-} \mu^{+} \mu^{-} $ mass spectrum in pp collisions at CMS | CMS PAS-BPH-22-004, 2025 | CMS-PAS-BPH-22-004 |
| 25 | J.-Z. Wang, X. Liu, and T. Matsuki | Fully-heavy structures in the invariant mass spectrum of $ \mathrm{J}/\psi \psi(3686) $, $ \mathrm{J}/\psi \psi(3770) $, $ \psi(3686)\psi(3686) $, and $ \mathrm{J}/\psi \Upsilon{\textrm{(1S)}} $ at hadron colliders | PLB 816 (2021) 136209 | 2012.03281 |
| 26 | T. Sjöstrand, S. Mrenna, and P. Skands | A brief introduction to PYTHIA 8.1 | Computer Physics Communications 178 (2008) | |
| 27 | H. Jung et al. | The CCFM monte carlo generator CASCADE Version 2.2.03 | EPJC 70 (2010) | |
| 28 | H.-S. Shao | HELAC-Onia: An automatic matrix element generator for heavy quarkonium physics | Computer Physics Communications 184 (2013) | |
| 29 | J.-P. Lansberg and H.-S. Shao | J/$ \psi $-pair production at large momenta: Indications for double parton scatterings and large $ \alpha_s^5 $ contributions | PLB 751 (2015) 479 | |
| 30 | J.-P. Lansberg and H.-S. Shao | Production of $ J/\psi+\eta_c $ versus $ J/\psi+J/\psi $ at the LHC: Importance of real $ \alpha_s^5 $ corrections | PRL 111 (2013) | |
| 31 | H.-S. Shao | HELAC-Onia 2.0: an upgraded matrix-element and event generator for heavy quarkonium physics | Comput. Phys. Commun. 198 (2016) 238 | 1507.03435 |
| 32 | X.-K. Dong et al. | Coupled-Channel Interpretation of the LHCb Double- $ J/\psi $ Spectrum and Hints of a New State Near the $ J/\psi J/\psi $ Threshold | PRL 126 (2021) | 2009.07795 |
| 33 | F.-K. Guo, X.-H. Liu, and S. Sakai | Threshold cusps and triangle singularities in hadronic reactions | Prog. Part. Nucl. Phys. 112 (2020) 103757 | 1912.07030 |
| 34 | C. Gong et al. | Nature of X(6900) and its production mechanism at LHCb | PLB 824 (2022) 136794 | 2011.11374 |
| 35 | CMS Collaboration | Spin and symmetry properties of all-charm tetraquarks | CMS PAS-BPH-24-002, 2025 | |
| 36 | CMS Collaboration | Performance of CMS muon reconstruction in $ pp $ collision events at $ \sqrt{s}= $ 7 TeV | JINST 7 (2012) P10002 | CMS-MUO-10-004 1206.4071 |
| 37 | Y. Gao et al. | Spin determination of single-produced resonances at hadron colliders | link | 1001.3396 |
| 38 | S. Bolognesi et al. | On the spin and parity of a single-produced resonance at the LHC | link | 1208.4018 |
| 39 | I. Anderson et al. | Constraining anomalous $ {HVV} $ interactions at proton and lepton colliders | link | 1309.4819 |
| 40 | A. V. Gritsan, R. Rontsch, M. Schulze, and M. Xiao | Constraining anomalous $ {Higgs} $ boson couplings to the heavy flavor fermions using matrix element techniques | link | 1606.03107 |
| 41 | A. V. Gritsan et al. | New features in the JHU generator framework: Constraining Higgs boson properties from on-shell and off-shell production | Physical Review D 102 (2020) | 2002.09888 |
| 42 | GEANT4 Collaboration | GEANT4--a simulation toolkit | NIM A 506 (2003) 250 | |
|
Compact Muon Solenoid LHC, CERN |
|
|
|
|
|
|