| CMS-PAS-B2G-25-003 | ||
| Combination of CMS searches for heavy vector boson resonances at $ \sqrt{s}= $ 13 TeV | ||
| CMS Collaboration | ||
| 2025-10-02 | ||
| Abstract: A combined statistical analysis of searches for heavy vector boson resonances decaying into pairs of W, Z, or H bosons, as well as into quark pairs ($ \mathrm{q}\bar{\mathrm{q}} $, $ \mathrm{b}\bar{\mathrm{b}} $, $ \mathrm{t}\bar{\mathrm{t}} $, $ \mathrm{tb} $) or lepton pairs ($ \ell\ell $, $ \ell\nu $), with $ \ell = e, \mu, \tau $, is presented. The results are based on proton-proton collision data at a center-of-mass energy of 13 TeV, corresponding to an integrated luminosity of 138 fb$ ^{-1} $, collected by the CMS experiment between 2016 and 2018. No significant deviation from the expectations of the standard model (SM) is observed. The results are interpreted in the simplified heavy vector triplet (HVT) framework, setting 95% confidence level upper limits on the production cross sections and coupling-strengths to SM particles of the heavy vector bosons. The combination provides the most stringent constraints to date on new phenomena predicted by the HVT model. The results exclude heavy vector boson resonances with a mass below 5.5 TeV in a weakly-coupled scenario, below 4.8 TeV in a strongly-coupled scenario, and up to 2.0 TeV in the case of production via vector-boson fusion. These results represent a significant improvement over previous constraints, driven by the inclusion of the full data set and advances in the underlying analyses. | ||
| Links: CDS record (PDF) ; CADI line (restricted) ; | ||
| Figures | |
|
png pdf |
Figure 1:
Feynman diagrams for the production and decay of Z' and W' bosons via the Drell--Yan process (upper row) and the VBF process (lower row). The W' (Z') boson decays to WH (ZH) (upper left, lower left), WZ (WW) (upper middle, lower right), and fermion-antifermion pairs (upper right). |
|
png pdf |
Figure 1-a:
Feynman diagrams for the production and decay of Z' and W' bosons via the Drell--Yan process (upper row) and the VBF process (lower row). The W' (Z') boson decays to WH (ZH) (upper left, lower left), WZ (WW) (upper middle, lower right), and fermion-antifermion pairs (upper right). |
|
png pdf |
Figure 1-b:
Feynman diagrams for the production and decay of Z' and W' bosons via the Drell--Yan process (upper row) and the VBF process (lower row). The W' (Z') boson decays to WH (ZH) (upper left, lower left), WZ (WW) (upper middle, lower right), and fermion-antifermion pairs (upper right). |
|
png pdf |
Figure 1-c:
Feynman diagrams for the production and decay of Z' and W' bosons via the Drell--Yan process (upper row) and the VBF process (lower row). The W' (Z') boson decays to WH (ZH) (upper left, lower left), WZ (WW) (upper middle, lower right), and fermion-antifermion pairs (upper right). |
|
png pdf |
Figure 1-d:
Feynman diagrams for the production and decay of Z' and W' bosons via the Drell--Yan process (upper row) and the VBF process (lower row). The W' (Z') boson decays to WH (ZH) (upper left, lower left), WZ (WW) (upper middle, lower right), and fermion-antifermion pairs (upper right). |
|
png pdf |
Figure 1-e:
Feynman diagrams for the production and decay of Z' and W' bosons via the Drell--Yan process (upper row) and the VBF process (lower row). The W' (Z') boson decays to WH (ZH) (upper left, lower left), WZ (WW) (upper middle, lower right), and fermion-antifermion pairs (upper right). |
|
png pdf |
Figure 2:
Expected and observed 95% CL upper limits on the V' production cross section as a function of the resonance mass $ m_{\mathrm{V}'} $ shown separately for the quarkonic (left) and leptonic (right) final states. The limits are evaluated under the HVT model A scenario. |
|
png pdf |
Figure 2-a:
Expected and observed 95% CL upper limits on the V' production cross section as a function of the resonance mass $ m_{\mathrm{V}'} $ shown separately for the quarkonic (left) and leptonic (right) final states. The limits are evaluated under the HVT model A scenario. |
|
png pdf |
Figure 2-b:
Expected and observed 95% CL upper limits on the V' production cross section as a function of the resonance mass $ m_{\mathrm{V}'} $ shown separately for the quarkonic (left) and leptonic (right) final states. The limits are evaluated under the HVT model A scenario. |
|
png pdf |
Figure 3:
Expected and observed 95% CL upper limits on the V' production cross section as a function of the resonance mass $ m_{\mathrm{V}'} $ shown separately for the bosonic final states. The limits are evaluated under the HVT model B scenario. |
|
png pdf |
Figure 4:
Expected and observed 95% CL upper limits on the V' production cross section as a function of the resonance mass $ m_{\mathrm{V}'} $ under HVT model A (left) and model B (right). |
|
png pdf |
Figure 4-a:
Expected and observed 95% CL upper limits on the V' production cross section as a function of the resonance mass $ m_{\mathrm{V}'} $ under HVT model A (left) and model B (right). |
|
png pdf |
Figure 4-b:
Expected and observed 95% CL upper limits on the V' production cross section as a function of the resonance mass $ m_{\mathrm{V}'} $ under HVT model A (left) and model B (right). |
|
png pdf |
Figure 5:
Expected and observed 95% CL upper limits on the V' production cross section as a function of the resonance mass $ m_{\mathrm{V}'} $ under HVT model C. |
|
png pdf |
Figure 6:
Expected and observed 95% CL upper limits on the coupling parameter $ g_{\mathrm{F}} $ as a function of $ g_{\mathrm{H}} $, under the assumption $ g_{\mathrm{V}} = $ 1. The results are shown separately for the quarkonic (upper), leptonic (middle), and bosonic (lower) channels at resonance masses of 3 TeV (left) and 4 TeV (right). The results from the individual channels are also shown. The gray dotted lines denote coupling values above which the relative width of the resonance, $ \Gamma_{\mathrm{V}'}/m_{\mathrm{V}'} $, exceeds 4 and 10%. The couplings corresponding to the HVT models A and B are indicated by cross markers. |
|
png pdf |
Figure 6-a:
Expected and observed 95% CL upper limits on the coupling parameter $ g_{\mathrm{F}} $ as a function of $ g_{\mathrm{H}} $, under the assumption $ g_{\mathrm{V}} = $ 1. The results are shown separately for the quarkonic (upper), leptonic (middle), and bosonic (lower) channels at resonance masses of 3 TeV (left) and 4 TeV (right). The results from the individual channels are also shown. The gray dotted lines denote coupling values above which the relative width of the resonance, $ \Gamma_{\mathrm{V}'}/m_{\mathrm{V}'} $, exceeds 4 and 10%. The couplings corresponding to the HVT models A and B are indicated by cross markers. |
|
png pdf |
Figure 6-b:
Expected and observed 95% CL upper limits on the coupling parameter $ g_{\mathrm{F}} $ as a function of $ g_{\mathrm{H}} $, under the assumption $ g_{\mathrm{V}} = $ 1. The results are shown separately for the quarkonic (upper), leptonic (middle), and bosonic (lower) channels at resonance masses of 3 TeV (left) and 4 TeV (right). The results from the individual channels are also shown. The gray dotted lines denote coupling values above which the relative width of the resonance, $ \Gamma_{\mathrm{V}'}/m_{\mathrm{V}'} $, exceeds 4 and 10%. The couplings corresponding to the HVT models A and B are indicated by cross markers. |
|
png pdf |
Figure 6-c:
Expected and observed 95% CL upper limits on the coupling parameter $ g_{\mathrm{F}} $ as a function of $ g_{\mathrm{H}} $, under the assumption $ g_{\mathrm{V}} = $ 1. The results are shown separately for the quarkonic (upper), leptonic (middle), and bosonic (lower) channels at resonance masses of 3 TeV (left) and 4 TeV (right). The results from the individual channels are also shown. The gray dotted lines denote coupling values above which the relative width of the resonance, $ \Gamma_{\mathrm{V}'}/m_{\mathrm{V}'} $, exceeds 4 and 10%. The couplings corresponding to the HVT models A and B are indicated by cross markers. |
|
png pdf |
Figure 6-d:
Expected and observed 95% CL upper limits on the coupling parameter $ g_{\mathrm{F}} $ as a function of $ g_{\mathrm{H}} $, under the assumption $ g_{\mathrm{V}} = $ 1. The results are shown separately for the quarkonic (upper), leptonic (middle), and bosonic (lower) channels at resonance masses of 3 TeV (left) and 4 TeV (right). The results from the individual channels are also shown. The gray dotted lines denote coupling values above which the relative width of the resonance, $ \Gamma_{\mathrm{V}'}/m_{\mathrm{V}'} $, exceeds 4 and 10%. The couplings corresponding to the HVT models A and B are indicated by cross markers. |
|
png pdf |
Figure 6-e:
Expected and observed 95% CL upper limits on the coupling parameter $ g_{\mathrm{F}} $ as a function of $ g_{\mathrm{H}} $, under the assumption $ g_{\mathrm{V}} = $ 1. The results are shown separately for the quarkonic (upper), leptonic (middle), and bosonic (lower) channels at resonance masses of 3 TeV (left) and 4 TeV (right). The results from the individual channels are also shown. The gray dotted lines denote coupling values above which the relative width of the resonance, $ \Gamma_{\mathrm{V}'}/m_{\mathrm{V}'} $, exceeds 4 and 10%. The couplings corresponding to the HVT models A and B are indicated by cross markers. |
|
png pdf |
Figure 6-f:
Expected and observed 95% CL upper limits on the coupling parameter $ g_{\mathrm{F}} $ as a function of $ g_{\mathrm{H}} $, under the assumption $ g_{\mathrm{V}} = $ 1. The results are shown separately for the quarkonic (upper), leptonic (middle), and bosonic (lower) channels at resonance masses of 3 TeV (left) and 4 TeV (right). The results from the individual channels are also shown. The gray dotted lines denote coupling values above which the relative width of the resonance, $ \Gamma_{\mathrm{V}'}/m_{\mathrm{V}'} $, exceeds 4 and 10%. The couplings corresponding to the HVT models A and B are indicated by cross markers. |
|
png pdf |
Figure 7:
Expected and observed 95% CL upper limits on the coupling parameter $ g_{\mathrm{F}} $ as a function of $ g_{\mathrm{H}} $, under the assumption $ g_{\mathrm{V}} = $ 1. The combined results from all channels are shown for resonance masses of 3 TeV (left) and 4 TeV (right). The results from the individual channels are also shown. The gray dotted lines denote coupling values above which the relative width of the resonance, $ \Gamma_{\mathrm{V}'}/m_{\mathrm{V}'} $, exceeds 4 and 10%. The couplings corresponding to the HVT models A and B are indicated by cross markers. |
|
png pdf |
Figure 7-a:
Expected and observed 95% CL upper limits on the coupling parameter $ g_{\mathrm{F}} $ as a function of $ g_{\mathrm{H}} $, under the assumption $ g_{\mathrm{V}} = $ 1. The combined results from all channels are shown for resonance masses of 3 TeV (left) and 4 TeV (right). The results from the individual channels are also shown. The gray dotted lines denote coupling values above which the relative width of the resonance, $ \Gamma_{\mathrm{V}'}/m_{\mathrm{V}'} $, exceeds 4 and 10%. The couplings corresponding to the HVT models A and B are indicated by cross markers. |
|
png pdf |
Figure 7-b:
Expected and observed 95% CL upper limits on the coupling parameter $ g_{\mathrm{F}} $ as a function of $ g_{\mathrm{H}} $, under the assumption $ g_{\mathrm{V}} = $ 1. The combined results from all channels are shown for resonance masses of 3 TeV (left) and 4 TeV (right). The results from the individual channels are also shown. The gray dotted lines denote coupling values above which the relative width of the resonance, $ \Gamma_{\mathrm{V}'}/m_{\mathrm{V}'} $, exceeds 4 and 10%. The couplings corresponding to the HVT models A and B are indicated by cross markers. |
|
png pdf |
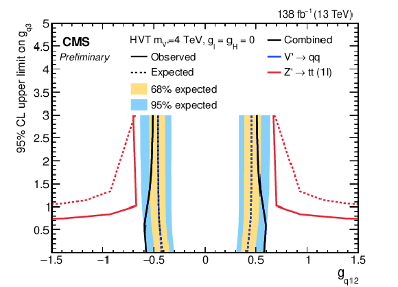
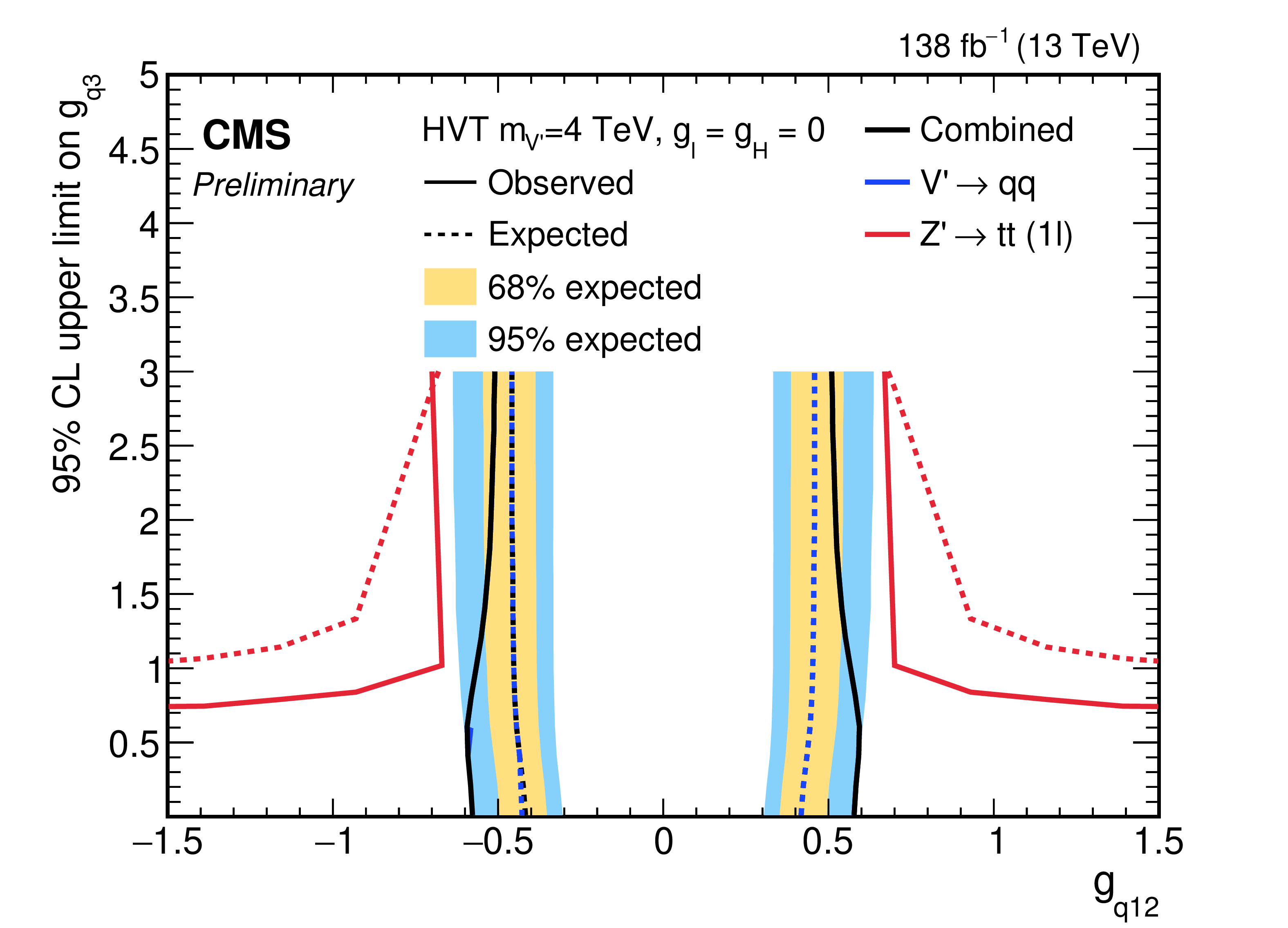
Figure 8:
Expected and observed 95% CL upper limits in the $ g_{q_{3}} $--$ g_{q_{12}} $ coupling plane, under the assumption $ g_{\mathrm{V}} = $ 1, $ g_{l_{12}} = $ 0, $ g_{l_{3}}= $ 0, and $ g_{\mathrm{H}} = $ 0. The results are shown for the diquark channels at resonance masses of 3 TeV (left) and 4 TeV (right). The contributions from individual channels are also shown. |
|
png pdf |
Figure 8-a:
Expected and observed 95% CL upper limits in the $ g_{q_{3}} $--$ g_{q_{12}} $ coupling plane, under the assumption $ g_{\mathrm{V}} = $ 1, $ g_{l_{12}} = $ 0, $ g_{l_{3}}= $ 0, and $ g_{\mathrm{H}} = $ 0. The results are shown for the diquark channels at resonance masses of 3 TeV (left) and 4 TeV (right). The contributions from individual channels are also shown. |
|
png pdf |
Figure 8-b:
Expected and observed 95% CL upper limits in the $ g_{q_{3}} $--$ g_{q_{12}} $ coupling plane, under the assumption $ g_{\mathrm{V}} = $ 1, $ g_{l_{12}} = $ 0, $ g_{l_{3}}= $ 0, and $ g_{\mathrm{H}} = $ 0. The results are shown for the diquark channels at resonance masses of 3 TeV (left) and 4 TeV (right). The contributions from individual channels are also shown. |
| Tables | |
|
png pdf |
Table 1:
Summary of the searches for difermion and diboson resonances used as inputs to this combined statistical analysis. The targeted production modes, resonance mass ranges, reconstructed objects, and references are listed. In the ``Jets'' column, only jets from the heavy resonance decay are indicated. |
|
png pdf |
Table 2:
Summary of the main systematic uncertainties. The second column specifies whether the uncertainty affects the yield (Y), the shape (S) of the distributions, or both. The ``Effect'' columns summarize the typical impact of the uncertainty on the yield, migration, and signal shape parameters. Analyses are split by fermion and boson final states. The letters ``Sg'', ``Bg'' and ``SB'' indicate whether the uncertainty affects the signal, the dominant background or both, respectively. The letter ``U'' denotes cases where background parameters are unconstrained or allowed to float freely in the fit. A dash ``$ \text{---} $'' refers to cases where an uncertainty has a negligible effect or is not applicable. |
| Summary |
| A combined statistical analysis of searches for heavy vector boson resonances decaying into pairs of W, Z, or H bosons, as well as into quark pairs ($ \mathrm{q}\bar{\mathrm{q}} $, $ \mathrm{b}\bar{\mathrm{b}} $, $ \mathrm{t} \bar{\mathrm{t}} $, $ \mathrm{t}\mathrm{b} $) or lepton pairs ($ \ell\bar{\ell} $, $ \ell\nu $), with $ \ell = \mathrm{e}, \mu, \tau $, is presented. The results are based on proton-proton collision data at a center-of-mass energy of 13 TeV, corresponding to an integrated luminosity of 138 fb$ ^{-1} $, collected by the CMS experiment between 2016 and 2018. No significant deviation from the expectations of the standard model (SM) is observed. The results are interpreted in the simplified heavy vector triplet (HVT) framework, setting 95% confidence level upper limits on the production cross sections of heavy vector bosons. These limits are further interpreted as constraints on their couplings to SM particles. The results exclude heavy vector boson resonances with a mass below 5.5 TeV in a weakly-coupled scenario, below 4.8 TeV in a strongly-coupled scenario, and up to 2.0 TeV in the case of production via vector-boson fusion. These results represent a significant improvement over previous constraints, driven by the inclusion of the full data set and advances in the underlying analyses. Compared to results with the 2016 data alone, the sensitivity is improved by a factor of 1.7 to 3.6 for the strongly-coupled scenario and 4.4 to 7.7 for the weakly-coupled scenario. This combination provides the most stringent and comprehensive constraints to date on the production of heavy vector boson resonances in the HVT framework. |
| References | ||||
| 1 | UA1 Collaboration | Experimental observation of isolated large transverse energy electrons with associated missing energy at $ \sqrt{s} = $ 540 GeV | PLB 122 (1983) 103 | |
| 2 | UA2 Collaboration | Observation of single isolated electrons of high transverse momentum in events with missing transverse energy at the CERN $ \bar{p}p $ collider | PLB 122 (1983) 476 | |
| 3 | UA1 Collaboration | Experimental Observation of Lepton Pairs of Invariant Mass Around 95 GeV/$c^2$ at the CERN SPS Collider | PLB 126 (1983) 398 | |
| 4 | UA2 Collaboration | Evidence for $ Z^{0} \to e^+ e^- $ at the CERN $ \bar{p} p $ Collider | PLB 129 (1983) 130 | |
| 5 | ATLAS Collaboration | Observation of a new particle in the search for the Standard Model Higgs boson with the ATLAS detector at the LHC | PLB 716 (2012) 1 | 1207.7214 |
| 6 | CMS Collaboration | Observation of a new boson at a mass of 125 GeV with the CMS experiment at the LHC | PLB 716 (2012) 30 | CMS-HIG-12-028 1207.7235 |
| 7 | CMS Collaboration | Observation of a new boson with mass near 125 GeV in pp collisions at $ \sqrt{s} = $ 7 and 8 TeV | JHEP 06 (2013) 081 | CMS-HIG-12-036 1303.4571 |
| 8 | F. del Aguila, J. de Blas, and M. Perez-Victoria | Electroweak Limits on General New Vector Bosons | JHEP 09 (2010) 033 | 1005.3998 |
| 9 | J. de Blas, J. M. Lizana, and M. Perez-Victoria | Combining searches of Z' and W' bosons | JHEP 01 (2013) 166 | 1211.2229 |
| 10 | ATLAS Collaboration | Combination of searches for heavy spin-1 resonances using 139 fb$ ^{-1} $ of proton-proton collision data at $ \sqrt{s} = $ 13 TeV with the ATLAS detector | JHEP 04 (2024) 118 | 2402.10607 |
| 11 | CMS Collaboration | Combination of CMS searches for heavy resonances decaying to pairs of bosons or leptons | PLB 798 (2019) 134952 | 1906.00057 |
| 12 | CMS Collaboration | Searches for Higgs Boson Production through Decays of Heavy Resonances | Phys. Rept. 1115 (2025) 368 | 2403.16926 |
| 13 | M. Schmaltz and C. Spethmann | Two simple W' models for the early LHC | JHEP 07 (2011) 046 | 1011.5918 |
| 14 | E. Salvioni, G. Villadoro, and F. Zwirner | Minimal Z' models: Present bounds and early LHC reach | JHEP 11 (2009) 068 | 0909.1320 |
| 15 | R. Contino, D. Marzocca, D. Pappadopulo, and R. Rattazzi | On the effect of resonances in composite Higgs phenomenology | JHEP 10 (2011) 081 | 1109.1570 |
| 16 | M. Perelstein | Little Higgs models and their phenomenology | Prog. Part. Nucl. Phys. 58 (2007) 247 | hep-ph/0512128 |
| 17 | M. Schmaltz and D. Tucker-Smith | Little Higgs review | Ann. Rev. Nucl. Part. Sci. 55 (2005) 229 | hep-ph/0502182 |
| 18 | D. Abercrombie et al. | Dark Matter benchmark models for early LHC Run-2 Searches: Report of the ATLAS/CMS Dark Matter Forum | Phys. Dark Univ. 27 (2020) 100371 | 1507.00966 |
| 19 | D. Pappadopulo, A. Thamm, R. Torre, and A. Wulzer | Heavy vector triplets: Bridging theory and data | JHEP 09 (2014) 060 | 1402.4431 |
| 20 | CMS Collaboration | Search for new heavy resonances decaying to $ {\mathrm{W}\mathrm{W}} $, $ {\mathrm{W}\mathrm{Z}} $, $ {\mathrm{Z}\mathrm{Z}} $, $ {\mathrm{W}\mathrm{H}} $, or $ {\mathrm{Z}\mathrm{H}} $ boson pairs in the all-jets final state in proton-proton collisions at $ \sqrt{s}= $ 13 TeV | PLB 844 (2023) 137813 | 2210.00043 |
| 21 | CMS Collaboration | The CMS experiment at the CERN LHC | JINST 3 (2008) S08004 | |
| 22 | CMS Collaboration | Development of the CMS detector for the CERN LHC Run 3 | JINST 19 (2024) P05064 | CMS-PRF-21-001 2309.05466 |
| 23 | CMS Collaboration | The CMS trigger system | JINST 12 (2017) P01020 | CMS-TRG-12-001 1609.02366 |
| 24 | CMS Collaboration | Performance of the CMS Level-1 trigger in proton--proton collisions at $ \sqrt{s}= $ 13 TeV | JINST 15 (2020) P10017 | CMS-TRG-17-001 2006.10165 |
| 25 | CMS Collaboration | Particle-flow reconstruction and global event description with the CMS detector | JINST 12 (2017) P10003 | CMS-PRF-14-001 1706.04965 |
| 26 | M. Cacciari, G. P. Salam, and G. Soyez | The anti-$ k_{\mathrm{T}} $ jet clustering algorithm | JHEP 04 (2008) 063 | 0802.1189 |
| 27 | M. Cacciari, G. P. Salam, and G. Soyez | FastJet user manual | EPJC 72 (2012) 1896 | 1111.6097 |
| 28 | D. Bertolini, P. Harris, M. Low, and N. Tran | Pileup per particle identification | JHEP 10 (2014) 059 | 1407.6013 |
| 29 | CMS Collaboration | Pileup mitigation at CMS in 13 TeV data | JINST 15 (2020) P09018 | CMS-JME-18-001 2003.00503 |
| 30 | CMS Collaboration | Jet energy scale and resolution in the CMS experiment in pp collisions at 8 TeV | JINST 12 (2017) P02014 | CMS-JME-13-004 1607.03663 |
| 31 | CMS Collaboration | Identification of heavy-flavour jets with the CMS detector in pp collisions at 13 TeV | JINST 13 (2018) P05011 | CMS-BTV-16-002 1712.07158 |
| 32 | E. Bols et al. | Jet flavour classification using DeepJet | JINST 15 (2020) P12012 | 2008.10519 |
| 33 | CMS Collaboration | Performance of heavy-flavour jet identification in boosted topologies in proton-proton collisions at $ \sqrt{s} = $ 13 TeV | CMS Physics Analysis Summary, 2023 CMS-PAS-BTV-22-001 |
CMS-PAS-BTV-22-001 |
| 34 | A. J. Larkoski, S. Marzani, G. Soyez, and J. Thaler | Soft drop | JHEP 05 (2014) 146 | 1402.2657 |
| 35 | Y. L. Dokshitzer, G. D. Leder, S. Moretti, and B. R. Webber | Better jet clustering algorithms | JHEP 08 (1997) 001 | hep-ph/9707323 |
| 36 | M. Wobisch and T. Wengler | Hadronization corrections to jet cross-sections in deep inelastic scattering | in Proc. of the Workshop on Monte Carlo Generators for HERA Physics, Hamburg, Germany, p. 270. 1998 link |
hep-ph/9907280 |
| 37 | CMS Collaboration | Identification of heavy, energetic, hadronically decaying particles using machine-learning techniques | JINST 15 (2020) P06005 | CMS-JME-18-002 2004.08262 |
| 38 | H. Qu and L. Gouskos | ParticleNet: Jet Tagging via Particle Clouds | PRD 101 (2020) 056019 | 1902.08570 |
| 39 | CMS Collaboration | Performance of missing transverse momentum reconstruction in proton-proton collisions at $ \sqrt{s} = $ 13 TeV using the CMS detector | JINST 14 (2019) P07004 | CMS-JME-17-001 1903.06078 |
| 40 | B. Bellazzini, C. Csaki, and J. Serra | Composite Higgses | EPJC 74 (2014) 2766 | 1401.2457 |
| 41 | E. Accomando et al. | Charged di-boson production at the LHC in a 4-site model with a composite Higgs boson | PRD 86 (2012) 115006 | 1208.0268 |
| 42 | V. D. Barger, W.-Y. Keung, and E. Ma | A Gauge Model With Light $ W $ and $ Z $ Bosons | PRD 22 (1980) 727 | |
| 43 | C. Grojean, E. Salvioni, and R. Torre | A weakly constrained W' at the early LHC | JHEP 07 (2011) 002 | 1103.2761 |
| 44 | Particle Data Group | Review of Particle Physics | PRD 110 (2024) 030001 | |
| 45 | CMS Collaboration | Search for heavy neutral resonances decaying to tau lepton pairs in proton-proton collisions at $ \sqrt{s} =$ 13 TeV | PRD 111 (2025) 112004 | CMS-EXO-21-016 2412.04357 |
| 46 | CMS Collaboration | Search for resonant and nonresonant new phenomena in high-mass dilepton final states at $ \sqrt{s}= $ 13 TeV | JHEP 07 (2021) 208 | CMS-EXO-19-019 2103.02708 |
| 47 | CMS Collaboration | Search for new physics in the lepton plus missing transverse momentum final state in proton-proton collisions at $ \sqrt{s}= $ 13 TeV | JHEP 07 (2022) 067 | CMS-EXO-19-017 2202.06075 |
| 48 | CMS Collaboration | Search for new physics in the $ \tau $ lepton plus missing transverse momentum final state in proton-proton collisions at $ \sqrt{s}= $ 13 TeV | JHEP 09 (2023) 051 | CMS-EXO-21-009 2212.12604 |
| 49 | CMS Collaboration | Search for high mass dijet resonances with a new background prediction method in proton-proton collisions at $ \sqrt{s}= $ 13 TeV | JHEP 05 (2020) 033 | CMS-EXO-19-012 1911.03947 |
| 50 | CMS Collaboration | Search for $ \mathrm{W^{'}} $ bosons decaying to a top and a bottom quark at $ \sqrt{s}= $ 13 TeV in the hadronic final state | PLB 820 (2021) 136535 | 2104.04831 |
| 51 | CMS Collaboration | Search for w' bosons decaying to a top and a bottom quark in leptonic final states in proton-proton collisions at $ \sqrt{s}= $ 13 TeV | JHEP 05 (2024) 046 | 2310.19893 |
| 52 | CMS Collaboration | Search for pair production of heavy particles decaying to a top quark and a gluon in the lepton+jets final state in proton-proton collisions at $ \sqrt{s}= $ 13 TeV | EPJC 85 (2025) 342 | 2410.20601 |
| 53 | CMS Collaboration | Search for a heavy vector resonance decaying to a Z boson and a Higgs boson in proton-proton collisions at $ \sqrt{s}= $ 13 TeV | EPJC 81 (2021) 688 | 2102.08198 |
| 54 | CMS Collaboration | Search for a heavy resonance decaying into a Z and a Higgs boson in events with an energetic jet and two electrons, two muons, or missing transverse momentum in proton-proton collisions at $ \sqrt{s} = $ 13 TeV | JHEP 02 (2025) 089 | 2411.00202 |
| 55 | CMS Collaboration | Search for heavy resonances decaying to $ {\mathrm{Z}\mathrm{Z}} $ or $ {\mathrm{Z}\mathrm{W}} $ and axion-like particles mediating nonresonant $ {\mathrm{Z}\mathrm{Z}} $ or $ {\mathrm{Z}\mathrm{H}} $ production at $ \sqrt{s}= $ 13 TeV | JHEP 04 (2022) 087 | 2111.13669 |
| 56 | CMS Collaboration | Search for heavy resonances decaying to $ {\mathrm{Z}}({\nu\overline{\nu}}){\mathrm{V}}({\mathrm{q}\overline{\mathrm{q}}^\prime}) $ in proton-proton collisions at $ \sqrt{s}= $ 13 TeV | PRD 106 (2022) 012004 | 2109.08268 |
| 57 | CMS Collaboration | Search for heavy resonances decaying to $ {\mathrm{W}\mathrm{W}} $, $ {\mathrm{W}\mathrm{Z}} $, or $ {\mathrm{W}\mathrm{H}} $ boson pairs in the lepton plus merged jet final state in proton-proton collisions at $ \sqrt{s}= $ 13 TeV | PRD 105 (2022) 032008 | 2109.06055 |
| 58 | CMS Collaboration | Search for narrow resonances in the b-tagged dijet mass spectrum in proton-proton collisions at $ \sqrt{s}= $ 13 TeV | PRD 108 (2023) 012009 | CMS-EXO-20-008 2205.01835 |
| 59 | CMS Collaboration | Search for tt resonances in the fully hadronic final state | CMS Physics Analysis Summary CMS-PAS-B2G-24-003, 2025 CDS |
|
| 60 | NNPDF Collaboration | Parton distributions for the LHC Run II | JHEP 04 (2015) 040 | 1410.8849 |
| 61 | NNPDF Collaboration | Parton distributions from high-precision collider data | EPJC 77 (2017) 663 | 1706.00428 |
| 62 | CMS Collaboration | Precision luminosity measurement in proton-proton collisions at $ \sqrt{s} = $ 13 TeV in 2015 and 2016 at CMS | EPJC 81 (2021) 800 | CMS-LUM-17-003 2104.01927 |
| 63 | CMS Collaboration | CMS luminosity measurement for the 2017 data-taking period at $ \sqrt{s} = $ 13 TeV | CMS Physics Analysis Summary, 2018 link |
CMS-PAS-LUM-17-004 |
| 64 | CMS Collaboration | CMS luminosity measurement for the 2018 data-taking period at $ \sqrt{s} = $ 13 TeV | CMS Physics Analysis Summary, 2019 link |
CMS-PAS-LUM-18-002 |
| 65 | CMS Collaboration | The CMS Statistical Analysis and Combination Tool: COMBINE | Comput. Softw. Big Sci. 8 (2024) 19 | CMS-CAT-23-001 2404.06614 |
| 66 | W. Verkerke and D. Kirkby | The RooFit toolkit for data modeling | in Proc. 13th International Conference on Computing in High Energy and Nuclear Physics (CHEP 2003): La Jolla CA, United States, March 24--28, 2003. 2003.. [eConf C0303241 (2003) MOLT007] link |
physics/0306116 |
| 67 | L. Moneta et al. | The RooStats project | in Proc. 13th International Workshop on Advanced Computing and Analysis Techniques in Physics Research (ACAT 2010): Jaipur, India, February 22--27, 2010. 2010.. [PoS (ACAT2010) 057] link |
1009.1003 |
| 68 | R. D. Cousins | Lectures on Statistics in Theory: Prelude to Statistics in Practice | 1807.05996 | |
| 69 | A. L. Read | Presentation of search results: The CL$ _{\text{s}} $ technique | JPG 28 (2002) 2693 | |
| 70 | T. Junk | Confidence level computation for combining searches with small statistics | NIM A 434 (1999) 435 | hep-ex/9902006 |
| 71 | ATLAS and CMS Collaborations, and LHC Higgs Combination Group | Procedure for the LHC Higgs boson search combination in Summer 2011 | Technical Report CMS-NOTE-2011-005, ATL-PHYS-PUB-2011-11, 2011 | |
| 72 | G. Cowan, K. Cranmer, E. Gross, and O. Vitells | Asymptotic formulae for likelihood-based tests of new physics | EPJC 71 (2011) 1554 | 1007.1727 |
|
Compact Muon Solenoid LHC, CERN |
|
|
|
|
|
|